Design of an MIP-Based Electrochemical Sensor for the Determination of Paracetamol in Pharmaceutical Samples
Abstract
1. Introduction
2. Materials and Methods
2.1. Reagents
2.2. Instrumentation and Electrochemical Techniques
2.3. Formation of the Reduced Graphene Oxide Dispersion
2.4. Preparation of the MIP-Based Electrochemical Sensor
2.5. Sample Preparation
3. Results and Discussion
3.1. Surface Characterization of MIP/rGO/GCE Sensor
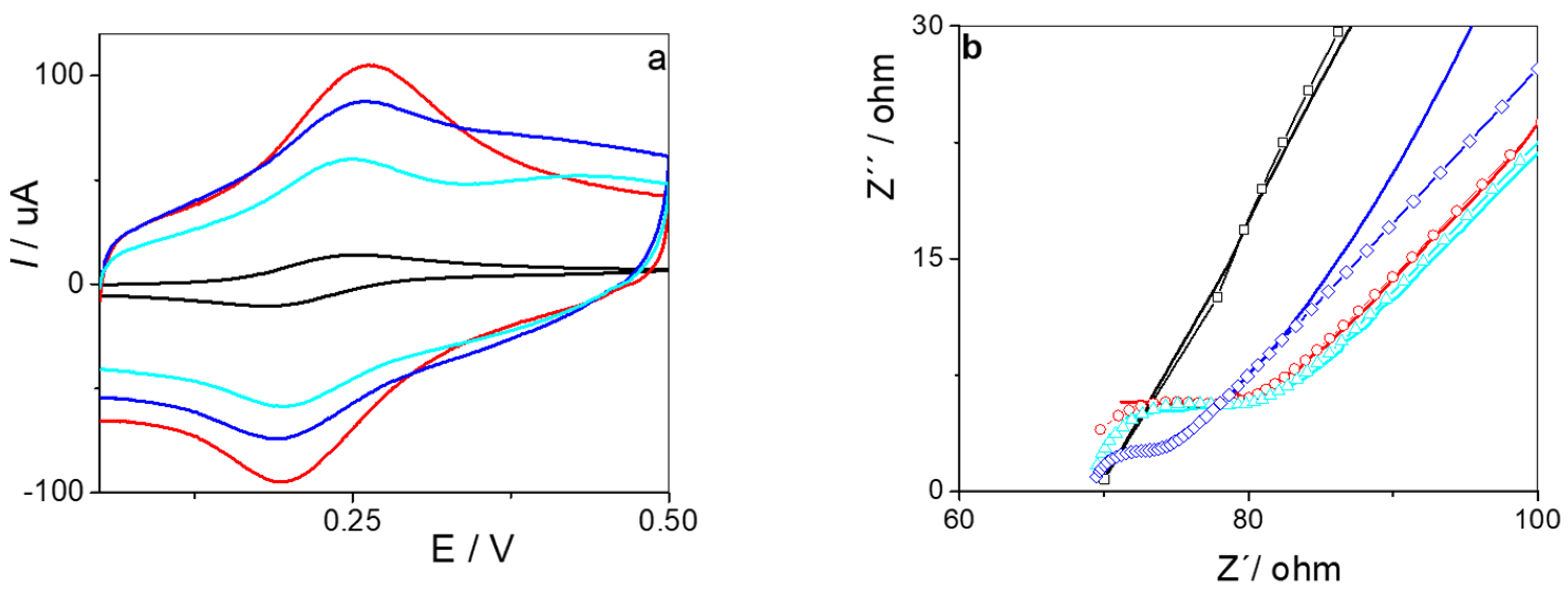
3.2. Electrochemical Characterization of MIP/rGO/GCE Sensor
3.3. Optimization of Significant Parameters in the Construction of MIP/rGO/GCE
3.3.1. Determination of the Monomer-to-Template Ratio
3.3.2. Effect of Number of Cycles of Polymerization
3.3.3. Optimization of Removal Conditions of the Template
3.3.4. Determination of the Incubation Time
3.4. Application of MIP/rGO/GCE for the Determination of PAR
3.5. Repeatability, Reproducibility, Stability, and Reusability Tests
3.6. Quantification of PAR in Pharmaceutical Samples
4. Conclusions
Author Contributions
Funding
Institutional Review Board Statement
Informed Consent Statement
Data Availability Statement
Acknowledgments
Conflicts of Interest
References
- Gomes, N.O.; Raymundo-Pereira, P.A. On-Site Therapeutic Drug Monitoring of Paracetamol Analgesic in Non-Invasively Collected Saliva for Personalized Medicine. Small 2023, 19, 2206753. [Google Scholar] [CrossRef]
- Stoytcheva, M.; Velkova, Z.; Gochev, V.; Valdez, B.; Curiel, M. Advances in electrochemical sensors for paracetamol detection: Electrode materials, modifications, and analytical applications. Int. J. Electrochem. Sci. 2025, 20, 100924. [Google Scholar] [CrossRef]
- Suchacz, B.; Wesolowski, M. Voltammetric quantitation of acetaminophen in tablets using solid graphite electrodes. Anal. Methods 2016, 8, 3307–3315. [Google Scholar] [CrossRef]
- Rosireddy, V.; Krishnan, M. A sustainable RP-HPLC method for simultaneously estimating aceclofenac, paracetamol, and serratiopeptidase with AQbD optimization. Green Anal. Chem. 2024, 11, 100171. [Google Scholar] [CrossRef]
- Belal, T.; Awad, T.; Clark, C.R. Determination of paracetamol and tramadol hydrochloride in pharmaceutical mixture using HPLC and GC-MS. J. Chromatogr. Sci. 2009, 47, 849–854. [Google Scholar] [CrossRef]
- Borisagar, S.L.; Jayswal, U.P.; Patel, H.U.; Patel, C.N. A validated high-performance thin layer chromatography method for estimation of lornoxicam and paracetamol in their combined tablet dosage form. Pharm. Methods 2011, 2, 83–87. [Google Scholar] [CrossRef]
- Chao, Y.J.; Xie, L.X.; Cao, W. Chemiluminescence Enhancement Effect for the Determination of Acetaminophen with the Catalysis of Manganese Deuteroporphyrin (Mn(III)DP). Key Eng. Mater. 2014, 575–576, 249–252. [Google Scholar] [CrossRef]
