Alkaloids as Photosensitisers for the Inactivation of Bacteria
Abstract
1. Introduction
2. Overview of Alkaloids in the 21st Century
3. Antimicrobial Photodynamic Therapy
4. Alkaloids in Photoinactivation of Microorganisms
4.1. Quinoline-Based Alkaloids
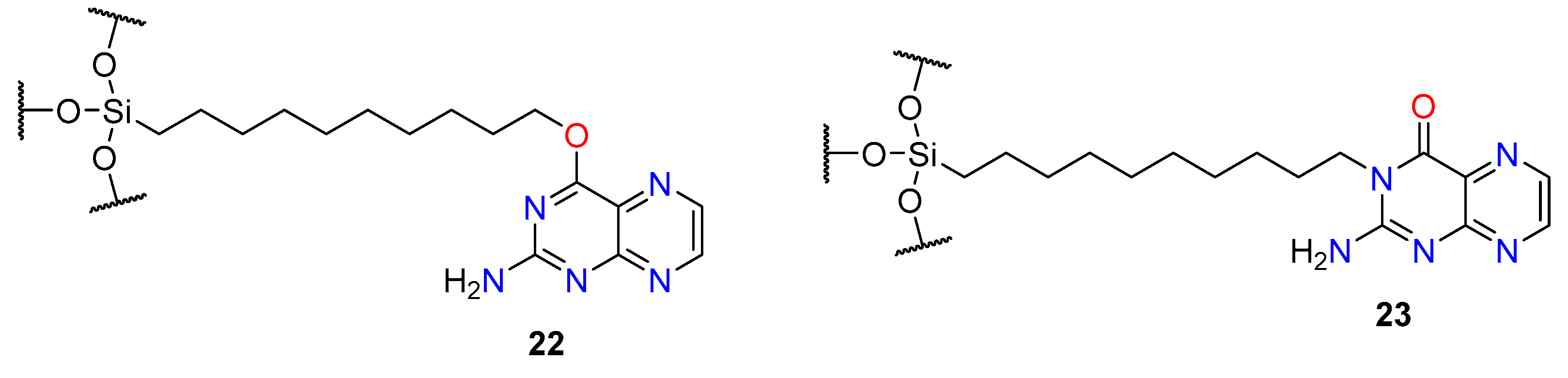
4.2. Pterin-Like Alkaloids
4.3. Carbazole Molecules
4.4. β-Carbolines Molecules
4.5. Aporphine Alkaloids
4.6. Protoberberine-like Alkaloids
4.7. Indigo-Like Alkaloids
5. Conclusions
Author Contributions
Funding
Institutional Review Board Statement
Informed Consent Statement
Data Availability Statement
Conflicts of Interest
References
- World Health Organization. Antimicrobial Resistance: Global Report on Surveillance; World Health Organization: Geneva, Switzerland, 2014. [Google Scholar]
- World Health Organization. WHO Priority Pathogens List for R&D of New Antibiotics; World Health Organization: Geneva, Switzerland, 2017. [Google Scholar]
- Reygaert, W.C. An overview of the antimicrobial resistance mechanisms of bacteria. AIMS Microbiol. 2018, 4, 482–501. [Google Scholar] [CrossRef]
- Roope, L.S.J.; Smith, R.D.; Pouwels, K.B.; Buchanan, J.; Abel, L.; Eibich, P.; Butler, C.C.; Tan, P.S.; Walker, A.S.; Robotham, J.V.; et al. The challenge of antimicrobial resistance: What economics can contribute. Science 2019, 364, eaau4679. [Google Scholar] [CrossRef] [PubMed]
- Wanted: A reward for antibiotic development. Nat. Biotechnol. 2018, 36, 555. [CrossRef] [PubMed]
- Kraker, M.E.A.; Stewardson, A.J.; Harbarth, S. Will 10 Million People Die a Year due to Antimicrobial Resistance by 2050? PLoS Med. 2016, 13, e1002184. [Google Scholar] [CrossRef] [PubMed]
- World Health Organization. Global Action Plan on Antimicrobial Resistance; World Health Organization: Geneva, Switzerland, 2015. [Google Scholar]
- Aniszewski, T. Alkaloids: Chemistry, Biology, Ecology, and Applications, 2nd ed.; Elsevier Science: Amsterdam, The Netherlands, 2015. [Google Scholar]
- Debnath, B.; Singh, W.S.; Das, M.; Goswami, S.; Singh, M.K.; Maiti, D.; Manna, K. Role of plant alkaloids on human health: A review of biological activities. Mater. Today Chem. 2018, 9, 56–72. [Google Scholar] [CrossRef]
- Seca, A.M.L.; Pinto, D.C.G.A. Plant Secondary Metabolites as Anticancer Agents: Successes in Clinical Trials and Therapeutic Application. Int. J. Mol. Sci. 2018, 19, 263. [Google Scholar] [CrossRef]
- Cushnie, T.P.T.; Cushnie, B.; Lamb, A.J. Alkaloids: An overview of their antibacterial, antibiotic-enhancing and antivirulence activities. Int. J. Antimicrob. Agents 2014, 44, 377–386. [Google Scholar] [CrossRef]
- Heinrich, M.; Mah, J.; Amirkia, V. Alkaloids Used as Medicines: Structural Phytochemistry Meets Biodiversity—An Update and Forward Look. Molecules 2021, 26, 1836. [Google Scholar] [CrossRef]
- Funayama, S.; Cordell, G.A. Alkaloids: A Treasury of Poisons and Medicines, 1st ed.; Academic Press: New York, NY, USA, 2014. [Google Scholar]
- Meissner, W. Über Pflanzenalkalien: II. Über ein neues Pflanzenalkali (Alkaloid). J. Chem. Phys. 1819, 25, 379–381. [Google Scholar]
- Giles, P.M., Jr. Revised section F: Natural products and related compounds. Pure Appl. Chem. 1999, 71, 587–643. [Google Scholar] [CrossRef]
- Avcia, F.G.; Atas, B.; Aksoya, C.S.; Kurpejovica, E.; Toplan, G.G.; Gurer, C.; Guillerminet, M.; Orelle, C.; Jault, J.-M.; Akbulut, B.S. Repurposing bioactive aporphine alkaloids as efflux pump inhibitor. Fitoterapia 2019, 139, 104371. [Google Scholar] [CrossRef] [PubMed]
- Bauzon, J.; Lee, G.; Cummings, J. Repurposed agents in the Alzheimer’s disease drug development pipeline. Alzheimer’s Res. Ther. 2020, 12, 98. [Google Scholar] [CrossRef] [PubMed]
