Lactate Sensors on Flexible Substrates †
Abstract
:1. Introduction
2. Materials and Methods
2.1. Materials
2.2. Gold-Electrode Device Fabrication
2.3. IrOx-Electrode Device Fabrication
2.4. LOx Coating and Working Principle
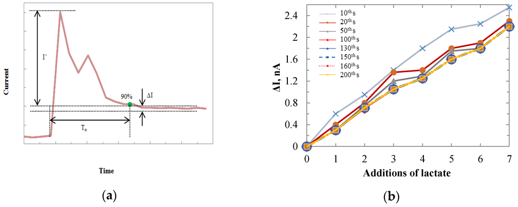
2.5. Measurement Procedures
3. Results and Discussion
3.1. Cyclic Voltammetry of Sensors and Analyte Detection
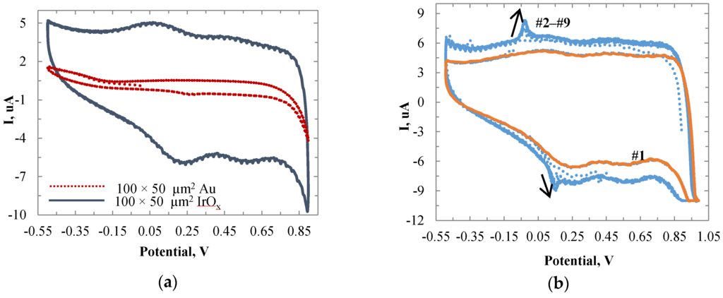
3.1.1. CV Characterization on Au Electrodes
3.1.2. CV Characterization on IrOx Electrodes
3.1.3. CV on Titration Tests
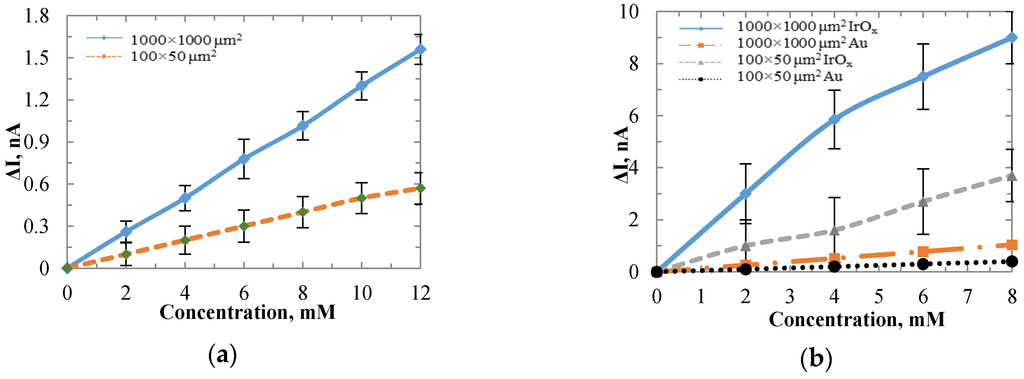
3.2. Sensitivity Tests
3.3. Selectivity Tests
3.4. Longevity Tests
3.5. Flexiblility Tests
4. Conclusions
Acknowledgments
Author Contributions
Conflicts of Interest
References
- Zanini, V.P.; Mishima, B.L.; Solís, V. An amperometric biosensor based on lactate oxidase immobilized in laponite-chitosan hydrogel on a glassy carbon electrode. Application to the analysis of l-lactate in food samples. Sens. Actuator B Chem. 2011, 155, 75–80. [Google Scholar] [CrossRef]
- Suman, S.; Singhal, R.; Sharma, A.L.; Malthotra, B.; Pundir, C. Development of a lactate biosensor based on conducting copolymer bound lactate oxidase. Sens. Actuator B Chem. 2005, 107, 768–772. [Google Scholar] [CrossRef]
- Hibi, K.; Hatanaka, K.; Takase, M.; Ren, H.; Endo, H. Wireless biosensor system for real-time L-lactic acid monitoring in fish. Sensors 2012, 12, 6269–6281. [Google Scholar] [CrossRef] [PubMed]
- Palmisano, F.; Quinto, M.; Rizzi, R.; Zambonin, P. Flow injection analysis of L-lactate in milk and yoghurt by on-line microdialysis and amperometric detection at a disposable biosensor. Analyst 2001, 126, 866–870. [Google Scholar] [CrossRef] [PubMed]
- Ishii, H.; Nishida, Y. Effect of lactate accumulation during exercise-induced muscle fatigue on the sensorimotor cortex. J. Phys. Ther. Sci. 2013, 25, 1637–2013. [Google Scholar] [CrossRef] [PubMed]
- Walenta, S.; Salameh, A.; Lyng, H.; Evensen, J.F.; Mitze, M.; Rofstad, E.K. Correlation of high lactate levels in head and neck tumors with incidence of metastasis. Am. J. Pathol. 1997, 150, 409–415. [Google Scholar] [PubMed]
- Walenta, S.; Wetterling, M.; Lehrke, M.; Schwickert, G.; Sundfør, K.; Rofstad, E.K. High lactate levels predict likelihood of metastases, tumor recurrence, and restricted patient survival in human cervical cancers. Cancer Res. 2000, 60, 916–921. [Google Scholar] [PubMed]
- Wasserman, K.; Whipp, B.J. Exercise Physiology in Health and Disease. Am. Rev. Respir. Dis. 1975, 112, 219–249. [Google Scholar] [PubMed]
- Lange, H.; Jäckel, R. Usefulness of plasma lactate concentration in the diagnosis of acute abdominal disease. Eur. J. Surg. 1993, 160, 381–384. [Google Scholar]
