Next Article in Journal
Antimicrobial-Resistance of Food-Borne Pathogens
Next Article in Special Issue
Binding and Action of Triphenylphosphonium Analog of Chloramphenicol upon the Bacterial Ribosome
Previous Article in Journal
Impact of a Social Marketing Intervention on General Practitioners’ Antibiotic Prescribing Practices for Acute Respiratory Tract Complaints in Malta
 
 
Font Type:
Arial Georgia Verdana
Font Size:
Aa Aa Aa
Line Spacing:
Column Width:
Background:
Perspective

Recent Trends in Synthesis of Chloramphenicol New Derivatives

by
Anna N. Tevyashova
Gause Institute of New Antibiotics, 11 B. Pirogovskaya, 119021 Moscow, Russia
Antibiotics 2021, 10(4), 370; https://doi.org/10.3390/antibiotics10040370
Submission received: 4 March 2021 / Revised: 26 March 2021 / Accepted: 27 March 2021 / Published: 31 March 2021
(This article belongs to the Special Issue New Ribosome-Acting Antibiotic Derivatives)

Abstract

Chloramphenicol (CAM), the bacteriostatic broad-spectrum antibiotic, isolated from Streptomyces venezuelae during the “golden era” of antibiotic discovery, nowadays has limited clinical potential due to adverse side effects and frequent antimicrobial resistance. Numerous CAM analogs were synthesized in order to find the derivatives with improved pharmacological properties and activity on resistant bacterial strains. This work aims to summarize the most recent achievements in obtaining new CAM analogs reported during the last five years. Current investigations are mainly focused on elucidating the molecular basis of the mode of CAM action and determining the mechanisms of resistance to this class of antibiotics or on studies of the possible use of the CAM scaffold to search for therapeutic agents with different CAM modes of action—such as selective antiproliferative agents or bacterial cell wall biosynthesis inhibitors. Hopefully, a deeper understanding of the CAM interactions with the target and its specificity will generate research ideas for developing new effective drugs.

1. Introduction

Chloramphenicol (CAM) is a bacteriostatic broad-spectrum antibiotic that was isolated from Streptomyces venezuelae in 1947 during the “golden era” of antibiotic discovery [1]. CAM consists of a p-nitrobenzene ring connected to a dichloroacetyl tail through a 2-amino-1,3-propanediol moiety; only the D-threo isomer isolated from natural sources demonstrates antimicrobial activity (Figure 1) [2]. In fact, CAM is actually among the few natural compounds that have two strong electron-withdrawing groups—nitro and halogen.
CAM is a competitive translation inhibitor as its binding with the peptidyltransferase center (PTC) in the 23S rRNA of the 50S subunit of the bacterial ribosome prevents the interaction of an incoming aminoacyl moiety of an aminoacyl-tRNA substrate with the A site [3]. Both hydroxy groups of the antibiotic, as well as the carbonyl group of the dichloroacetamide residue, form a hydrogen bond with the 23S rRNA nucleotides (Figure 1) which results in the inhibition of the peptide bond formation [4].
A variety of mechanisms of resistance to CAM has been determined; however, the main limitation of the clinical potential of CAM is related to its side effects which include neurotoxicity and hematologic disorders [5]. The essential need for new antimicrobial agents caused by the rise of multidrug-resistant bacteria has attracted attention to the “old” classes of antibiotics and prompted efforts to find new, effective, and less toxic CAM derivatives. A relatively recent review, published in mid-2016, exhaustively covered efforts to synthesize CAM derivatives with improved pharmacological properties [6]. Therefore, the current work is an effort to summarize new CAM analogs discovered or obtained since this work was published.