- Mostafa, E.M.; Gamal, M.; Ghoneim, M.M.; Hussein, S.; El-Ghorab, A.H.; Abdelgawad, M.A.; Musa, A. Repurposing of FDA Approved Alkaloids as COVID 19 Inhibitors; in silico Studies. Pharmacogn. J. 2021, 13, 110–123. [Google Scholar] [CrossRef]
- Bai, L.; Li, X.; Ma, X.; Zhao, R.; Wu, D. In Vitro Effect and Mechanism of Action of Ergot Alkaloid Dihydroergocristine in Chemoresistant Prostate Cancer Cells. Anticancer Res. 2020, 40, 6051–6062. [Google Scholar] [CrossRef] [PubMed]
- Peer, D.; Karp, J.M.; Hong, S.; Farokhzad, O.C.; Margalit, R.; Langer, R. Nanocarriers as an emerging platform for cancer therapy. Nat. Nanotechnol. 2007, 2, 751–760. [Google Scholar] [CrossRef]
- Loh, J.S.; Tan, L.K.S.; Lee, W.L.; Ming, L.C.; How, C.W.; Foo, J.B.; Kifli, N.; Goh, B.H.; Ong, Y.S. Do Lipid-Based Nanoparticles Hold Promise for Advancing the Clinical Translation of Anticancer Alkaloids? Cancers 2021, 13, 5346. [Google Scholar] [CrossRef]
- Agostinis, P.; Berg, K.; Cengel, K.A.; Foster, T.H.; Girotti, A.W.; Gollnick, S.O.; Hahn, S.M.; Hamblin, M.R.; Juzeniene, A.; Kessel, D.; et al. Photodinamic Therapyof Cancer: An Update. CA Cancer J. Clin. 2011, 61, 250–281. [Google Scholar] [CrossRef] [PubMed]
- Karges, J. Clinical Development of Metal Complexes as Photosensitizers for Photodynamic Therapy of Cancer. Angew. Chem. Int. Ed. 2021. [Google Scholar] [CrossRef] [PubMed]
- Li, X.; Lovell, J.F.; Yoon, J.; Chen, X. Clinical development and potential of photothermal and photodynamic therapies for cancer. Nat. Rev. Clin. Oncol. 2020, 17, 657–667. [Google Scholar] [CrossRef]
- Newman, D.K. Photodynamic therapy: Current role in the treatment of chorioretinal conditions. Eye 2016, 30, 202–210. [Google Scholar] [CrossRef]
- Van Dijk, E.H.C.; van Rijssen, T.J.; Subhi, Y.; Boon, C.J.F. Photodynamic Therapy for Chorioretinal Diseases: A Practical Approach. Ophthalmol. Ther. 2020, 9, 329–342. [Google Scholar] [CrossRef]
- Bozzini, G.; Colin, P.; Betrouni, N.; Ouzzane, N.A.; Puech, P.; Villers, A.; Mordon, S. Photodynamic therapy in urology: What can we do now and where are we heading? Photodiagn. Photodyn. Ther. 2012, 9, 261–273. [Google Scholar] [CrossRef] [PubMed]
- Gilaberte, Y.; Rezusta, A.; Juarranz, A.; Hamblin, M.R. Editorial: Antimicrobial Photodynamic Therapy: A New Paradigm in the Fight against Infections. Front. Med. 2021, 8, 788888. [Google Scholar] [CrossRef]
- Lei, X.; Liu, B.; Huang, Z.; Wu, J. A clinical study of photodynamic therapy for chronic skin ulcers in lower limbs infected with Pseudomonas aeruginosa. Arch. Dermatol. Res. 2015, 307, 49–55. [Google Scholar] [CrossRef]
- Javed, F.; Samaranayake, L.P.; Romanos, G.E. Treatment of oral fungal infections using antimicrobial photodynamic therapy: A systematic review of currently available evidence. Photochem. Photobiol. Sci. 2014, 13, 726–734. [Google Scholar] [CrossRef] [PubMed]
- Abdel-kader, M.H. The Journey of PDT Throughout History: PDT from Pharos to Present. In Photodynamic Medicine: From Bench to Clinic; Kostron, H., Hasan, T., Eds.; Royal Society of Chemistry: London, UK, 2016. [Google Scholar]
- Siewert, B.; Stuppner, H. The photoactivity of natural products—An overlooked potential of phytomedicines? Phytomedicine 2019, 60, 152985. [Google Scholar] [CrossRef]
- Christaki, E.; Marcou, M.; Tofarides, A. Antimicrobial Resistance in Bacteria: Mechanisms, Evolution, and Persistence. J. Mol. Evol. 2020, 88, 26–40. [Google Scholar] [CrossRef] [PubMed]
- Nakonieczna, J.; Wozniak, A.; Pieranski, M.; Rapacka-Zdonczyk, A.; Ogonowska, P.; Grinholc, M. Photoinactivation of ESKAPE pathogens: Overview of novel therapeutic strategy. Future Med. Chem. 2019, 11, 443–461. [Google Scholar] [CrossRef]