- Park, R. Lactic acidosis. West. J. Med. 1980, 133, 418. [Google Scholar] [PubMed]
- Pyne, D.B.; Boston, T.; Martin, D.T.; Logan, A. Evaluation of the Lactate Pro blood lactate analyser. Eur. J. Appl. Physiol. 2000, 82, 112–116. [Google Scholar] [CrossRef] [PubMed]
- Phypers, B.; Pierce, J.T. Lactate physiology in health and disease. CEACCP 2006, 6, 128–132. [Google Scholar] [CrossRef]
- Nguyen, H.B.; Rivers, E.P.; Knoblich, B.P.; Jacobsen, G.; Muzzin, A.; Ressler, J.A. Early lactate clearance is associated with improved outcome in severe sepsis and septic shock. Crit. Care Med. 2004, 32, 1637–1642. [Google Scholar] [CrossRef] [PubMed]
- Bernal, W.; Donaldson, N.; Wyncoll, D.; Wendon, J. Blood lactate as an early predictor of outcome in paracetamol-induced acute liver failure: a cohort study. Lancet 2002, 359, 558–563. [Google Scholar] [CrossRef]
- Gastrin, B.; Briem, H.; Rombo, L. Rapid diagnosis of meningitis with use of selected clinical data and gas-liquid chromatographic determination of lactate concentration in cerebrospinal fluid. J. Infect. Dis. 1979, 139, 529–533. [Google Scholar] [CrossRef] [PubMed]
- Hu, Y.; Zhang, Y.; Wilson, G.S. A needle-type enzyme-based lactate sensor for in vivo monitoring. Anal. Chim. Acta 1993, 281, 503–511. [Google Scholar] [CrossRef]
- Bakker, J.; Nijsten, M.W.; Jansen, T.C. Clinical use of lactate monitoring in critically ill patients. Ann Intensive Care 2013, 3, 12. [Google Scholar] [CrossRef] [PubMed]
- Baker, D.A.; Gough, D.A. A continuous, implantable lactate sensor. Anal. Chem. 1995, 67, 1536–1540. [Google Scholar] [CrossRef]
- Dias, A.C.B.; Silva, R.A.O.; Arruda, M.A.Z. A sequential injection system for indirect spectrophotometric determination of lactic acid in yogurt and fermented mash samples. Microchem. J. 2010, 96, 151–156. [Google Scholar] [CrossRef]
- Henry, H.; Marmy Conus, N.; Steenhout, P.; Béguin, A.; Boulat, O. Sensitive determination of d-lactic acid and l-lactic acid in urine by high-performance liquid chromatography–tandem mass spectrometry. Biomed. Chromatogr. 2012, 26, 425–428. [Google Scholar] [CrossRef] [PubMed]
- Yamasaki, F.; Kurisu, K.; Kajiwara, Y.; Watanabe, Y.; Takayasu, T.; Akiyama, Y.; Saito, T.; Hanaya, R.; Sugiyama, K. Magnetic resonance spectroscopic detection of lactate is predictive of a poor prognosis in patients with diffuse intrinsic pontine glioma. Neuro. Oncol. 2011, 13, 791–801. [Google Scholar] [CrossRef] [PubMed]
- Baker, D.; Gough, D.A. A continuous, implantable lactate sensor. Anal. Chem. 1995, 67, 1536–1540. [Google Scholar] [CrossRef]
