Terahertz High-Sensitivity SPR Phase Biosensor Based on the Weyl Semimetals
Abstract
1. Introduction
2. Theoretical Model and Method
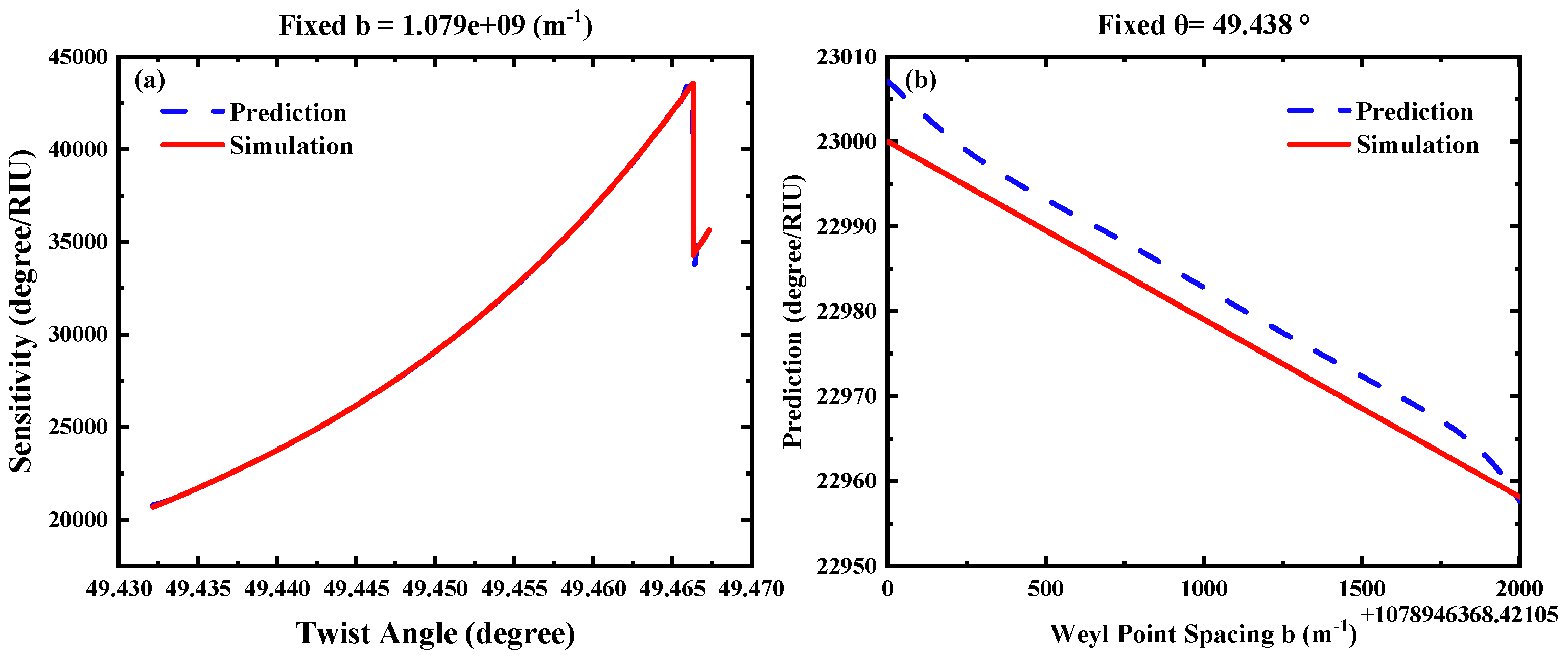
3. Results and Discussion
4. Conclusions
Author Contributions
Funding
Institutional Review Board Statement
Informed Consent Statement
Data Availability Statement
Conflicts of Interest
References
- Chen, C.; Wang, J. Optical biosensors: An exhaustive and comprehensive review. Analyst 2020, 145, 1605–1628. [Google Scholar] [CrossRef] [PubMed]
- Fan, X.; White, I.M.; Shopova, S.I.; Zhu, H.; Suter, J.D.; Sun, Y. Sensitive optical biosensors for unlabeled targets: A review. Anal. Chim. Acta. 2008, 620, 8–26. [Google Scholar] [CrossRef] [PubMed]
- Damborský, P.; Švitel, J.; Katrlík, J. Optical biosensors. Essays Biochem. 2016, 60, 91–100. [Google Scholar] [CrossRef]
- Zhao, Y.-W.; Wang, H.-X.; Jia, G.-C.; Li, Z. Application of aptamer-based biosensor for rapid detection of pathogenic Escherichia coli. Sensors 2018, 18, 2518. [Google Scholar] [CrossRef] [PubMed]
- Alafeef, M.; Moitra, P.; Pan, D. Nano-enabled sensing approaches for pathogenic bacterial detection. Biosens. Bioelectron. 2020, 165, 112276. [Google Scholar] [CrossRef]
- Peltomaa, R.; Glahn-Martínez, B.; Benito-Peña, E.; Moreno-Bondi, M.C. Optical biosensors for label-free detection of small molecules. Sensors 2018, 18, 4126. [Google Scholar] [CrossRef] [PubMed]
- Ong, J.J.; Pollard, T.D.; Goyanes, A.; Gaisford, S.; Elbadawi, M.; Basit, A.W. Optical biosensors-Illuminating the path to personalized drug dosing. Biosens. Bioelectron. 2021, 188, 113331. [Google Scholar] [CrossRef]
- Yang, J.W.; Khorsandi, D.; Trabucco, L.; Ahmed, M.; Khademhosseini, A.; Dokmeci, M.R.; Ye, J.Y.; Jucaud, V. Liver-on-a-Chip Integrated with Label-Free Optical Biosensors for Rapid and Continuous Monitoring of Drug-Induced Toxicity. Small 2024, 20, 2403560. [Google Scholar] [CrossRef] [PubMed]
- Tian, Y.; Du, L.; Zhu, P.; Chen, Y.; Chen, W.; Wu, C.; Wang, P. Recent progress in micro/nano biosensors for shellfish toxin detection. Biosens. Bioelectron. 2021, 176, 112899. [Google Scholar] [CrossRef]
- Lo, S.M.; Hu, S.; Gaur, G.; Kostoulas, Y.; Weiss, S.M.; Fauchet, P.M. Photonic crystal microring resonator for label-free biosensing. Opt. Express 2017, 25, 7046–7054. [Google Scholar] [CrossRef] [PubMed]
- Al-Jawdah, A.; Nabok, A.; Jarrah, R.; Holloway, A.; Tsargorodska, A.; Takacs, E.; Szekacs, A. Mycotoxin biosensor based on optical planar waveguide. Toxins 2018, 10, 272. [Google Scholar] [CrossRef]
- Stockman, M.I. Nanoplasmonic sensing and detection. Science 2015, 348, 287–288. [Google Scholar] [CrossRef] [PubMed]