2. New CAM Derivatives

2.1. O-acyl Derivatives of Chloramphenicol

Screening of a soil library revealed seven metagenomic clones that were capable of modifying CAM to mono- or diacylated CAM derivatives 29 and demonstrated antibacterial activity against methicillin-resistant Staphylococcus aureus (MRSA) (Figure 2) [7]. Three of the obtained compounds, 1′-acetyl-3-propanoylchloramphenicol (7), 1′-acetyl-3′-butanoylchloramphenicol (8), and 3′-butanoyl-1′-propanoylchloramphenicol (9) have not been described previously.
Supposedly, CAM undergoes enzymatic acylation by acyltransferases in the clones yielding compounds 29. Isolated compounds 27 did not possess antibacterial activity (minimal inhibitory concentrations (MIC) > 200 μg/mL) against MRSA ATCC 1708, Pseudomonas aeruginosa, and Escherichia coli, though they demonstrated moderate activity towards the MRSA EAMC30 strain used for initial screening.
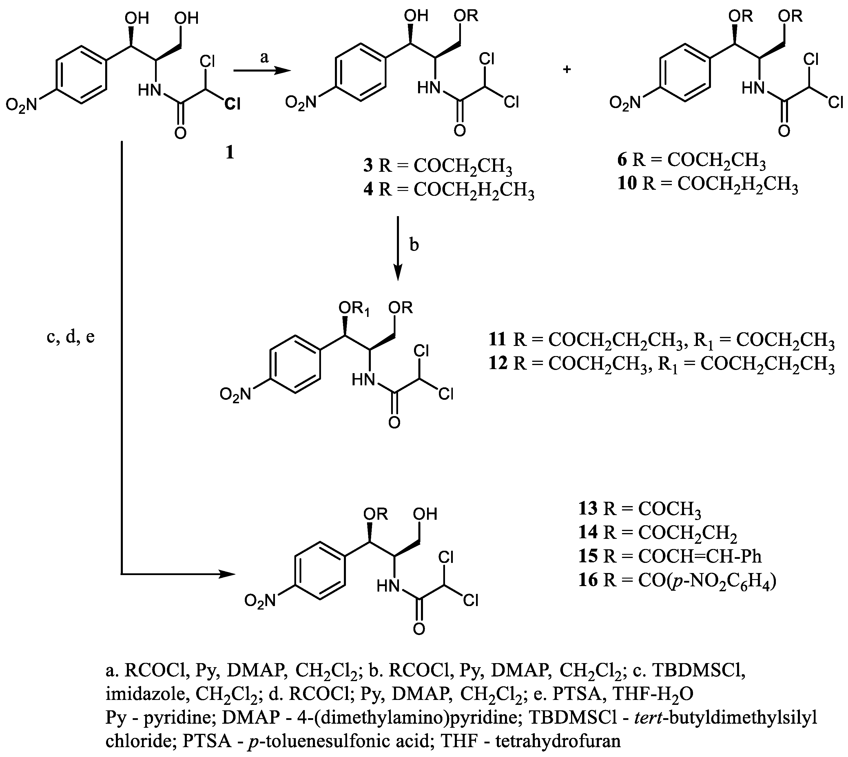
Among a series of natural (27) or synthetically obtained (1016) 1-O-acyl and 1,3-O-diacyl CAM derivatives (Scheme 1), 1′-(p-nitrobenzoyl)chloramphenicol (16) demonstrated the highest activity towards Mycobacterium intracellulare and Mycobacterium tuberculosis with MICs values of 12.5 and 50.0 μg/mL versus 25 and >100 μg/mL for CAM (1), respectively (Table 1). The equal potency of 1 and mono acetyl compounds 2 and 13 against M. intracellulare (MICs = 25.0 μg/mL) indicated that the monoacylation of either the 1- or 3-hydroxy group of the antibiotic did not alter its antimycobacterial activity against the tested strain.
The hypothesis of enzymatic acylation of CAM (1) was supported by the fact that the expression of metagenomics-encoded esterases or a cloned gene that induced BAC vector copy number allowed for novel O-acyl-CAM derivatives from the exogenously supplied CAM (1) to be obtained.
The acetylation of the primary hydroxyl group of CAM is a well-established mechanism of drug resistance in E. coli and Streptomyces spp. [8], but recently it was found that Lysobacter enzymogenes, a biocontrol agent with intrinsic resistance to multiple antibiotics, contains a pool of unusual acyl donors for enzymatic modification of CAM [9]. 3’-Isobutyroylchloramphenicol (17), a new compound 1’-isobutyroylchloramphenicol (18), and 3’-isovaleroylchloramphenicol (19) (Figure 3) were identified in a chloramphenicol acetyltransferase gene containing mutant of L. enzymogenes as well as in the wild type.
Presumably, the available acyl-CoA cellular pool in L. enzymogenes varies from that in other bacteria which resulted in a difference in the identified CAM acylation products. Moreover, it has been established that the global regulator clp gene and the Gcn5-related N-acetyltransferase (GNAT) are responsible for the observed resistance of L. enzymogenes to CAM (1).
Other research has demonstrated that LipBA (lipase cloned from Bacillus amyloliquefaciens) can be useful for the synthesis of chloramphenicol esters (20) with different carbon chain lengths (Scheme 2) [10]. The vinyl propionate proved to be the best among the acyl donors with different carbon chain lengths, as it allowed CAM ester with the highest yield, conversion (98%), and purity (99%) to be obtained under the same reaction conditions. The optimized conditions included the use of 1,4-dioxane as a solvent, 5:1 molar excess of the vinyl propionate, and 4 g/L concentration of LipBA. The reaction was carried out for 8 h at 50 °C.
Thus, the suggested approach, involving enzymatic acylation of CAM, allows selective modification of the hydroxyl group of the antibiotic without the protection of other functionalities. It also demonstrated the perspective of the lipase LipBA as a catalyst for modification of complex molecules in accordance with the principles of green chemistry.
It is established that ester derivatives of CAM on the primary hydroxyl group are unstable in vivo, and O-acyl derivatives are rapidly converted to the parent drug [11]. Chloramphenicol succinate (CAMSu, 21), a clinically approved drug, acts as a prodrug as it is hydrolyzed to the active CAM while circulating in the body. Wang et al. described 34 structural analogs of chloramphenicol (22) in which different peptides were conjugated to the CAM molecule via the succinate spacer (Scheme 3) and examined their activities against E. coli [12].
At the first stage, the fluorenylmethyloxycarbonyl (Fmoc)-protected amino acid was attached to the 2-chlorotrityl chloride resin, then the Fmoc group was removed and the resulting conjugates interacted either with the next amino acid or CAMsu. Cleavage of the target conjugate from the resin was performed using trifluoroacetic acid (TFA). Different types of CAMsu-peptide conjugates have been obtained, including a series of derivatives with neutral peptides of different lengths (22a22q), charged peptides (22aa22aj), and naphtyl-containing peptides (22ba22bc) (Table 2). Moreover, CAMsu conjugates containing a single amino acid (22ca), OMe-cap (22cb), a sulfate (22cc), or a phosphate group (22cd) have been synthesized. Research has been established that conjugating peptides to CAMsu effectively modulates the intracellular hydrolysis of the ester bonds, regenerating the antibiotic against E. coli (Table 2). The lower hydrolysis rate of the ester bond in the conjugates, whose side chains of peptides were bearing negative charges or were sterically hindered, correlated with their lower antibacterial activities in comparison with the parent CAM (1). Dipeptide conjugates most effectively increased the efficacy of CAMsu in a row from single amino acid to pentapeptide substituents. The presence of the D-amino acid residues slightly increased the hydrolysis rate of the ester bond in the prodrugs in comparison with the corresponding L-amino acids analogs.
Conjugates of chloramphenicol succinate with comparatively hydrophilic neutral peptides (such as Gl, Ga, GS, etc.) demonstrated the highest inhibitory activities (MICs 20–200 μM) which were comparable with MICs values for CAM (1). However, the obtained peptides-CAMsu conjugates, like the prodrug CAMsu, generally demonstrated lower cytotoxicity than CAM (1) against the HS-5 cell line while their cytotoxicity against HEK292 cells was almost the same as for CAM (1). Thus, conjugating CAM (1) with peptides can be an effective approach for modulating the properties of the CAM prodrugs.