- Tyszczuk-Rotko, K.; Bęczkowska, I.; Wójciak-Kosior, M.; Sowa, I. Simultaneous voltammetric determination of paracetamol and ascorbic acid using a boron-doped diamond electrode modified with Nafion and lead films. Talanta 2014, 129, 384–391. [Google Scholar] [CrossRef] [PubMed]
- Gopal, T.V.; Reddy, T.M.; Venkataprasad, G.; Shaikshavalli, P.; Gopal, P. Rapid and sensitive electrochemical monitoring of paracetamol and its simultaneous resolution in presence of epinephrine and tyrosine at GO/poly(Val) composite modified carbon paste electrode. Colloids Surf. A Physicochem. Eng. Asp. 2018, 545, 117–126. [Google Scholar] [CrossRef]
- Kam, R.K.; Chan, M.H.; Wong, H.T.; Ghose, A.; Dondorp, A.M.; Plewes, K.; Tarning, J. Quantitation of paracetamol by liquid chromatography-mass spectrometry in human plasma in support of clinical trial. Future Sci. OA 2018, 4, Fso331. [Google Scholar] [CrossRef] [PubMed]
- Zanfrognini, B.; Pigani, L.; Zanardi, C. Recent advances in the direct electrochemical detection of drugs of abuse. J. Solid State Electrochem. 2020, 24, 2603–2616. [Google Scholar] [CrossRef]
- Cabas Rodriguez, J.A.; Bonetto, A.; Alaniz, R.D.; Zón, M.A.; Pierini, G.D.; Coneo Rodriguez, R.; Planes, G.; Fernández, H.; Arévalo, F.J.; Granero, A.M. Electrochemical sensor based on a glassy carbon electrode modified with a 3D carbon nanoporous composite for the detection of paracetamol in pharmaceutical samples. J. Electroanal. Chem. 2024, 973, 118689. [Google Scholar] [CrossRef]
- Bitew, Z.; Amare, M. Recent reports on electrochemical determination of selected antibiotics in pharmaceutical formulations: A mini review. Electrochem. Commun. 2020, 121, 106863. [Google Scholar] [CrossRef]
- Fernández, H.; Zon, M.A.; Maccio, S.A.; Alaníz, R.D.; Di Tocco, A.; Carrillo Palomino, R.A.; Cabas Rodríguez, J.A.; Granero, A.M.; Arévalo, F.J.; Robledo, S.N.; et al. Multivariate Optimization of Electrochemical Biosensors for the Determination of Compounds Related to Food Safety—A Review. Biosensors 2023, 13, 694. [Google Scholar] [CrossRef] [PubMed]
- Geleta, G.S. Recent advances in electrochemical sensors based on molecularly imprinted polymers and nanomaterials for detection of ascorbic acid, dopamine, and uric acid: A review. Sens. Bio-Sens. Res. 2024, 43, 100610. [Google Scholar] [CrossRef]
- Khasim, S.; Almutairi, H.; Albalawavi, S.; Alanazi, A.; Alshamrani, O.; Hamdalla, T.; Panneerselvam, C.; Al-Ghamdi, S. Graphitic Carbon Nitride Decorated with Iron Oxide Nanoparticles as a Novel High-Performance Biomimetic Electrochemical Sensing Platform for Paracetamol Detection. J. Inorg. Organomet. Polym. Mater. 2022, 32, 3170–3180. [Google Scholar] [CrossRef]
- Birhanu, D.; Tesfaye, A.; Kassa, A.; Tigineh, G.T.; Benor, A.; Abebe, A. Selective and simultaneous electrochemical detection of amoxicillin and paracetamol in pharmaceuticals and serum using a mixed-ligand poly(Co(II)-phenanthroline, diresorcinate) modified electrode. Sens. Bio-Sens. Res. 2025, 47, 100746. [Google Scholar] [CrossRef]
