Characterization of Binding of Magnetic Nanoparticles to Rolling Circle Amplification Products by Turn-On Magnetic Assay
Abstract
1. Introduction
2. Results
2.1. Effect of Amplification Time
2.1.1. Turn-Off Analysis
2.1.2. DHMA, Turn-On Analysis
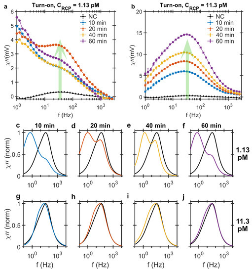
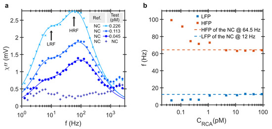
2.2. Effect of RCP Concentration in Turn-On Analysis
2.3. Nanoparticle Tracking Analysis
3. Discussion
4. Materials And Methods
4.1. Rolling Circle Amplification
4.2. Labelling The Rcps
4.3. Nanoparticles Tracking Analysis
4.4. Magnetic Ac Susceptibility Analysis
5. Patents
Supplementary Materials
Author Contributions
Funding
Conflicts of Interest
Abbreviations
| MNP | magnetic nanoparticle |
| RCA | rolling circle amplification |
| RCP | rolling circle product |
| DHMA | differential homogenous magnetic assay |
| SQUID | superconducting quantum interference device |
| NTA | nanoparticle tracking analysis |
| HRF | high relaxation frequency |
| LRF | low relaxation frequency |
References
- Ali, M.M.; Li, F.; Zhang, Z.; Zhang, K.; Kang, D.K.; Ankrum, J.A.; Le, X.C.; Zhao, W. Rolling circle amplification: A versatile tool for chemical biology, materials science and medicine. Chem. Soc. Rev. 2014, 43, 3324–3341. [Google Scholar] [CrossRef] [PubMed]
- Zhao, Y.; Chen, F.; Li, Q.; Wang, L.; Fan, C. Isothermal Amplification of Nucleic Acids. Chem. Rev. 2015, 115, 12491–12545. [Google Scholar] [CrossRef] [PubMed]
- Nilsson, M.; Malmgren, H.; Samiotaki, M.; Kwiatkowski, M.; Chowdhary, B.P.; Landegren, U. Padlock probes: Circularizing oligonucleotides for localized DNA detection. Science 1994, 265, 2085–2088. [Google Scholar] [CrossRef] [PubMed]
- Banér, J.; Nilsson, M.; Mendel-Hartvig, M.; Landegren, U. Signal amplification of padlock probes by rolling circle replication. Nucleic Acids Res. 1998, 26, 5073–5078. [Google Scholar] [CrossRef] [PubMed]
- Kuhn, H.; Demidov, V.V.; Frank-Kamenetskii, M.D. Rolling-circle amplification under topological constraints. Nucleic Acids Res. 2002, 30, 574–580. [Google Scholar] [CrossRef] [PubMed]
- Mahmoudian, L.; Kaji, N.; Tokeshi, M.; Nilsson, M.; Baba, Y. Rolling circle amplification and circle-to-circle amplification of a specific gene integrated with electrophoretic analysis on a single chip. Anal. Chem. 2008, 80, 2483–2490. [Google Scholar] [CrossRef] [PubMed]
- Schweitzer, B.; Wiltshire, S.; Lambert, J.; O’Malley, S.; Kukanskis, K.; Zhu, Z.; Kingsmore, S.F.; Lizardi, P.M.; Ward, D.C. Immunoassays with rolling circle DNA amplification: A versatile platform for ultrasensitive antigen detection. Proc. Natl. Acad. Sci. USA 2000, 97, 10113–10119. [Google Scholar] [CrossRef]
- Zhao, W.; Gao, Y.; Kandadai, S.A.; Brook, M.A.; Li, Y. DNA polymerization on gold nanoparticles through rolling circle amplification: Towards novel scaffolds for three-dimensional periodic nanoassemblies. Angew. Chem. Int. Ed. 2006, 45, 2409–2413. [Google Scholar] [CrossRef]
- Strömberg, M.; Göransson, J.; Gunnarsson, K.; Nilsson, M.; Svedlindh, P.; Strømme, M. Sensitive Molecular Diagnostics Using Volume-Amplified Magnetic Nanobeads. Nano Lett. 2008, 8, 816–821. [Google Scholar] [CrossRef]
- Cheng, W.; Yan, F.; Ding, L.; Ju, H.; Yin, Y. Cascade signal amplification strategy for subattomolar protein detection by rolling circle amplification and quantum dots tagging. Anal. Chem. 2010, 82, 3337–3342. [Google Scholar] [CrossRef]