- Jackman, J.A.; Ferhan, A.R.; Cho, N.-J. Nanoplasmonic sensors for biointerfacial science. Chem. Soc. Rev. 2017, 46, 3615–3660. [Google Scholar] [CrossRef] [PubMed]
- Ahmadivand, A.; Gerislioglu, B.; Ahuja, R.; Mishra, Y.K. Terahertz plasmonics: The rise of toroidal metadevices towards immunobiosensings. Mater. Today 2020, 32, 108–130. [Google Scholar] [CrossRef]
- Kotlarek, D.; Vorobii, M.; Ogieglo, W.; Knoll, W.; Rodriguez-Emmenegger, C.; Dostalek, J. Compact grating-coupled biosensor for the analysis of thrombin. ACS Sens. 2019, 4, 2109–2116. [Google Scholar] [CrossRef]
- Guo, X. Surface plasmon resonance based biosensor technique: A review. J. Biophotonics 2012, 5, 483–501. [Google Scholar] [CrossRef]
- Herranz, S.; Bocková, M.; Marazuela, M.D.; Homola, J.; Moreno-Bondi, M.C. An SPR biosensor for the detection of microcystins in drinking water. Anal. Bioanal. Chem. 2010, 398, 2625–2634. [Google Scholar] [CrossRef]
- Philip, A.; Kumar, A.R. The performance enhancement of surface plasmon resonance optical sensors using nanomaterials: A review. Coord. Chem. Rev. 2022, 458, 214424. [Google Scholar] [CrossRef]
- West, P.R.; Ishii, S.; Naik, G.V.; Emani, N.K.; Shalaev, V.M.; Boltasseva, A. Searching for better plasmonic materials. Laser Photonics Rev. 2010, 4, 795–808. [Google Scholar] [CrossRef]
- Noginov, M.; Gu, L.; Livenere, J.; Zhu, G.; Pradhan, A.; Mundle, R.; Bahoura, M.; Barnakov, Y.A.; Podolskiy, V. Better than gold: Plasmonic materials for telecom wavelengths. In Frontiers in Optics; Optica Publishing Group: Washington, DC, USA, 2010. [Google Scholar]
- Akib, T.B.A.; Mou, S.F.; Rahman, M.M.; Rana, M.M.; Islam, M.R.; Mehedi, I.M.; Mahmud, M.A.P.; Kouzani, A.Z. Design and numerical analysis of a graphene-coated SPR biosensor for rapid detection of the novel coronavirus. Sensors 2021, 21, 3491. [Google Scholar] [CrossRef] [PubMed]
- Nangare, S.; Patil, P. Black Phosphorus Nanostructure Based Highly Sensitive and Selective Surface Plasmon Resonance Sensor for Biological and Chemical Sensing: A Review. Crit. Rev. Anal. Chem. 2023, 53, 1–26. [Google Scholar] [CrossRef] [PubMed]
- Mousavi, S.M.; Hashemi, S.A.; Kalashgrani, M.Y.; Rahmanian, V.; Gholami, A.; Chiang, W.-H.; Lai, C.W. Biomedical applications of an ultra-sensitive surface plasmon resonance biosensor based on smart MXene quantum dots (SMQDs). Biosensors 2022, 12, 743. [Google Scholar] [CrossRef] [PubMed]
- Maharana, P.K.; Padhy, P.; Jha, R. On the field enhancement and performance of an ultra-stable SPR biosensor based on graphene. IEEE Photonics Technol. Lett. 2013, 25, 2156–2159. [Google Scholar] [CrossRef]