- Weheabby, S.; Wu, Z.; Al-Hamry, A.; Pašti, I.A.; Anurag, A.; Dentel, D.; Tegenkamp, C.; Kanoun, O. Paracetamol detection in environmental and pharmaceutical samples using multi-walled carbon nanotubes decorated with silver nanoparticles. Microchem. J. 2023, 193, 109192. [Google Scholar] [CrossRef]
- Burç, M.; Köytepe, S.; Duran, S.T.; Ayhan, N.; Aksoy, B.; Seçkin, T. Development of voltammetric sensor based on polyimide-MWCNT composite membrane for rapid and highly sensitive detection of paracetamol. Measurement 2020, 151, 107103. [Google Scholar] [CrossRef]
- Dinu, A.; Apetrei, C. Determination of Ascorbic Acid in Pharmaceuticals and Food Supplements with the New Potassium Ferrocyanide-Doped Polypyrrole-Modified Platinum Electrode Sensor. Chemosensors 2022, 10, 180. [Google Scholar] [CrossRef]
- da Cunha, C.E.P.; Rodrigues, E.S.B.; Fernandes Alecrim, M.; Thomaz, D.V.; Macêdo, I.Y.L.; Garcia, L.F.; de Oliveira Neto, J.R.; Moreno, E.K.G.; Ballaminut, N.; de Souza Gil, E. Voltammetric Evaluation of Diclofenac Tablets Samples through Carbon Black-Based Electrodes. Pharmaceuticals 2019, 12, 83. [Google Scholar] [CrossRef]
- Prete, M.C.; da Rocha, L.R.; Segatelli, M.G.; Medeiros, R.A.; Swain, G.M.; Tarley, C.R.T. Electrochemical determination of ibuprofen by batch-injection analysis using a boron-doped ultrananocrystalline diamond electrode. Electroanalysis 2024, 37, e202400121. [Google Scholar] [CrossRef]
- Karthika, P.; Shanmuganathan, S.; Subramanian, V.; Delerue-Matos, C. Selective detection of salivary cortisol using screen-printed electrode coated with molecularly imprinted polymer. Talanta 2024, 272, 125823. [Google Scholar] [CrossRef] [PubMed]
- Panicker, L.R.; Joy, A.; Anusree, P.R.; Kadian, S.; Narayan, R.; Padmesh, A.; Kotagiri, Y.G. Molecular imprinted polymer based microneedle-strip electrochemical sensor for label-free dopamine monitoring: Advancing neurological disorder Diagnostics. Chem. Eng. J. 2025, 516, 163870. [Google Scholar] [CrossRef]
- Li, Y.; Lin, H.; Peng, H.; Qi, R.; Luo, C. A glassy carbon electrode modified with MoS2 nanosheets and poly(3,4-ethylenedioxythiophene) for simultaneous electrochemical detection of ascorbic acid, dopamine and uric acid. Microchim. Acta 2016, 183, 2517–2523. [Google Scholar] [CrossRef]
- Hu, B.; Peng, L.; Liang, P.; Li, X.; Cai, M.; Liu, B.; Jia, Y.; Jing, Y.; Li, Z.; Sun, S. Advances in molecularly imprinted polymers-based electrochemical sensors for the detection of gonadal steroid hormones. TrAC Trends Anal. Chem. 2024, 171, 117485. [Google Scholar] [CrossRef]
- Yang, L.; Zhang, B.; Xu, B.; Zhao, F.; Zeng, B. Ionic liquid functionalized 3D graphene-carbon nanotubes‒AuPd nanoparticles‒molecularly imprinted copolymer based paracetamol electrochemical sensor: Preparation, characterization and application. Talanta 2021, 224, 121845. [Google Scholar] [CrossRef]