- Kudr, J.; Haddad, Y.; Richtera, L.; Heger, Z.; Cernak, M.; Adam, V.; Zitka, O. Magnetic Nanoparticles: From Design and Synthesis to Real World Applications. Nanomaterials 2017, 7, 243. [Google Scholar] [CrossRef] [PubMed]
- Koh, I.; Josephson, L. Magnetic Nanoparticle Sensors. Sensors 2009, 9, 8130–8145. [Google Scholar] [CrossRef] [PubMed]
- Schrittwieser, S.; Pelaz, B.; Parak, W.J.; Lentijo-Mozo, S.; Soulantica, K.; Dieckhoff, J.; Ludwig, F.; Guenther, A.; Tschöpe, A.; Schotter, J. Homogeneous biosensing based on magnetic particle labels. Sensors 2016, 16, 828. [Google Scholar] [CrossRef] [PubMed]
- Dalslet, B.T.; Damsgaard, C.D.; Donolato, M.; Strømme, M.; Strömberg, M.; Svedlindh, P.; Hansen, M.F. Bead magnetorelaxometry with an on-chip magnetoresistive sensor. Lab Chip 2011, 11, 296–302. [Google Scholar] [CrossRef] [PubMed]
- Strömberg, M.; Zardán Gómez de la Torre, T.; Göransson, J.; Gunnarsson, K.; Nilsson, M.; Svedlindh, P.; Strømme, M. Multiplex detection of DNA sequences using the volume-amplified magnetic nanobead detection assay. Anal. Chem. 2009, 81, 3398–3406. [Google Scholar] [CrossRef] [PubMed]
- Göransson, J.; Zardán Gómez De La Torre, T.; Strömberg, M.; Russell, C.; Svedlindh, P.; Strømme, M.; Nilsson, M. Sensitive detection of bacterial DNA by magnetic nanoparticles. Anal. Chem. 2010, 82, 9138–9140. [Google Scholar] [CrossRef] [PubMed]
- Sepehri, S.; Eriksson, E.; Kalaboukhov, A.; Zardán Gómez de la Torre, T.; Kustanovich, K.; Jesorka, A.; Schneiderman, J.F.; Blomgren, J.; Johansson, C.; Strømme, M.; et al. Volume-amplified magnetic bioassay integrated with microfluidic sample handling and high- Tc SQUID magnetic readout. APL Bioeng. 2018, 2, 016102. [Google Scholar] [CrossRef]
- Zardán Gómez De La Torre, T.; Mezger, A.; Herthnek, D.; Johansson, C.; Svedlindh, P.; Nilsson, M.; Strømme, M. Detection of rolling circle amplified DNA molecules using probe-tagged magnetic nanobeads in a portable AC susceptometer. Biosens. Bioelectron. 2011, 29, 195–199. [Google Scholar] [CrossRef]
- Ahrentorp, F.; Blomgren, J.; Jonasson, C.; Sarwe, A.; Sepehri, S.; Eriksson, E.; Kalaboukhov, A.; Jesorka, A.; Winkler, D.; Schneiderman, J.F.; et al. Sensitive magnetic biodetection using magnetic multi-core nanoparticles and RCA coils. J. Magn. Magn. Mater. 2017, 427, 14–18. [Google Scholar] [CrossRef]
- Donolato, M.; Antunes, P.; Bejhed, R.S.; Zardán Gómez De La Torre, T.; Østerberg, F.W.; Strömberg, M.; Nilsson, M.; Strømme, M.; Svedlindh, P.; Hansen, M.F.; et al. Novel readout method for molecular diagnostic assays based on optical measurements of magnetic nanobead dynamics. Anal. Chem. 2015, 87, 1622–1629. [Google Scholar] [CrossRef]
- Tian, B.; Qiu, Z.; Ma, J.; Donolato, M.; Hansen, M.F.; Svedlindh, P.; Strömberg, M. On-Particle Rolling Circle Amplification-Based Core-Satellite Magnetic Superstructures for MicroRNA Detection. ACS Appl. Mater. Interfaces 2018, 10, 2957–2964. [Google Scholar] [CrossRef] [PubMed]
- Tian, B.; Liao, X.; Svedlindh, P.; Strömberg, M.; Wetterskog, E. Ferromagnetic Resonance Biosensor for Homogeneous and Volumetric Detection of DNA. ACS Sens. 2018, 3, 1093–1101. [Google Scholar] [CrossRef] [PubMed]
- Connolly, J.; St Pierre, T.G. Proposed biosensors based on time-dependent properties of magnetic fluids. J. Magn. Magn. Mater. 2001, 225, 156–160. [Google Scholar] [CrossRef]