2.2. Modification of the Amino Group of Des-Dichloroacetyl CAM (CAM Amine)

Aiming to explore new inhibitors of translation, a series of CAM analogs aminoacylated with different amino acids, including the N-protected ones, has been described [13]. The synthetic approach was based on an acylation of CAM amine (CAMA, 23), an inactive CAM derivative, with activated amino acids (Scheme 4).
A competition-binding assay with the use of BODIPY-labeled erythromycin (BODIPY-ERY) was exploited to evaluate the affinity of the synthesized amino acid, CAM analogs, with the ribosome. Though most of the synthesized amino acid CAM derivatives were less potent translation inhibitors than the parent antibiotic CAM (1), the analog 24, which contained the L-histidyl residue, demonstrated 10-fold higher affinity to the ribosome than CAM (apparent dissociation constants with the E. coli 70S ribosome KDapp were 0.24 ± 0.06 µM for compound 24 vs. 2.8 ± 0.5 for 1). In general, the presence of a positive charge (i.e., unprotected α-amino group) and the small size of the amino acid side chain were preferable for binding to the ribosome. Nevertheless, the ability of the synthesized compounds to inhibit translation did not correlate with their affinity to the vacant ribosome.
Studies of the complexes of L-His-CAMA (24), D-His-CAMA, or L-Lys-CAMA with Thermus thermophilus 70S ribosome by X-ray method revealed that the tested analogs specifically interacted with the nucleotides of the 23S rRNA at the PTC, wherein the position of the amphenicol residues of the conjugates was identical to the binding position of the parent antibiotic CAM (1), while the introduced aminoacyl moiety was oriented towards the upper part of the peptide exit tunnel (Figure 4).
The additional interactions observed in the case of compound 24, i.e., π-stacking interactions of the histidine side chain with the U2506 and formation of the hydrogen bond between the α-amino group and the phosphate group of G2505, are possible explanations of the increased affinity of 24 to the ribosome in comparison with the parent CAM (1). The affinities of the D-His-CAMA and Lys-CAMA to the ribosome were lower in comparison with 24, most probably due to the fact that no hydrogen bond between the α-amino group and the phosphate group of G2505 was observed.
Presumably, His-CAMA analog (24) could possess antibacterial activity to the strain resistant to CAM due to methylation of the A2503 of the 23S rRNA by Cfr-methyltransferase [14] or due to the mutation of A2503 to G [15] as in silico modeling demonstrated that placement of compound 24 in the PTC was somewhat shifted relative to the parent antibiotic CAM (1), which could help avoid the collision with the C8-methyl group of the A2503 residue in the modified Cfr-ribosome and also results in less susceptibility to the nucleotide mutation. However, no data on the antibacterial activity of the amino adic derivatives of CAM have been published yet.
A similar scheme was employed for the synthesis of the chloramphenicol amine peptide conjugates with regulatory “stop peptides” (i.e., MRL, IRA, IWP) (2527) [16] or cationic peptides (2834) [17] (Scheme 5). In general, this approach is based on the conjugation of the ribosomal antibiotics that contain amino acid and peptides which mimics the nascent polypeptide chain [18]. Studies of the interaction of such analogs with the ribosome are employed for establishing the specialties of recognition of the peptide chain by the ribosome tunnel in addition to the mechanisms of translation regulation. The starting compound, CAMA (23), was acylated by the OSu-activated N-acetyl peptides. Then, the deprotection of the functional groups in the side chains was carried out, resulting in novel semisynthetic CAM derivatives that contain the tripeptide, which models the 3′-terminal region of the peptidyl-tRNA (2527), the antimicrobial peptide (i.e., oncocin, metalnikovin, bactenecin), or their synthetic analogs (2832) (Scheme 5). In some cases, the N-Ac protecting group was also removed to obtained corresponding 28b31b derivatives with the unsubstituted N-terminus amino group. To obtain chloramphenicol amine derivatives containing sequences common to the proline-rich antimicrobial peptides in their structure (33, 34), a solid phase synthesis scheme was developed. The interaction of the obtained new CAM conjugates 2534 with the ribosome was studied by the molecular docking-based modeling as well as by the displacement of the fluorescent erythromycin analog from its complex with E. coli ribosomes in order to find possible contacts of the ribosomal tunnel with the peptide residues. The affinity of compounds (2527) to the E. coli ribosome was very close to that of the parent antibiotic CAM (1). The cationic tripeptides, especially RAW-CAMA (29b), demonstrated the highest ability to bind with the E. coli ribosome. Results of the chemical probing and in silico calculations indicated that the highest inhibitory activity of the new analog 29b could be explained by its similarity to the parent CAM (1) mechanism of action. It was demonstrated that, like CAM (1), the peptide derivative RAW-CAMA (29b) forms π-interactions between the side chain of the arginine residue and the A2062 and between the tryptophan-residue and G2505, while no interaction with A2058 was determined.