- Wainwright, M. Photoantimicrobials and PACT: What’s in an abbreviation? Photochem. Photobiol. Sci. 2019, 18, 12–14. [Google Scholar] [CrossRef]
- Kwiatkowski, S.; Knap, B.; Przystupski, D.; Saczko, J.; Kedzierska, E.; Knap-Czop, K.; Kotlinska, J.; Michel, O.; Kotowski, K.; Kulbacka, J. Photodynamic therapy—Mechanisms, photosensitizers and combinations. Biomed. Pharmacother. 2018, 106, 1098–1107. [Google Scholar] [CrossRef] [PubMed]
- Benov, L. Photodynamic Therapy: Current Status and Future Directions. Med. Princ. Pract. 2015, 24, 14–28. [Google Scholar] [CrossRef] [PubMed]
- Montoya, S.C.N.; Comini, L.R.; Sarmiento, M.; Becerra, C.; Albesa, I.; Argüello, G.A.; Cabrera, J.L. Natural anthraquinones probed as Type I and Type II photosensitizers: Singlet oxygen and superoxide anion production. J. Photochem. Photobiol. B 2005, 78, 77–83. [Google Scholar] [CrossRef] [PubMed]
- Cieplik, F.; Deng, D.; Crielaard, W.; Buchalla, W.; Hellwig, E.; Al-Ahmad, A.; Maisch, T. Antimicrobial Photodynamic Therapy- What We Know and What We don’t. Crit. Rev. Microbiol. 2018, 44, 571–589. [Google Scholar] [CrossRef] [PubMed]
- Ghorbani, J.; Rahban, D.; Aghamiri, S.; Teymouri, A.; Bahador, A. Photosensitizers in Antibacterial Photodynamic Therapy: An Overview. Laser Ther. 2018, 27, 293–302. [Google Scholar] [CrossRef]
- Correia, J.H.; Rodrigues, J.A.; Pimenta, S.; Dong, T.; Yang, Z. Photodynamic Therapy Review: Principles, Photosensitizers, Applications, and Future Directions. Pharmaceutics 2021, 13, 1332. [Google Scholar] [CrossRef]
- Maisch, T. Resistance in Antimicrobial Photodynamic Inactivation of Bacteria. Photochem. Photobiol. Sci. 2015, 14, 1518–1526. [Google Scholar] [CrossRef]
- Perez-Laguna, V.; Garcia-Luque, I.; Ballesta, S.; Rezusta, A.; Gilaberte, Y. Photodynamic therapy combined with antibiotics or antifungals against microorganisms that cause skin and soft tissue infections: A planktonic and biofilm approach to overcome resistances. Pharmaceuticals 2021, 14, 603. [Google Scholar] [CrossRef]
- Yin, R.; Agrawal, T.; Khan, U.; Gupta, G.K.; Rai, V.; Huang, Y.-Y.; Hamblin, M.R. Antimicrobial photodynamic inactivation in nanomedicine: Small light strides against bad bugs. Nanomedicine 2015, 10, 2379–2404. [Google Scholar] [CrossRef]
- Hosmane, R.S.; Liebman, J.F. Paradoxes and Paradigms: Why is Quinoline less Basic then Pyridine or Isoquinoline? A Classical Organic Chemical Perspective. Struct. Chem. 2009, 20, 693–697. [Google Scholar] [CrossRef]
- Brown, H.C. Determination of Organic Structures by Physical Methods; Academic Press: New York, NY, USA, 1995. [Google Scholar]
- Motten, A.G.; Martínez, L.J.; Holt, N.; Sik, R.H.; Reszka, K.; Chignell, C.F.; Tonnensen, H.H.; Roberts, J.E. Photophysical Studies on Antimalarial Drugs. Photochem. Photobiol. 1999, 69, 282–287. [Google Scholar] [CrossRef]
- Tappeiner, H.V. Ueber die Wirkung fluoreszierender Stoffe auf Infusorien nach Versuchen von O. Raab. Munch. Med. Wochenschr. 1900, 47, 5–7. [Google Scholar]
- Doniach, L. A Comparision of the Photodynamic Activity of Some Carcinogenicwith Non-Carcinogeic Compounds. Br. J. Exp. Path. 1939, 20, 227–235. [Google Scholar]
- Calcutt, G. The Role of Radiation in Photodynamic Action. J. Exp. Biol. 1951, 28, 537–540. [Google Scholar] [CrossRef]
- Von Tappeiner, H.; Jodlbauer, A. History of Photodynamic Therapy in Dermatology. Arch. Klin. Med. 1904, 80, 427–487. [Google Scholar]
- Ferguson, J.; Addo, H.A.; Johnson, B.E.; Frain-Bell, W. Quinine Induced Photosensitivity: Clinical and Experimental Studies. Br. J. Dermatol. 1987, 117, 631–640. [Google Scholar] [CrossRef]
- Search Performed in PubMed Database. Available online: https://pubmed.ncbi.nlm.nih.gov/ (accessed on 21 November 2021).