- Schabmueller, C.G.J.; Loppow, D.; Piechotta, G.; Schütze, B.; Albers, J.; Hintsche, R. Micromachined sensor for lactate monitoring in saliva. Biosens. Bioelectron. 2006, 21, 1770–1776. [Google Scholar] [CrossRef] [PubMed]
- Burmeister, J.J.; Palmer, M.; Gerhardt, G.A. L-lactate measures in brain tissue with ceramic-based multisite microelectrodes. Biosens. Bioelectron. 2005, 20, 1772–1779. [Google Scholar] [CrossRef] [PubMed]
- Perdomo, J.; Hinkers, H.; Sundermeier, C.; Seifert, W.; Morell, O.M.; Knoll, M. Miniaturized real-time monitoring system for L-lactate and glucose using microfabricated multi-enzyme sensors. Biosens. Bioelectron. 2000, 15, 515–522. [Google Scholar] [CrossRef]
- Guiseppi-Elie, A.; Brahim, S.; Slaughter, G.; Ward, K.R. Design of a subcutaneous implantable biochip for monitoring of glucose and lactate. EEE Sens. J. 2005, 5, 345–355. [Google Scholar] [CrossRef]
- Kurita, R.; Hayashi, K.; Fan, X.; Yamamoto, K.; Kato, T.; Niwa, O. Microfluidic device integrated with pre-reactor and dual enzyme-modified microelectrodes for monitoring in vivo glucose and lactate. Sens. Actuator B Chem. 2002, 87, 296–303. [Google Scholar] [CrossRef]
- Revzin, A.F.; Sirkar, K.; Simonian, A.; Pishko, M.V. Glucose, lactate, and pyruvate biosensor arrays based on redox polymer/oxidoreductase nanocomposite thin-films deposited on photolithographically patterned gold microelectrodes. Sens. Actuator B Chem. 2002, 81, 359–368. [Google Scholar] [CrossRef]
- Weltin, A.; Kieninger, J.; Enderle, B.; Gellner, A.K.; Fritsch, B.; Urban, G.A. Polymer-based, flexible glutamate and lactate microsensors for in vivo applications. Biosens. Bioelectron. 2014, 61, 192–199. [Google Scholar] [CrossRef] [PubMed]
- Labroo, P.; Cui, Y. Flexible graphene bio-nanosensor for lactate. Biosens. Bioelectron. 2014, 41, 852–856. [Google Scholar] [CrossRef] [PubMed]
- Jia, W.; Bandodkar, A.J.; Valdés-Ramírez, G.; Windmiller, J.R.; Yang, Z.; Ramírez, J.; Chan, G.; Wang, J. Electrochemical tattoo biosensors for real-time noninvasive lactate monitoring in human perspiration. Anal. Chem. 2013, 85, 6553–6560. [Google Scholar] [CrossRef] [PubMed]
- Khodagholy, D.; Curto, V.F.; Fraser, K.J.; Gurfinkel, M.; Byrne, R.; Diamond, D.; Malliaras, G.G.; Benito-Lopez, F.; Owens, R.M. Organic electrochemical transistor incorporating an ionogel as a solid state electrolyte for lactate sensing. J. Mater. Chem. 2012, 22, 4440–4443. [Google Scholar] [CrossRef]
- Nguyen, C.M.; Mays, J.; Cao, H.; Allard, H.; Rao, S.; Chiao, J.C. A Wearable system for highly selective l-Glutamate neurotransmitter sensing. In Proceedings of the 2015 IEEE Topical Conference on Biomedical Wireless Technologies, Networks, and Sensing Systems (BioWireleSS), San Diego, CA, USA, 25–28 January 2015; pp. 1–3.