The chloramphenicol analog 29b demonstrated similar activity as the parent antibiotic CAM (1) in an in vitro protein biosynthesis inhibition assay. Although no data on antibacterial activity of compounds 2534 were reported, substances of this type are quite promising for studying the interaction between regulatory or antimicrobial peptides and the ribosomal tunnel, either biochemically or structurally.
Bougas et al. synthesized and investigated a conjugate of CAM with decapeptide which demonstrated a dual action on the ribosome, being able to bind with both PTC and the polypeptide exit tunnel [19]. The study aimed to improve the previously described oligopeptide derivative of chloramphenicol amine, the MYFFV-CAMA, which demonstrated the ability to inhibit the ribosome activity in vitro by occupying the classical chloramphenicol binding site with the chloramphenicol residue and the peptidyl moiety directing towards the tunnel [18]. With the aim to set up an additional interaction of the peptide chain with the hydrophobic crevice of the ribosomal tunnel, the palindromic peptide sequence VFFYM-MYFFV was designed and constructed. A solid-phase strategy was employed to obtain the target derivative, VFFYM-MYFFV-CAMA (39) (Scheme 6). The amino group of the starting CAMA (23) was protected by the Fmoc-group, and the obtained compound 35 was bound to a 2-chlorotrityl-chloride resin. Then, the protected amino acids were added stepwise following the Fmoc-protocol. After conjugation with the last amino acid, the obtained conjugate was cleaved from the solid support and deprotected to give the target derivative 39. The peptidyl transferase inhibitory activity of the newly synthesized CAM analog 39 determined on different translation systems was less than the corresponding activity of the parent CAM (1). Nevertheless, compound 39 demonstrated an inhibition activity on a model of green fluorescent protein synthesis in a coupled in vitro transcription-translation assay as well as an inhibitory action on lysine polymerization in a poly(A)-programmed ribosome that can possibly be explained by the existence of an additional target for compound 39 in comparison with 1. Since obtained results supported the interaction of the new analog 39 with the A2058 and the A2059 located near the entrance of the tunnel, this finding can be the evidence of possible dual action of 39, both on the peptidyl transferase center area and within the tunnel, both essential for ribosomal functions.
Thus, conjugation of CAM with oligopeptides offers new opportunities to modulate translation inhibition of specific proteins by varying the oligopeptide length and sequence.
One-pot acylation of the chloramphenicol amine (23) with succinic anhydride followed by coupling with the N1,N1-dibenzylated linear diamines or N1,N1,N8,N8-tetrabenzylspermidine in the presence of HBTU and Et3N or DIEA in DMF resulted in chloramphenicol conjugates 40ac and 41, respectively (Scheme 7) [20]. Previously, CAM conjugates with natural polyamines (PAs) have been described in an attempt to obtain less toxic phenicols [21,22]. Despite the fact that novel analogs 40ac, 41 were able to bind with the E. coli ribosome with affinities close to that of CAM (1) (Ki 0.8–2.6 µM vs. 1.5 ± 0.1 µM for 1), they turned out to be inactive against Gram-positive and Gram-negative bacteria (MIC values against E.coli and S.aureus > 200 µM), presumably because of their low ability to penetrate the bacterial membrane. Nevertheless, compound 41 proved to be effective against human mesothelioma ZL34 and demonstrated moderate activity against immortalized mesotheliomal nontumor Met5A cells. The possible explanation of the antiproliferative activity of derivative 41 is related to its ability to penetrate ZL34 cells, using polyamine transporters present in cancer cell membranes and its inhibition action on the mitochondrial protein synthesis. This was demonstrated using cytochrome C oxidase subunit II (COX2) as a marker. Thus, the introduction of the polyamine substituents bears hydrophobic benzyl groups and can be considered an approach for finding promising anticancer agents with no adverse effects on bacterial microflora when taken orally.