- Spikes, J.D. Photosensitizing properties of quinine and synthetic antimalarials. J. Photochem. Photobiol. B Biol. 1998, 42, 1–11. [Google Scholar] [CrossRef]
- Viola, G.; Salvador, A.; Cecconet, L.; Basso, G.; Vedaldi, D.; Dall’Acqua, F.; Aloisi, G.G.; Amelia, M.; Barbafina, A.; Latterini, L.; et al. Photophysical Properties and Photobiological Behavior of Amodiaquine, Primaquine and Chloroquine. Photochem. Photobiol. 2007, 83, 1415–1427. [Google Scholar] [CrossRef]
- Dodda, E.L.; Bohle, D.S. Orienting the heterocyclic periphery: A structural model for chloroquine’s antimalarial activity. Chem. Commun. 2014, 50, 13765–13768. [Google Scholar] [CrossRef] [PubMed]
- Kalyankar, T.M.; Kakade, R.B.; Attar, M.S.; Kamble, A.R. Simultaneous Spectrophotometric Estimation of Artesunate and Mefloquine. J. Chem. 2013, 679857. [Google Scholar] [CrossRef]
- Arise, R.O.; Elizabeth, S.-N.; Farohunbi, S.T.; Nafiu, M.O.; Tella, A.C. Mechanochemical Synthesis, In vivo Anti-malarial and Safety Evaluation of Amodiaquine-zinc Complex. Acta Fac. Med. Naissensis 2017, 34, 221–233. [Google Scholar] [CrossRef]
- Lorente, C.; Thomas, A.H. Photophysics and Photochemistry of Pterins in Aqueous Solution. Acc. Chem. Res. 2006, 39, 395–402. [Google Scholar] [CrossRef]
- Vignoni, M.; Walalawela, N.; Bonesi, S.M.; Greer, A.; Thomas, A.H. Lipophilic Decyl Chain-Pterin Conjugates with Sensitizer Properties. Mol. Pharm. 2018, 15, 798–807. [Google Scholar] [CrossRef]
- Lorente, C.; Thomas, A.H.; Villata, L.S.; Hozbor, D.; Lagares, A.; Capparelli, A.L. Photoinduced cleavage of plasmid DNA in the presence of pterin. Pteridines 2000, 11, 100–105. [Google Scholar] [CrossRef][Green Version]
- Ito, K.; Kawanishi, S. Photoinduced hydroxylation of deoxyguanosine in DNA by pterins: Sequence specificity and mechanism. Biochemistry 1997, 36, 1774–1781. [Google Scholar] [CrossRef] [PubMed]
- Dantola, M.L.; Reid, L.O.; Castaño, C.; Lorente, C.; Oliveros, E.; Thomas, A.H. Photosensitization of peptides and proteins by pterin derivatives. Pteridines 2017, 28, 105–114. [Google Scholar] [CrossRef]
- Hirakawa, K.; Suzuki, H.; Oikawa, S.; Kawanishi, S. Sequencespecific DNA damage induced by ultraviolet A-irradiated folic acid via its photolysis product. Arch. Biochem. Biophys. 2003, 410, 261–268. [Google Scholar] [CrossRef]
- Miñán, A.; Lorente, C.; Ipiña, A.; Thomas, A.H.; Fernández, M.; De Mele, L.; Schilardi, P.L. Photodynamic Inactivation Induced by Carboxypterin: A Novel Non-Toxic Bactericidal Strategy Against Planktonic Cells and Biofils of Staphylococcus aureus. Biofouling 2015, 31, 459–468. [Google Scholar] [CrossRef] [PubMed]
- Urrutia, M.N.; Sosa, M.J.; Pissinis, D.E.; Cánneva, A.; Minan, A.G.; Vignoni, M.; Calvo, A.; Thomas, A.H.; Schilardi, P.L. Immobilization of Alkyl-Pterin Photosensitizer on Silicon Surfacess through in situ SN2 Reaction as Suitable Approach for Photodynamic Inactivation of Staphylococcus aureus. Colloids Surf. B Biointerfaces 2021, 198, 111456. [Google Scholar] [CrossRef]
- Thomas, A.H.; Lorente, C.; Capparelli, A.L.; Pokhrel, M.R.; Braun, A.M.; Oliveros, E. Fluorescence of pterin, 6-formylpterin, 6-carboxypterin and folic acid in aqueous solution: pH effects. Photochem. Photobiol. Sci. 2002, 1, 421–426. [Google Scholar] [CrossRef] [PubMed]
- Oliveros, E.; Dántola, M.L.; Vignoni, M.; Thomas, A.H.; Lorente, C. Production and quenching of reactive oxygen species by pterin derivatives, an intriguing class of biomolecules. Pure Appl. Chem. 2011, 83, 801–811. [Google Scholar] [CrossRef]