- Astalan, A.P.; Ahrentorp, F.; Johansson, C.; Larsson, K.; Krozer, A. Biomolecular reactions studied using changes in Brownian rotation dynamics of magnetic particles. Biosens. Bioelectron. 2004, 19, 945–951. [Google Scholar] [CrossRef] [PubMed]
- Hong, C.Y.; Wu, C.C.; Chiu, Y.C.; Yang, S.Y.; Horng, H.E.; Yang, H.C. Magnetic susceptibility reduction method for magnetically labeled immunoassay. Appl. Phys. Lett. 2006, 88, 2004–2007. [Google Scholar] [CrossRef]
- Blomgren, J.; Ahrentorp, F.; Ilver, D.; Jonasson, C.; Sepehri, S.; Kalaboukhov, A.; Winkler, D.; Zardán Gómez De La Torre, T.; Strømme, M.; Johansson, C. Development of a Sensitive Induction-Based Magnetic Nanoparticle Biodetection Method. Nanomaterials 2018, 8, 887. [Google Scholar] [CrossRef] [PubMed]
- Donolato, M.; Antunes, P.; de la Torre, T.Z.G.; Hwu, E.T.; Chen, C.H.; Burger, R.; Rizzi, G.; Bosco, F.G.; Strømme, M.; Boisen, A.; et al. Quantification of rolling circle amplified DNA using magnetic nanobeads and a Blu-ray optical pick-up unit. Biosens. Bioelectron. 2015, 67, 649–655. [Google Scholar] [CrossRef] [PubMed]
- Strömberg, M.; Zardán Gómez de la Torre, T.; Göransson, J.; Gunnarsson, K.; Nilsson, M.; Strømme, M.; Svedlindh, P. Microscopic mechanisms influencing the volume amplified magnetic nanobead detection assay. Biosens. Bioelectron. 2008, 24, 696–703. [Google Scholar] [CrossRef] [PubMed]
- Bejhed, R.S.; Zardán Gómez de la Torre, T.; Donolato, M.; Hansen, M.F.; Svedlindh, P.; Strömberg, M. Turn-on optomagnetic bacterial DNA sequence detection using volume-amplified magnetic nanobeads. Biosens. Bioelectron. 2015, 66, 405–411. [Google Scholar] [CrossRef] [PubMed]
- Zardán Gómez De La Torre, T.; Strömberg, M.; Russell, C.; Göransson, J.; Nilsson, M.; Svedlindh, P.; Strømme, M. Investigation of immobilization of functionalized magnetic nanobeads in rolling circle amplified DNA coils. J. Phys. Chem. 2010, 114, 3707–3713. [Google Scholar] [CrossRef] [PubMed]
- Sepehri, S.; Zardán Gómez de la Torre, T.; Schneiderman, J.; Blomgren, J.; Jesorka, A.; Johansson, C.; Nilsson, M.; Albert, J.; Strømme, M.; Winkler, D.; et al. Homogeneous differential magnetic assay. ACS Sens. 2019. [Google Scholar] [CrossRef] [PubMed]
- Lin, C.; Zhang, Y.; Zhou, X.; Yao, B.; Fang, Q. Naked-eye detection of nucleic acids through rolling circle amplification and magnetic particle mediated aggregation. Biosens. Bioelectron. 2013, 47, 515–519. [Google Scholar] [CrossRef] [PubMed]
- Earle Waghorne, W. Viscosities of electrolyte solutions. Philos. Trans. R. Soc. Lond. Ser. 2001, 359, 1529–1543. [Google Scholar] [CrossRef]
- Zimbone, M.; Baeri, P.; Calcagno, L.; Musumeci, P.; Contino, A.; Barcellona, M.L.; Bonaventura, G. Dynamic Light Scattering on Bioconjugated Laser Generated Gold Nanoparticles. PLoS ONE 2014, 9, e89048. [Google Scholar] [CrossRef] [PubMed]
- Schlick, T.; Li, B.; Olson, W. The influence of salt on the structure and energetics of supercoiled DNA. Biophys. J. 1994, 67, 2146–2166. [Google Scholar] [CrossRef]
- Dekoning, N. A Rolling Circle Amplification-Based Methodology for Making Long, Sequence–Repeating, DNA Duplexes. Master’s Thesis, Chalmers University of Technology, Gothenburg, Sweden, 2018. [Google Scholar]