2.3. α,β-Unsaturated Carbonyl Derivatives of CAM

The α,β-unsaturated CAM analog, α-dichloroacetamido-p-nitroacrylophenone (Figure 5, 42), was able to overcome resistance to CAM (1) in St. aureus which can be possibly explained by the lack of the primary and secondary hydroxyl groups that undergo acylation by acetyl- and phosphotransferases in resistant strains [23].
Zada et al. described the preparation and evaluation of the α,β-unsaturated carbonyl derivatives of chloramphenicol (1) and derivative 42 for SAR studies [24]. The target compounds were synthesized starting from commercially available CAM (1), thiophenicol (44a), or from the synthetic CAM analogs (45a47a) (Scheme 8A). At the first stage, the primary hydroxyl group was selectively transformed to the pivaloyl ester, then the second group of the obtained compounds 43b47b was oxidized using Dess-Martin reagent. The chromatography purification of the intermediates was accompanied by the elimination of the O-pivaloyl group, resulting in the formation of the target enone compounds 4347. Enal derivatives 4851 were prepared by a four-stage synthetic procedure from the same starting compounds (Scheme 8B). Selectively protected at the secondary hydroxyl group derivatives 48c51c were obtained after introduction of the TBDMS group at the primary hydroxyl group, the introduction of the MOM protecting group, and the selective deprotection of the primary hydroxyl. The primary hydroxyl group of 48c51c was oxidized using Dess-Martin reagent followed by flash chromatography on silica gel which was accompanied by the elimination reaction giving the enal derivatives 4851. Analog 52 was obtained starting from CAM amine (23) which was first transformed to the di-O-acetyl-N-phthalimide CAM derivative 52a. The second stage included selective removal of the acetyl group from the primary hydroxyl group in the presence of HCl, resulting in the formation of the monoacetylated compound 52b. The target enal derivative 52 was obtained after Dess-Martin oxidation followed by an elimination reaction during the flash chromatography purification.
The antibacterial activity of the synthesized compounds was evaluated on a wide panel of Gram-positive and Gram-negative bacterial strains and revealed that compounds 43 and 46 demonstrated MIC values 2–32 μg/mL against a wide panel of Gram-positive strains, including strains that are resistant to parent CAM (1) and thiophenicol. Obviously, the enone structural residue was essential for the antibacterial activity, as none of the compounds 4852 have aldehyde function (enals). However, they did not exhibit antibacterial activity against the tested strains. Notably, derivatives 43 and 46 demonstrated a lower ability to induce the evolution of resistance in S. aureus than CAM (1) and were significantly less active translation inhibitors than the parent antibiotic (1). The short incubation of analogs 43 and 46 with Gram-positive cells caused the extensive deformation of bacterial cells, suggesting that they can have an effect on bacterial membrane integrity. In-depth studies of the effects of derivatives 43 and 46 demonstrated that, most likely, they inhibited the early stage of cell wall peptidoglycan biosynthesis in S. aureus cells, thus, indicating that these analogs have other modes of action than the parent CAM (1). Additional studies have confirmed that new CAM analogs did not possess hemolytic activity on rat red blood cells at concentrations 4- to 32-fold higher than their MIC values. However, unlike CAM (1), they exhibited cytotoxic activity against human lung carcinoma epithelial cells A540 and normal human bronchial epithelial cells BEAS-2B at the same range of concentrations as the MIC values.
Thus, the developed molecular scaffold on the basis of α,β-unsaturated carbonyl CAM derivatives can be useful for designing novel therapeutic agents since they act as inhibitors of bacterial cell wall biosynthesis. However, additional modifications of the structure are needed in order to reduce their toxicity towards human cells.

3. Discussion

Although CAM (1) has a broad spectrum of antibacterial activity, its clinical potential is seriously limited by serious side effects, such as hematologic disorders, immunosuppression, and cancer invasion due to the widely spread antimicrobial resistance to this antibiotic. This could be intrinsic or acquired by the use of this antibiotic as a veterinary drug and in clinics. Currently, CAM is prescribed in developed countries only in cases of serious infections, such as caused by Haemophilus influenza, or in patients with bacterial meningitis or brain abscesses who are allergic to other classes of antibiotics, such as penicillins. Numerous efforts to obtain chloramphenicol analogs with improved pharmacological properties have so far yielded two clinically useful CAM derivatives—thiophenicol and florphenicol, both having limited clinical potential and used mainly as veterinary drugs. As it is incredibly difficult to find CAM analogs with significantly improved pharmaceutical properties, the paradigm shift of investigating new CAM derivatives has occurred, and the most recent efforts for synthesizing new derivatives of chloramphenicol are concentrated more on elucidating the molecular basis of the mode of CAM action and the mechanisms of resistance. Most new chloramphenicol derivatives described since 2016 represent the amino acid or peptide conjugates of CAM used for detailed studies of CAM–ribosome interactions by molecular docking and biochemical methods. Other promising approaches are connected with the use of the CAM scaffold for discovering therapeutic agents with a mode of action that is different from chloramphenicol, such as selective antiproliferative activity or bacterial cell wall biosynthesis inhibition. Hopefully, a deeper understanding of the biology and the interactions of the drug, as well as a better understanding of CAM specificity, will generate new research ideas for developing novel, more effective drugs.

Funding

This research received no external funding.

Conflicts of Interest

The author declares no conflict of interest. The funders had no role in the design of the study; in the collection, analyses, or interpretation of data; in the writing of the manuscript, or in the decision to publish the results.