- Cabrerizo, F.M.; Petroselli, G.; Lorente, C.; Capparelli, A.L.; Thomas, A.H.; Braun, A.M.; Oliveros, E. Substituent Effects on the Photophysical Properties of Pterin Derivatives in Acidic and Alkaline Aqueous Solutions. Photochem. Photobiol. 2005, 81, 1234–1240. [Google Scholar] [CrossRef] [PubMed]
- Greger, H. Phytocarbazoles: Alkaloids with Great Structural Diversity and Pronounced Biological Activities. Phytochem. Rev. 2017, 16, 1095–1153. [Google Scholar] [CrossRef]
- Ramírez, C.L.; Parisea, A.R.; Bertolotti, S.G.; Previtali, C.M.; Arbeloa, E.M. Study on the triplet states of N-phenyl carbazoles. Transient spectra and singlet oxygen generation. J. Photochem. Photobiol. A Chem. 2020, 397, 112503. [Google Scholar] [CrossRef]
- Wan, X.; Li, C.; Zhang, M.; Chen, Y. Acceptor–donor–acceptor type molecules for high performance organic photovoltaics—chemistry and mechanism. Chem. Soc. Rev. 2020, 49, 2828–2842. [Google Scholar] [CrossRef] [PubMed]
- Wang, Z.; Zhu, L.; Shuai, Z.; Wei, Z. A–π–D–π–A Electron-Donating Small Molecules for Solution-Processed Organic Solar Cells: A Review. Macromol. Rapid Commun. 2017, 38, 1700470. [Google Scholar] [CrossRef]
- Zheng, Y.-C.; Zheng, M.-L.; Li, K.; Chen, S.; Zhao, Z.-S.; Wang, X.-S.; Duan, X.-M. Novel Carbazole-Based Two-Photon Photosensitizer for Efficient DNA Photocleavage in Anaerobic Condition Using Near-Infrared Light. RSC Adv. 2015, 5, 770–774. [Google Scholar] [CrossRef]
- Chen, L.-L.; Zheng, M.-L.; Zheng, Y.-C.; Jin, F.; Chai, Q.-Q.; Zhao, Y.-Y.; Meng, Z.-W.; Liu, Y.-H.; Duan, X.-M. Laser-Induced Antibacterial Activity of Novel Symmetric Carbazole-Based Ethynylpyridine Photosensitizer. ACS Omega 2018, 3, 3737–3743. [Google Scholar] [CrossRef]
- Kukula-Koch, W.A.; Widelski, J. Alkaloids. In Pharmacognosy: Fundamentals, Applications and Strategies; Badal, S., Delgoda, R., Eds.; Elsevier: Amsterdam, The Netherlands, 2017. [Google Scholar]
- Zhang, L.; Li, D.; Yu, S. Pharmacological effects of harmine and its derivatives: A review. Arch. Pharmacal Res. 2020, 43, 1259–1275. [Google Scholar] [CrossRef]
- Olmedo, G.M.; Cerioni, L.; González, M.M.; Cabrerizo, F.M.; Volentini, S.I.; Rapisarda, V.A. UVA Photoactivation of Harmol Enhances its Antifungal Activity Against the Phytopathogens Penicillium digitatus and Botrytis cinerea. Front. Microbiol. 2017, 8, 347. [Google Scholar] [CrossRef]
- Yañuk, J.G.; Denofrio, M.P.; Rasse-Suriani, F.A.O.; Villarruel, F.D.; Fassetta, F.; García-Einschlag, F.S.; Erra-Balsells, R.; Epe, B.; Cabrerizo, F.M. DNA Damage Photo-Induced by Chloroharmine Isomers: Hydrolysis versus Oxidation of Nucleobases. Org. Biomol. Chem. 2018, 16, 2170–2184. [Google Scholar] [CrossRef]
- González, M.M.; Rasse-Suriani, F.A.O.; Franca, C.A.; Diez, R.P.; Gholipour, Y.; Nonami, H.; Erra-Balsells, R.; Cabrerizo, F.M. Photosensitized Electron Transfer within a Self-Assembled Norharmane-2’-deoxyadenosine5’-monophosphate (dAMP) Complex. Org. Biomol. Chem. 2012, 10, 9359–9372. [Google Scholar] [CrossRef]
- Pardo, A.; Reyman, D.; Martin, E.; Poyato, J.M.L.; Camacho, J.J.; Hidalgo, J.; Sanchez, M. Quantum yield and fluorescence lifetime measurements of neutral and cationic species for six β-carboline derivatives. J. Lumin. 1988, 42, 163–168. [Google Scholar] [CrossRef]
- Mortazavi, N.; Heidari, M.; Rabiei, Z.; Enferadi, S.T.; Monazzah, M. Loading harmine on nanographene changes the inhibitory effects of free harmine against MCF-7 and fibroblast cells. Med. Chem. Res. 2021, 30, 1108–1116. [Google Scholar] [CrossRef]