- Nguyen, C.M.; Rao, S.; Yang, X.; Dubey, S.; Mays, J.; Cao, H. Sol-Gel Deposition of Iridium Oxide for Biomedical Micro-Devices. Sensors 2015, 15, 4212–4228. [Google Scholar] [CrossRef] [PubMed]
- Cox, A.J.; Lewinski, K. Flow injection amperometric determination of hydrogen peroxide by oxidation at an iridium oxide electrode. Talanta 1993, 40, 1911–1915. [Google Scholar] [CrossRef]
- Ziaie, B.; Von Arx, J.; Najafi, K. A micro-fabricated planar high-current IrOx stimulating microelectrode. In Engineering in Medicine and Biology Society. Bridging Disciplines for Biomedicine, Proceedings of the 18th Annual International Conference of the IEEE, Amsterdam, Netherlands, 3 October 1996; pp. 270–271.
- Ziaie, B.; Gianchandani, Y.; Najafi, K. A high-current IrOx thinfilm neuromuscular microstimulator. In Proceedings of the 6th International Conference on Solid-State Sensors and Actuators, San Francisco, CA, USA, 24–28 June 1991; pp. 124–127.
- Dobson, J.V.; Snodin, P.R.; Thirsk, H.R. EMF measurements of cells employing metal–metal oxide electrodes in aqueous chloride and sulphate electrolytes at temperatures between 25–250 °C. Electrochim. Acta 1976, 21, 527–533. [Google Scholar] [CrossRef]
- Yamanaka, K. Anodically electrodeposited iridium oxide films (AEIROF) from alkaline solutions for electrochromic display devices. Jpn. J. Appl. Phys. 1989, 28, 632–637. [Google Scholar] [CrossRef]
- Hirst, N.; Hazelwood, L.; Jayne, D.; Millner, P. An amperometric lactate biosensor using H2O2 reduction via a Prussian Blue impregnated poly (ethyleneimine) surface on screen printed carbon electrodes to detect anastomotic leak and sepsis. Sens. Actuator B Chem. 2013, 186, 674–680. [Google Scholar] [CrossRef]
- Gamero, M.; Pariente, F.; Lorenzo, E.; Alonso, C. Nanostructured rough gold electrodes for the development of lactate oxidase-based biosensors. Biosens. Bioelectron. 2010, 25, 2038–2044. [Google Scholar] [CrossRef] [PubMed]
- Ziaie, B.; Arx, J.V.; Najafi, K. A micro-fabricated planar high-current IrOx stimulating microelectrode. In Proceedings of the 18th Annual International Conference of the Engineering in Medicine and Biology Society. Bridging Disciplines for Biomedicine, IEEE, Amsterdam, The Netherlands, 31 October–3 November 1996; pp. 270–271.
- Hoogvliet, J.; Dijksma, M.; Kamp, B.; Bennekom, W.V. Electrochemical pretreatment of polycrystalline gold electrodes to produce a reproducible surface roughness for self-assembly: A study in phosphate buffer pH 7.4. Anal. Chem. 2000, 72, 2016–2021. [Google Scholar] [CrossRef] [PubMed]
- Grupioni, A.A.F.; Arashiro, E.; Lassali, T.A.F. Voltammetric characterization of an iridium oxide-based system: The pseudocapacitive nature of the Ir0.3Mn0.7O2 electrode. Electrochim. Acta 2002, 48, 407–418. [Google Scholar] [CrossRef]













© 2016 by the authors; licensee MDPI, Basel, Switzerland. This article is an open access article distributed under the terms and conditions of the Creative Commons Attribution (CC-BY) license (http://creativecommons.org/licenses/by/4.0/).
Share and Cite
Yang, X.; Fu, T.; Kota, P.K.; Tjia, M.; Nguyen, C.M.; Chiao, J.-C. Lactate Sensors on Flexible Substrates. Biosensors 2016, 6, 48. https://doi.org/10.3390/bios6030048
Yang X, Fu T, Kota PK, Tjia M, Nguyen CM, Chiao J-C. Lactate Sensors on Flexible Substrates. Biosensors. 2016; 6(3):48. https://doi.org/10.3390/bios6030048
Chicago/Turabian StyleYang, Xuesong, Timothy Fu, Pavan Kumar Kota, Maggie Tjia, Cuong Manh Nguyen, and Jung-Chih Chiao. 2016. "Lactate Sensors on Flexible Substrates" Biosensors 6, no. 3: 48. https://doi.org/10.3390/bios6030048
APA StyleYang, X., Fu, T., Kota, P. K., Tjia, M., Nguyen, C. M., & Chiao, J.-C. (2016). Lactate Sensors on Flexible Substrates. Biosensors, 6(3), 48. https://doi.org/10.3390/bios6030048