References

  1. Controulis, M.; Rebstock, M.C.; Crooks, H.M. Chloramphenicol (chloromycetin). J. Am. Chem. Soc. 1949, 71, 2463–2468. [Google Scholar] [CrossRef]
  2. Pongs, O. Chloramphenicol. In Mechanism of Action of Antibacterial Agents; Hann, F.E., Ed.; Springer: New York, NY, USA, 1979; Volume 5, pp. 26–42. [Google Scholar]
  3. Dunkle, J.A.; Xiong, L.; Mankin, A.S.; Cate, J.H. Structures of the Escherichia coli ribosome with antibiotics bound near the peptidyl transferase center explain spectra of drug action. Proc. Natl. Acad. Sci. USA 2010, 107, 17152–17157. [Google Scholar] [CrossRef]
  4. Schlunzen, F.; Zarivach, R.; Harms, J.; Bashan, A.; Tocilj, A.; Albrecht, R.; Yonath, A.; Franceschi, F. Structural basis for the interaction of antibiotics with the peptidyl transferase centre in eubacteria. Nature 2001, 413, 814–821. [Google Scholar] [CrossRef]
  5. Eliakim-Raz, N.; Lador, A.; Leibovici-Weissman, Y.; Elbaz, M.; Paul, M.; Leibovici, L. Efficacy and safety of chloramphenicol: Joining the revival of old antibiotics? Systematic review and meta-analysis of randomized controlled trials. J. Antimicrobial Chemotherapy 2015, 70, 979–996. [Google Scholar] [CrossRef]
  6. Dinos, G.P.; Athanassopoulos, C.M.; Missiri, D.A.; Giannopoulou, P.C.; Vlachogiannis, I.A.; Papadopoulos, D.E.; Papaioannou, D.; Kalpaxis, D.L. Chloramphenicol derivatives as antibacterial and anticancer agents: Historic problems and current solutions. Antibiotics 2016, 5, 20. [Google Scholar] [CrossRef]
  7. Nasrin, S.; Ganji, S.; Kakirde, K.S.; Jacob, M.R.; Wang, M.; Ravu, R.R.; Cobine, P.A.; Khan, I.A.; Wu, C.-C.; Mead, D.A.; et al. Chloramphenicol derivatives with antibacterial activity identified by functional metagenomics. J. Nat. Prod. 2018, 81, 1321–1332. [Google Scholar] [CrossRef]
  8. Day, P.J.; Shaw, W.V.; Gibbs, M.R.; Leslie, A.G.W. Acetyl coenzyme A binding by chloramphenicol acetyltransferase—Long-range electrostatic determinants of coenzyme A recognition. Biochemistry 1992, 31, 4198–4205. [Google Scholar] [CrossRef] [PubMed]
  9. Zhang, W.; Huffman, J.; Li, S.; Shen, Y.; Du, L. Unusual acylation of chloramphenicol in Lysobacter enzymogenes, a biocontrol agent with intrinsic resistance to multiple antibiotics. BMC Biotechnol. 2017, 17, 59. [Google Scholar] [CrossRef] [PubMed]
  10. Dong, F.; Li, L.; Lin, L.; He, D.; Chen, J.; Wei, W.; Wei, D. transesterification synthesis of chloramphenicol esters with the lipase from Bacillus amyloliquefaciens. Molecules 2017, 22, 1523. [Google Scholar] [CrossRef] [PubMed]
  11. Ellis, G.P.; Epstein, C.; King, J. The antibacterial activities of some esters of chloramphenicol. J. Appl. Microbiol. 1963, 26, 498–501. [Google Scholar] [CrossRef]
  12. Wang, I.; Shy, A.; Wu, D.; Cooper, D.L.; Xu, J.; He, H.; Zhan, W.; Sun, S.; Lovett, S.T.; Xu, B. Structure–activity relationship of peptide-conjugated chloramphenicol for inhibiting Escherichia coli. J. Med. Chem. 2019, 62, 10245–10257. [Google Scholar] [CrossRef]
  13. Tereshchenkov, A.G.; Dobosz-Bartoszek, M.; Osterman, I.A.; Marks, J.; Sergeeva, V.A.; Kasatsky, P.; Komarova (Andreyanova), E.S.; Stavrianidi, A.N.; Rodin, I.A.; Konevega, A.L.; et al. Binding and action of amino acid analogs of chloramphenicol upon the bacterial ribosome. J. Mol. Biol. 2018, 430, 842–852. [Google Scholar] [CrossRef] [PubMed]
  14. Long, K.S.; Poehlsgaard, J.; Kehrenberg, C.; Schwarz, S.; Vester, B. The Cfr rRNA methyltransferase confers resistance to Phenicols, Lincosamides, Oxazolidinones, Pleuromutilins, and Streptogramin A antibiotics. Antimicrob. Agents Chemother. 2006, 50, 2500–2505. [Google Scholar] [CrossRef]
  15. Polikanov, Y.S.; Melnikov, S.V.; Soll, D.; Steitz, T.A. Structural insights into the role of rRNA modifications in protein synthesis and ribosome assembly. Nat. Struct. Mol. Biol. 2015, 22, 342–344. [Google Scholar] [CrossRef] [PubMed]
  16. Tereshchenkov, A.G.; Shishkina, A.V.; Tashlitsky, V.N.; Korshunova, G.A.; Bogdanov, A.A.; Sumbatyan, N.V. Interaction of chloramphenicol tripeptide analogs with ribosomes. Biochemistry 2016, 81, 392–400. [Google Scholar] [CrossRef]