- Becker, R.S.; Ferreira, L.F.V.; Elisei, F.; Machado, I.; Latterini, L. Comprehensive Photochemistry and Photophysics of Land- and Marine-based P-carbolines Employing Time-resolved Emission and Flash Transient Spectroscopy. Photochem. Photobiol. 2005, 81, 1195–1204. [Google Scholar] [CrossRef] [PubMed]
- Domonkos, C.; Fitos, I.; Visy, J.; Zsila, F. Fatty Acid Modulated Human Serum Albumin Binding of the β-Carboline Alkaloids Norharmane and Harmane. Mol. Pharm. 2013, 10, 4706–4716. [Google Scholar] [CrossRef] [PubMed]
- Nafisi, S.; Panahyab, A.; Sadeghi, G.B. Interactions between β-carboline alkaloids and bovine serum albumin: Investigation by spectroscopic approach. J. Lumin. 2012, 132, 2361–2366. [Google Scholar] [CrossRef]
- Ubeda, A.; Montesinos, C.; Paya, M.; Terencio, C.; Alcaraz, M.J. Antioxidant action of benzylisoquinoline alkaloids. Free. Radic. Res. Commun. 1993, 18, 167–175. [Google Scholar] [CrossRef]
- Flores, C.; Prat, C.; Suau, R.; Nájera, F.; Nonell, S. Photochemistry of Phytoalexins Containing Phenalenone-like Cromophores: Photophysics and Singlet Oxygen Photosensitizing Properties of the Plant Oxoaporphine Alkaloid Oxoglaucine. Photochem. Photobiol. 2005, 81, 120–124. [Google Scholar] [CrossRef]
- Andreazza, N.L.; de Lourenço, C.C.; Hernández-Tasco, A.J.; Pinheiro, M.L.B.; Alves-Stefanello, M.E.; Vilaça-Costa, E.; Salvador, M.J. Antimicrobial Photodynamic Effect of Extracts and Oxoaporphine Alkaloid Isomoschatoline from Guatteria blepharophylla. J. Photochem. Photobiol. B 2016, 160, 154–162. [Google Scholar] [CrossRef]
- Diaz, M.S.; Freile, M.L.; Gutierrez, M.I. Solvent effect on the UV/Vis absorption and fluorescence spectroscopic properties of berberine. Photochem. Photobiol. Sci. 2009, 8, 970–974. [Google Scholar] [CrossRef]
- Megyesi, M.; Biczok, L.; Gorner, H. Dimer-promoted fluorescence quenching of coralyne by binding to anionic polysaccharides. Photochem. Photobiol. Sci. 2009, 8, 556–561. [Google Scholar] [CrossRef][Green Version]
- Redmond, R.W.; Gamlin, J.N. A Compilation of Singlet Oxygen Yields from Biologically Relevant Molecules. Photochem. Photobiol. 1999, 70, 391–475. [Google Scholar] [CrossRef]
- Inbaraj, J.I.; Kukielczak, B.M.; Bilski, P.; He, Y.-Y.; Sik, R.H.; Chignell, C.F. Photochemistry and Photocytotoxicity of Alkaloids from Goldenseal (Hydrastis Canadensis L.).2. Palmatine, Hydrastine, Canadine and Hydrastinine. Chem. Res. Toxicol. 2006, 19, 739–744. [Google Scholar] [CrossRef] [PubMed]
- Rondão, R.; de Melo, J.S.S.; Voss, G. Characterization of the Excited States of Indigo Derivatives in their Reduced Forms. ChemPhysChem 2010, 11, 1903–1908. [Google Scholar] [CrossRef]
- De Melo, J.S.S.; Moura, A.P.; Melo, M.J. Photophysical and Spectroscopic Studies of Indigo Derivatives in their Keto and Leuco Forms. J. Phys. Chem. A 2004, 108, 6975–6981. [Google Scholar] [CrossRef]
- De Melo, J.S.S.; Rondão, R.; Burrows, H.D.; Melo, M.J.; Navaratnam, S.; Edge, R.; Voss, G. Spectral and Photophysical Studies of Substituted Indigo Derivatives in their Keto Forms. ChemPhysChem 2006, 7, 2303–2311. [Google Scholar] [CrossRef]
- Rondão, R.; de Melo, J.S.S.; Bonifácio, V.D.B.; Melo, M.J. Dehydroindigo, the Forgotten Indigo and Its Contribution to the Color of Maya Blue. J. Phys. Chem. A 2010, 114, 1699–1708. [Google Scholar] [CrossRef] [PubMed]
- Andreazza, N.L.; Lourenço, C.C.A.; Stefanello, M.É.; Zambon-Atvars, T.D.; Salvador, M.J. Photodynamic Antimicrobial Effects of Bis-indole Alkaloid from Indigofera truxillensis Kunth (Leguminosae). Lasers Med. Sci. 2015, 30, 1315–1324. [Google Scholar] [CrossRef]