- Kühnemund, M.; Hernández-Neuta, I.; Sharif, M.I.; Cornaglia, M.; Gijs, M.A.; Nilsson, M. Sensitive and inexpensive digital DNA analysis by microfluidic enrichment of rolling circle amplified single-molecules. Nucleic Acids Res. 2017, 45, 59. [Google Scholar] [CrossRef] [PubMed]
- Carr, B.; Wright, M. Nanoparticle Tracking Analysis: A Review of Applications and Usage 2012–2012; NanoSight Ltd.: Salisbury, UK, 2012; p. 188. [Google Scholar]





| Measurement Method | Concentration | Parameters | Amplification Times | ||||
|---|---|---|---|---|---|---|---|
| NC | 10 min | 20 min | 40 min | 60 min | |||
| Turn-off Analysis | 1.13 pM | g | – | 8 | 12 | 14 | 18 |
| 0.65 | 0.61 | 0.60 | 0.61 | 0.55 | |||
| LRF (Hz) | 6.9 | 6.9 | 6.9 | 6.9 | 6.9 | ||
| HRF (Hz) | 50.0 | 50.3 | 50.2 | 50.2 | 50.1 | ||
| 11.3 pM | g | – | 5 | 6 | 8 | 9 | |
| 0.73 | 0.64 | 0.56 | 0.47 | 0.52 | |||
| LRF (Hz) | 6.9 | 6.0 | 6.9 | 6.9 | 6.7 | ||
| HRF (Hz) | 52.4 | 51.8 | 52.9 | 52.6 | 51.3 | ||
| Turn-on Analysis | 1.13 pM | g | – | 11 | 14 | 14 | 20 |
| 0.65 | 5.94 | 2.09 | 1.74 | 4.87 | |||
| LRF (Hz) | 7.0 | 0.57 | 0.85 | 1.33 | 0.63 | ||
| HRF (Hz) | 51.0 | 51.66 | 41.92 | 30.61 | 40.78 | ||
| 11.3 pM | g | – | 3 | 5 | 6 | 8 | |
| 0.73 | 0.25 | 0.73 | 1.48 | 1.04 | |||
| LRF (Hz) | 7.0 | 4.91 | 5.82 | 6.87 | 6.88 | ||
| HRF (Hz) | 52.0 | 34.05 | 45.82 | 52.10 | 52.40 | ||
| Oligonucleotides | Sequences from 5’ to 3’ |
|---|---|
| Target | CCCTGGGCTCAACCTAGGAATCGCATTTG |
| Padlock probe | TAGGTTGAGCCCAGGG ACTTCTAGAGTGTACCGACCTCAGTAGCCGTGACTATCGACTT GTTGATGTCATGTGTCGCAC CAAATGCGATTCC |
| Detection oligonucleotide | biotin-TTTTTTTTTTTTTTTTTTTT GTTGATGTCATGTGTCGCAC- atto488 |
© 2019 by the authors. Licensee MDPI, Basel, Switzerland. This article is an open access article distributed under the terms and conditions of the Creative Commons Attribution (CC BY) license (http://creativecommons.org/licenses/by/4.0/).
Share and Cite
Sepehri, S.; Agnarsson, B.; Zardán Gómez de la Torre, T.; Schneiderman, J.F.; Blomgren, J.; Jesorka, A.; Johansson, C.; Nilsson, M.; Albert, J.; Strømme, M.; et al. Characterization of Binding of Magnetic Nanoparticles to Rolling Circle Amplification Products by Turn-On Magnetic Assay. Biosensors 2019, 9, 109. https://doi.org/10.3390/bios9030109
Sepehri S, Agnarsson B, Zardán Gómez de la Torre T, Schneiderman JF, Blomgren J, Jesorka A, Johansson C, Nilsson M, Albert J, Strømme M, et al. Characterization of Binding of Magnetic Nanoparticles to Rolling Circle Amplification Products by Turn-On Magnetic Assay. Biosensors. 2019; 9(3):109. https://doi.org/10.3390/bios9030109
Chicago/Turabian StyleSepehri, Sobhan, Björn Agnarsson, Teresa Zardán Gómez de la Torre, Justin F. Schneiderman, Jakob Blomgren, Aldo Jesorka, Christer Johansson, Mats Nilsson, Jan Albert, Maria Strømme, and et al. 2019. "Characterization of Binding of Magnetic Nanoparticles to Rolling Circle Amplification Products by Turn-On Magnetic Assay" Biosensors 9, no. 3: 109. https://doi.org/10.3390/bios9030109
APA StyleSepehri, S., Agnarsson, B., Zardán Gómez de la Torre, T., Schneiderman, J. F., Blomgren, J., Jesorka, A., Johansson, C., Nilsson, M., Albert, J., Strømme, M., Winkler, D., & Kalaboukhov, A. (2019). Characterization of Binding of Magnetic Nanoparticles to Rolling Circle Amplification Products by Turn-On Magnetic Assay. Biosensors, 9(3), 109. https://doi.org/10.3390/bios9030109