  17. Khairullina, Z.Z.; Tereshchenkov, A.G.; Zavyalova, S.A.; Komarova, E.S.; Lukianov, D.A.; Tashlitsky, V.N.; Osterman, I.A.; Sumbatyan, N.V. Interaction of chloramphenicol cationic peptide analogues with the ribosome. Biochemistry 2020, 85, 1443–1457. [Google Scholar] [CrossRef]
  18. Mamos, P.; Krokidis, M.G.; Papadas, A.; Karahalios, P.; Starosta, A.L.; Wilson, D.N.; Kalpaxis, D.L.; Dinos, G.P. On the use of the antibiotic chloramphenicol to target polypeptide chain mimics to the ribosomal exit tunnel. Biochimie 2013, 95, 1765–1772. [Google Scholar] [CrossRef]
  19. Bougas, A.; Vlachogiannis, I.A.; Gatos, D.; Arenz, S.; Dinos, G.P. Dual effect of chloramphenicol peptides on ribosome inhibition. Amino Acids 2017, 49, 995–1004. [Google Scholar] [CrossRef] [PubMed]
  20. Giannopoulou, P.C.; Missiri, D.A.; Kournoutou, G.G.; Sazakli, E.; Papadopoulos, G.E.; Papaioannou, D.; Dinos, G.P.; Athanassopoulos, C.M.; Kalpaxis, D.L. New chloramphenicol derivatives from the viewpoint of anticancer and antimicrobial activity. Antibiotics 2019, 8, 9. [Google Scholar] [CrossRef]
  21. Kostopoulou, O.N.; Kouvela, E.C.; Magoulas, G.E.; Garnelis, T.; Panagoulias, I.; Rodi, M.; Papadopoulos, G.; Mouzaki, A.; Dinos, G.P.; Papaioannou, D.; et al. Conjugation with polyamines enhances the antibacterial and anticancer activity of chloramphenicol. Nucleic Acids Res. 2014, 42, 8621–8634. [Google Scholar] [CrossRef]
  22. Magoulas, G.E.; Kostopoulou, O.N.; Garnelis, T.; Athanassopoulos, C.M.; Kournoutou, G.G.; Leotsinidis, M.; Dinos, G.P.; Papaioannou, D.; Kalpaxis, D.L. Synthesis and antimicrobial activity of chloramphenicol-polyamine conjugates. Bioorg. Med. Chem. 2015, 23, 3163–3174. [Google Scholar] [CrossRef] [PubMed]
  23. Kono, M.; O’hara, K.; Honda, M.; Mitsuhashi, S. Drug resistance of staphylococci. XI. Induction of chloramphenicol resistance by its derivatives and analogues. J. Antibiot. 1969, 22, 603–607. [Google Scholar] [CrossRef] [PubMed]
  24. Zada, S.L.; Green, K.D.; Shrestha, S.K.; Herzog, I.M.; Garneau-Tsodikova, S.; Fridman, M. Derivatives of ribosome-inhibiting antibiotic chloramphenicol inhibit the biosynthesis of bacterial cell wall. ACS Infect. Dis. 2018, 4, 1121–1129. [Google Scholar] [CrossRef] [PubMed]
Figure 1. Structure of chloramphenicol and its interactions with the 23S rRNA nucleotides.
Figure 1. Structure of chloramphenicol and its interactions with the 23S rRNA nucleotides.
Antibiotics 10 00370 g001
Figure 2. Structures of chloramphenicol (CAM) derivatives discovered by functional metagenomics.
Figure 2. Structures of chloramphenicol (CAM) derivatives discovered by functional metagenomics.
Antibiotics 10 00370 g002
Scheme 1. Synthesis of the 1-O-acyl and 1,3-O-diacyl derivatives of CAM.
Scheme 1. Synthesis of the 1-O-acyl and 1,3-O-diacyl derivatives of CAM.
Antibiotics 10 00370 sch001
Figure 3. O-Acyl CAM derivatives identified from L. enzymogenes.
Figure 3. O-Acyl CAM derivatives identified from L. enzymogenes.
Antibiotics 10 00370 g003
Scheme 2. Selective acylation of the primary hydroxyl group of CAM with the lipase from B. amyloliquefaciens.
Scheme 2. Selective acylation of the primary hydroxyl group of CAM with the lipase from B. amyloliquefaciens.
Antibiotics 10 00370 sch002
Scheme 3. Synthesis of the peptide-conjugated chloramphenicol analogs.
Scheme 3. Synthesis of the peptide-conjugated chloramphenicol analogs.
Antibiotics 10 00370 sch003
Scheme 4. Synthesis of the amino acid chloramphenicol derivatives.
Scheme 4. Synthesis of the amino acid chloramphenicol derivatives.
Antibiotics 10 00370 sch004
Figure 4. Side chain specific interaction of amino acid CAM analogs with the ribosome. Compound-specific H-bond interaction of His-CAMA (24, His-CAM) (a), D-His-CAMA (b), or Lys-CAMA (c) with the nucleotides of the 23S rRNA are indicated with dashed lines. Stacking interactions of 24 are shown with the black arrow (the picture is published with the permission of the Elsevier, Order Number: 5033250763121).