- Flors, C.; Nonell, S. Light and Singlet Oxygen in Plant Defense against Pathogens: Phototoxic Phenalenone Phytoalexins. Acc. Chem. Res. 2006, 39, 293–300. [Google Scholar] [CrossRef]
- Sayeda, M.; Pal, H. Supramolecularly assisted modulations in chromophoric properties and their possible applications: An overview. J. Mater. Chem. C 2016, 4, 2685–2706. [Google Scholar] [CrossRef]
- Görner, H.; Miskolczy, Z.; Megyesi, M.; Biczók, L. Photooxidation of alkaloids: Considerable quantum yield enhancement by rose bengal-sensitized singlet molecular oxygen generation. Photochem. Photobiol. 2011, 87, 1315–1320. [Google Scholar] [CrossRef] [PubMed]
- Pithan, P.M.; Decker, D.; Druzhinin, S.I.; Ihmels, H.; Schönherr, H.; Voß, Y. 8-Styryl-substituted coralyne derivatives as DNA binding fluorescent probes. RSC Adv. 2017, 7, 10660–10667. [Google Scholar] [CrossRef]
- Kadam, V.; Kakatkar, A.S.; Barooah, N.; Chatterjee, S.; Bhasikuttan, A.C.; Mohanty, J. Supramolecular interaction of sanguinarine dye with sulfobutylether-β-cyclodextrin: Modulation of the photophysical properties and antibacterial activity. RSC Adv. 2020, 10, 25370–25378. [Google Scholar] [CrossRef]
- Chiang, Y.-R.; Li, A.; Leu, Y.-L.; Fang, J.-Y.; Lin, Y.-K. An in vitro study of the antimicrobial effects of indigo naturalis prepared from Strobilanthes formosanus Moore. Molecules 2013, 18, 14381–14396. [Google Scholar] [CrossRef]
- Schindler, F.; Zahner, H. Metabolic Products of Microorganisms. Tryptanthrin, a Tryptophan Derived Antibiotic from Candida lipolytica. Arch. Microbiol. 1971, 79, 187–203. [Google Scholar]
- Mitscher, L.A.; Baker, W. Tuberculosis: A Search for Novel Therapy Starting with Natural Products. Med. Res. Rev. 1998, 18, 363–374. [Google Scholar] [CrossRef]











| Compound | λabs (nm) | λem (nm) | ΦF | ΦΔ | τF (ns) | References |
|---|---|---|---|---|---|---|
| 3 | 331 a | 367 a | 0.55 b | 0.36 c | <10−3 d | [48,51,54] |
| 4 | 373 a | 380 a | 5 × 10−3 a | <10−2 | 0.31, 0.69 a | [47,50,55,56] |
| 5 | 259 a, 350 a, 266 c | 522 a | 3.5 × 10−3 a | <10−2 | 0.06, 0.94 a | [47,54] |
| 6 | 284 a | 377 a | 0.38 c | <10−3 d | [49,57] | |
| 8 | 210, 256, 341 a | 480 a, 410 e | 1.5 × 10−2 e, ≤10−4 a | 10−2–10−4 | <0.2 a | [47,50,54,58] |
| Compound | pH | λabs (nm) | λem (nm) a | ΦF a | ΦΔ | τF (ns) a | References |
|---|---|---|---|---|---|---|---|
| 10 | 4.9–5.5 | 270, 340 | 439 | 0.33 | 0.18 | 7.6 | [62,63,64] |
| 10–10.5 | 252, 358 | 456 | 0.27 | 0.3 | 5.0 | ||
| 11 | 4.9–5.5 | 271, 347 | 448 | 0.61 | 0.10 | 13.3 | [64] |
| 10–10.5 | 252, 363 | 460 | 0.14 | 11.2 | |||
| 12 | 4.9–5.5 | 273, 344 | 433 | 0.85 | 0.04 | 13.5 | [59,63,65,67,68] |
| 10–10.5 | 250, 358 | 445 | 0.84 | 0.1 | 11.6 | ||
| 13 | 4.9–5.5 | 275, 345 | 449 | 0.53 | 0.15 | 11.0 | [59,63,64,68,69] |
| 10–10.5 | 254, 364 | 457 | 0.46 | 0.21 | 8.4 | ||
| 14 | 4.9–5.5 | 276, 316 | 446 | 0.1 | 0.45 | 7.9 | [59,62,63,64,67,68,69] |
| 10–10.5 | 280, 370 | 454 | 0.02 | 0.47 | 2.2 | ||
| 15 | 4.9–5.5 | 286, 346 | 439 | 0.28 | 0.27 | 5.8 | [59,62,63,65,67,68,69] |
| 10–10.5 | 264, 364 | 451 | 0.18 | 0.37 | 4.1 | ||
| 16 | 4.9–5.5 | 274, 346 | 441 | 0.36 | 0.34 | 9.1 | [59,63,64,65,68,69] |
| 10–10.5 | 254, 363 | 455 | 0.29 | 0.4 | 7.6 | ||
| 17 | 4.9–5.5 | 274, 346 | 440 | 0.38 | 0.23 | 8.9 | [59,63,64,65,68,69] |
| 10–10.5 | 254, 363 | 454 | 0.31 | 0.34 | 7.4 | ||
| 18 | 4.9–5.5 | 273, 344 | 441 | 0.47 | 0.13 | 10.7 | [59,63,65,68,69] |
| 10–10.5 | 254, 363 | 455 | 0.40 | 0.16 | 7.5 | ||
| 19 | 4.9–5.5 | 279, 347 | 450 | 6.1 × 10−3 | <0.02 | 3.9 | [59,63,65,68,69] |
| 10–10.5 | 257, 366, 277 | 460 | 7.9 × 10−3 | ||||