- Meshginqalam, B.; Barvestani, J. Performance enhancement of SPR biosensor based on phosphorene and transition metal dichalcogenides for sensing DNA hybridization. IEEE Sens. J. 2018, 18, 7537–7543. [Google Scholar] [CrossRef]
- Zeng, S.; Hu, S.; Xia, J.; Anderson, T.; Dinh, X.-Q.; Meng, X.-M.; Coquet, P.; Yong, K.-T. Graphene–MoS2 hybrid nanostructures enhanced surface plasmon resonance biosensors. Sens. Actuators B Chem. 2015, 207, 801–810. [Google Scholar] [CrossRef]
- Sun, Y.; Zhang, Y.; Felser, C.; Yan, B. Strong intrinsic spin Hall effect in the TaAs family of Weyl semimetals. Phys. Rev. Lett. 2016, 117, 146403. [Google Scholar] [CrossRef] [PubMed]
- Wen, Z.; Xu, W.; Zhang, Y.; Jiang, T.; Luo, Z. Tunable optical spatial differential operation via photonic spin Hall effect in a Weyl semimetal. Opt. Express 2024, 32, 10022–10032. [Google Scholar] [CrossRef]
- Macis, S.; D’Arco, A.; Mosesso, L.; Paolozzi, M.C.; Tofani, S.; Tomarchio, L.; Tummala, P.P.; Ghomi, S.; Stopponi, V.; Bonaventura, E.; et al. Terahertz and Infrared Plasmon Polaritons in PtTe2 Type-II Dirac Topological Semimetal. Adv Mater. 2024, 36, 2400554. [Google Scholar] [CrossRef]
- Deng, S.; Wang, P.; Yu, X. Phase-sensitive surface plasmon resonance sensors: Recent progress and future prospects. Sensors 2017, 17, 2819. [Google Scholar] [CrossRef]
- Armitage, N.P.; Mele, E.J.; Vishwanath, A. Weyl and Dirac semimetals in three-dimensional solids. Rev. Mod. Phys. 2018, 90, 015001. [Google Scholar] [CrossRef]
- Ooi, K.J.; Ang, Y.; Zhai, Q.; Tan, D.T.; Ang, L.; Ong, C. Nonlinear plasmonics of three-dimensional Dirac semimetals. Apl Photonics 2019, 4, 034402. [Google Scholar] [CrossRef]
- Pelucchi, E.; Fagas, G.; Aharonovich, I.; Englund, D.; Figueroa, E.; Gong, Q.; Hannes, H.; Liu, J.; Lu, C.-Y.; Matsuda, N. The potential and global outlook of integrated photonics for quantum technologies. Nat. Rev. Phys. 2022, 4, 194–208. [Google Scholar] [CrossRef]
- Lupi, S.; Molle, A. Emerging Dirac materials for THz plasmonics. Appl. Mater. Today 2020, 20, 100732. [Google Scholar] [CrossRef]
- Mazaheri, M.H.; Maab, H.; Rahim, A.A. Graphene Metasurface-Based Tunable Polarization Filter for Terahertz Application. In Proceedings of the 2025 2nd International Conference on Microwave, Antennas & Circuits (ICMAC), Islamabad, Pakistan, 16–17 April 2025; pp. 1–6. [Google Scholar]
- Musgraves, J.D.; Hu, J.; Calvez, L. Springer Handbook of Glass; Springer Nature: Berlin/Heidelberg, Germany, 2019. [Google Scholar]
- Melo, L.G. Theory of magnetically controlled low-terahertz surface plasmon-polariton modes in graphene–dielectric structures. J. Opt. Soc. Am. B 2015, 32, 2467–2477. [Google Scholar] [CrossRef]