Figure 4. Side chain specific interaction of amino acid CAM analogs with the ribosome. Compound-specific H-bond interaction of His-CAMA (24, His-CAM) (a), D-His-CAMA (b), or Lys-CAMA (c) with the nucleotides of the 23S rRNA are indicated with dashed lines. Stacking interactions of 24 are shown with the black arrow (the picture is published with the permission of the Elsevier, Order Number: 5033250763121).
Antibiotics 10 00370 g004
Scheme 5. Synthesis of peptide chloramphenicol analogs.
Scheme 5. Synthesis of peptide chloramphenicol analogs.
Antibiotics 10 00370 sch005
Scheme 6. Synthesis of decapeptide chloramphenicol analog.
Scheme 6. Synthesis of decapeptide chloramphenicol analog.
Antibiotics 10 00370 sch006
Scheme 7. Synthesis of polyamine derivatives of chloramphenicol.
Scheme 7. Synthesis of polyamine derivatives of chloramphenicol.
Antibiotics 10 00370 sch007
Figure 5. Structure of α-dichloroacetamido-p-nitroacrylophenone.
Figure 5. Structure of α-dichloroacetamido-p-nitroacrylophenone.
Antibiotics 10 00370 g005
Scheme 8. Synthesis of CAM-derived enone (route A) and enal analogs (routes B,C).
Scheme 8. Synthesis of CAM-derived enone (route A) and enal analogs (routes B,C).
Antibiotics 10 00370 sch008
Table 1. Antibacterial activity of compounds 17 and 1016.
Table 1. Antibacterial activity of compounds 17 and 1016.
CompoundIC50/MIC (μg/mL) 1
M. intracellulare ATCC 23068M. tuberculosis ATCC 25177
CAM (1)17.2 ± 0.02/25.0 ± 067.6 ± 16.7/− 2
218.9 ± 1.2/25.0 ± 0−/−
332.3 ± 9.1/75.0 ± 35.30−/−
412.6 ± 0.5/25.0 ± 0−/−
5−/−−/−
623.8 ± 2.5/25.0 ± 0−/−
7−/−−/−
1020.2 ± 4.2/37.5 ± 17.729.0 ± 2.5/50.0 ± 0
1145.3 ± 0.1/50.0 ± 0−/−
1240.7 ± 11.7/50.0 ± 057.0 ± 7.0/100.0 ± 0
1315.4 ± 1.4/25.0 ± 0−/−
1432.2 ± 2.0/50.0 ± 0−/−
1527.5 ± 2.0/50.0 ± 087.7 ± 2.4/−
166.8 ± 0.2/12.5 ± 027.4 ± 6.2/50.0 ± 0
1 IC50—50% inhibition of bacterial growth; MIC—minimum inhibitory concentration (the lowest concentration that allows no detectable growth). 2 Not active at the highest concentration (100 μg/mL) used for the screening.
Table 2. Antibacterial activity of peptide-CAM conjugates 22 against E. coli K-12 (MIC, µM).
Table 2. Antibacterial activity of peptide-CAM conjugates 22 against E. coli K-12 (MIC, µM).
CompoundMIC, µMCompoundMIC, µM
CAM (1)2022q CAMsu-GGGGG40
CAMsu (21)>20022aa CAMsu-rr200
22a CAMsu-GI 12022ab CAMsu-kk200
22b CAMsu-Ga2022ac CAMsu-KK200
22c CAMsu-Gs2022ad CAMsu-ffrr200
22d CAMsu-sG4022ae CAMsu-ffkk200
22e CAMsu-GGNHMe2022af CAMsu-GK20
22f CAMsu-GGGG2022ag CAMsu-ee>200
22g CAMsu-aa8022ah CAMsu-dd>200
22h CAMsu-AA10022ai CAMsu-DD200
22i CAMsu-aaa8022aj CAMsu-GD20
22j CAMsu-AAA10022ba CAMsu-ff100
22k CAMsu-GGf2022bb CAMsu-ff(2-NaI)>200
22l CAMsu-GGF2022bc CAMsu-ff(2-NaI)GG>200
22m CAMsu-GFG2022ca CAMsu-a>200
22n CAMsu-FGG8022cb CAMsu-OMe>200
22o CAMsu-GGff2022cc CAMsu-NH(CH2)2SO3H40
22p CAMsu-GGFF2022cd CAMsu-NH(CH2)2OPO3H100
1 Standard 1-letter abbreviation for amino acids is used; in case of d-amino acid corresponding small (lowercase) letter was used.
Publisher’s Note: MDPI stays neutral with regard to jurisdictional claims in published maps and institutional affiliations.

Share and Cite

MDPI and ACS Style

Tevyashova, A.N. Recent Trends in Synthesis of Chloramphenicol New Derivatives. Antibiotics 2021, 10, 370. https://doi.org/10.3390/antibiotics10040370

AMA Style

Tevyashova AN. Recent Trends in Synthesis of Chloramphenicol New Derivatives. Antibiotics. 2021; 10(4):370. https://doi.org/10.3390/antibiotics10040370

Chicago/Turabian Style

Tevyashova, Anna N. 2021. "Recent Trends in Synthesis of Chloramphenicol New Derivatives" Antibiotics 10, no. 4: 370. https://doi.org/10.3390/antibiotics10040370

APA Style

Tevyashova, A. N. (2021). Recent Trends in Synthesis of Chloramphenicol New Derivatives. Antibiotics, 10(4), 370. https://doi.org/10.3390/antibiotics10040370

Note that from the first issue of 2016, this journal uses article numbers instead of page numbers. See further details here.

Article Metrics

Back to TopTop