| 20 | 4.9–5.5 | 285, 354 | 445 | <0.005 | <0.02 | 7.0 | [62,63,64,65] |
| 10–10.5 | 255, 365, 285 | 455 | 3.5 | ||||
| 22 | 234, 263, 354 b | 428 b | 0.012 b | 1.2 b | 0.5 b | [60] | |
| 23 | 240, 278, 348 b | 428 b | 0.043 b | 0.8 b | 0.36 b | [60] |
| Compound | λabs (nm) | λem (nm) | ΦF | ΦΔ | τF (ns) | References |
|---|---|---|---|---|---|---|
| 24 | 293, 329, 342 a | 363 a (λexc = 340 nm) | 0.34 a | 0.33 a | [71] | |
| 25 | 304, 342, 356 a | 340 a (λexc = 340 nm) | 0.12 a | 0.29 a | [71] | |
| 26 | 293, 329, 342 a | 363 a (λexc = 340 nm) | 0.31 a | 0.30 a | [71] | |
| 27 | 330, 420 b,c | 592 b,c (λexc = 415 nm) | <0.001 b,c | [74] | ||
| 28 | 330, 420 b,c | 576 b,c (λexc = 415 nm) | <0.001 b,c | [74] | ||
| 29 | 250, 300, 370 d | 430 d | 0.42 d | 0.35 d | 5.5 d | [81,82,83] |
| 30 | 289, 299, 349 d | 440 d | 0.67 d | 0.58 d | 8.5 d | [81,83,84,85] |
| 31 | 375 d | 490 d | 0.44 d | 4.0 d | [81,83,85] | |
| 32 | 330 b | 435 b | 0.39 b | 5.1 b | [78,83,85] | |
| 34 | 250, 305, 380 b (pH = 4.8) | 469 b | 0.57 b | 0.40 d | 10.6 b | [80,81,83,84,85] |
| 235, 280, 350 b (pH = 10) | 469 b | 0.57 b | 0.40 d | 10.6 b |
| Compound | λabs (nm) | λem (nm) | ΦF | ΦΔ | τF (ns) | References |
|---|---|---|---|---|---|---|
| 37 | 287, 320, 470, 660 a | 540 a (λexc = 470) | [87] | |||
| 38 | 242, 272 b | 510 b | 0.002 b | 1 c | 6.7 b, <0.1 b | [86,88,98] |
| 39 | 0.025 d | [88] | ||||
| 43 | 421 b | 555 b, 524 c | 0.02 d, 0.07 e | 0.00045 b, 0.34 f, 0.04 d | [88,91] | |
| 44 | 350, 430 b | 541 f, 581 d, 519 e | 0.37 f, 0.01 d, 0.24 e | 0.20 f, 0.11 d, 0.04 e | [91,99] | |
| 45 | 310, 425 b | 525 b | 0.05 b | 0.7 c | [100,101] | |
| 46 | 327 f | 0.004 f | 0.005 f | 2.38 f | [99,102] | |
| 48 | 415 e, 442 g | 500 e, 523 g | 0.46 e, 0.348 g | 0.00117 g | 3.33 e, 0.315 g | [92,95] |
| 50 | 430,442 g | 505 e, 526 g | 0.22 e, 0.225 g | 0.0005 g | 3.77 e, 3.77 g | [92,93,95] |
| 51 | 430 g | 505 g | 0.38 g | 0.002 g | 2.89 g | [92,95] |
| 52 | 430 g | 503 g | 0.22 g | 0.001 g | 3.2 g | [92,95] |
| 53 | 412 g | 518 g | 0.04 g | 0.001 g | 0.55 g | [92,95] |
| 54 | 413 g | 515 g | 0.05 g | 0.0005 g | 0.55 g | [92,95] |
Publisher’s Note: MDPI stays neutral with regard to jurisdictional claims in published maps and institutional affiliations. |
© 2021 by the authors. Licensee MDPI, Basel, Switzerland. This article is an open access article distributed under the terms and conditions of the Creative Commons Attribution (CC BY) license (https://creativecommons.org/licenses/by/4.0/).
Share and Cite
López-Molina, S.; Galiana-Roselló, C.; Galiana, C.; Gil-Martínez, A.; Bandeira, S.; González-García, J. Alkaloids as Photosensitisers for the Inactivation of Bacteria. Antibiotics 2021, 10, 1505. https://doi.org/10.3390/antibiotics10121505
López-Molina S, Galiana-Roselló C, Galiana C, Gil-Martínez A, Bandeira S, González-García J. Alkaloids as Photosensitisers for the Inactivation of Bacteria. Antibiotics. 2021; 10(12):1505. https://doi.org/10.3390/antibiotics10121505
Chicago/Turabian StyleLópez-Molina, Sònia, Cristina Galiana-Roselló, Carolina Galiana, Ariadna Gil-Martínez, Stephane Bandeira, and Jorge González-García. 2021. "Alkaloids as Photosensitisers for the Inactivation of Bacteria" Antibiotics 10, no. 12: 1505. https://doi.org/10.3390/antibiotics10121505
APA StyleLópez-Molina, S., Galiana-Roselló, C., Galiana, C., Gil-Martínez, A., Bandeira, S., & González-García, J. (2021). Alkaloids as Photosensitisers for the Inactivation of Bacteria. Antibiotics, 10(12), 1505. https://doi.org/10.3390/antibiotics10121505