- Frka-Petesic, B.; Parton, T.G.; Honorato-Rios, C.; Narkevicius, A.; Ballu, K.; Shen, Q.; Lu, Z.; Ogawa, Y.; Haataja, J.S.; Droguet, B.E.; et al. Structural color from cellulose nanocrystals or chitin nanocrystals: Self-assembly, optics, and applications. Chem. Rev. 2023, 123, 12595–12756. [Google Scholar] [CrossRef] [PubMed]
- Passler, N.C.; Paarmann, A. Generalized 4 × 4 matrix formalism for light propagation in anisotropic stratified media: Study of surface phonon polaritons in polar dielectric heterostructures. J. Opt. Soc. Am. B 2017, 34, 2128–2139. [Google Scholar] [CrossRef]
- Mayerhöfer, T.G.; Pahlow, S.; Popp, J. The Bouguer-Beer-Lambert law: Shining light on the obscure. ChemPhysChem 2020, 21, 2029–2046. [Google Scholar] [CrossRef]
- Wang, Y.; Liu, E.; Liu, H.; Pan, Y.; Zhang, L.; Zeng, J.; Fu, Y.; Wang, M.; Xu, K.; Huang, Z. Gate-tunable negative longitudinal magnetoresistance in the predicted type-II Weyl semimetal WTe2. Nat. Commun. 2016, 7, 13142. [Google Scholar] [CrossRef] [PubMed]
- Liu, D.; Tan, Y.; Khoram, E.; Yu, Z. Training deep neural networks for the inverse design of nanophotonic structures. Acs Photonics 2018, 5, 1365–1369. [Google Scholar] [CrossRef]






| Case | () | () | () | θ () |
|---|---|---|---|---|
Disclaimer/Publisher’s Note: The statements, opinions and data contained in all publications are solely those of the individual author(s) and contributor(s) and not of MDPI and/or the editor(s). MDPI and/or the editor(s) disclaim responsibility for any injury to people or property resulting from any ideas, methods, instructions or products referred to in the content. |
© 2025 by the authors. Licensee MDPI, Basel, Switzerland. This article is an open access article distributed under the terms and conditions of the Creative Commons Attribution (CC BY) license (https://creativecommons.org/licenses/by/4.0/).
Share and Cite
Xie, Y.; Shen, Z.; Ren, M.; Zhang, M.; Guo, M.; Jiang, L. Terahertz High-Sensitivity SPR Phase Biosensor Based on the Weyl Semimetals. Biosensors 2025, 15, 606. https://doi.org/10.3390/bios15090606
Xie Y, Shen Z, Ren M, Zhang M, Guo M, Jiang L. Terahertz High-Sensitivity SPR Phase Biosensor Based on the Weyl Semimetals. Biosensors. 2025; 15(9):606. https://doi.org/10.3390/bios15090606
Chicago/Turabian StyleXie, Yu, Zean Shen, Mengjiao Ren, Mingming Zhang, Mingwei Guo, and Leyong Jiang. 2025. "Terahertz High-Sensitivity SPR Phase Biosensor Based on the Weyl Semimetals" Biosensors 15, no. 9: 606. https://doi.org/10.3390/bios15090606
APA StyleXie, Y., Shen, Z., Ren, M., Zhang, M., Guo, M., & Jiang, L. (2025). Terahertz High-Sensitivity SPR Phase Biosensor Based on the Weyl Semimetals. Biosensors, 15(9), 606. https://doi.org/10.3390/bios15090606