- Alanazi, K.; Garcia-Cruz, A.; Di Masi, S.; Voorhaar, A.; Sheej Ahmad, O.; Cowen, T.; Piletska, E.; Langford, N.; Coats, T.; Sims, M.; et al. Disposable paracetamol sensor based on electroactive molecularly imprinted polymer nanoparticles for plasma monitoring. Sens. Actuators B Chem. 2020, 329, 129128. [Google Scholar] [CrossRef]
- Gao, N.; Pan, J.; Wang, L.; Cai, Z.; Chang, G.; Wu, Y.; He, Y. Novel graphene electrochemical transistors incorporating zirconia inorganic molecular imprinted layer: Design, construction and application for highly sensitive and selective detection of acetaminophen. Anal. Chim. Acta 2023, 1269, 341405. [Google Scholar] [CrossRef] [PubMed]
- Ren, S.; Cui, W.; Liu, Y.; Cheng, S.; Wang, Q.; Feng, R.; Zheng, Z. Molecularly imprinted sensor based on 1T/2H MoS2 and MWCNTs for voltammetric detection of acetaminophen. Sens. Actuators A Phys. 2022, 345, 113772. [Google Scholar] [CrossRef]
- Su, C.; Li, Z.; Zhang, D.; Wang, Z.; Zhou, X.; Liao, L.; Xiao, X. A highly sensitive sensor based on a computer-designed magnetic molecularly imprinted membrane for the determination of acetaminophen. Biosens. Bioelectron. 2020, 148, 111819. [Google Scholar] [CrossRef] [PubMed]
- Sun, Y.; He, J.; Waterhouse, G.I.N.; Xu, L.; Zhang, H.; Qiao, X.; Xu, Z. A selective molecularly imprinted electrochemical sensor with GO@COF signal amplification for the simultaneous determination of sulfadiazine and acetaminophen. Sens. Actuators B Chem. 2019, 300, 126993. [Google Scholar] [CrossRef]
- Rosario, W.; Chauhan, N.; Jain, U. Impact of molecularly imprinted polymers on graphene oxide-coated screen-printed electrodes for selective immune-sensing of gastric cancer-causing bacteria Helicobacter pylori. Talanta Open 2025, 12, 100489. [Google Scholar]
- Bagheri, A.R.; Arabi, M.; Ghaedi, M.; Ostovan, A.; Wang, X.; Li, J.; Chen, L. Dummy molecularly imprinted polymers based on a green synthesis strategy for magnetic solid-phase extraction of acrylamide in food samples. Talanta 2019, 195, 390–400. [Google Scholar] [CrossRef]
- BelBruno, J.J. Molecularly Imprinted Polymers. Chem. Rev. 2019, 119, 94–119. [Google Scholar] [CrossRef]
- Pan, Y.; Shan, D.; Ding, L.-L.; Yang, X.-D.; Xu, K.; Huang, H.; Wang, J.-F.; Ren, H.-Q. Developing a generally applicable electrochemical sensor for detecting macrolides in water with thiophene-based molecularly imprinted polymers. Water Res. 2021, 205, 117670. [Google Scholar] [CrossRef]
- Xing, Y.; Xu, H.; Zhang, M.; Cheng, F. Developing an applicable electrochemical micro-sensor for highly specific detecting chlortetracycline in water with o-phenylenediamine-based molecularly imprinted polymer. Microchem. J. 2025, 213, 113846. [Google Scholar] [CrossRef]
- Shao, Y.; Kang, M.; Feng, H.; Hao, C.; Rong, X.; Zhao, H.; Ma, W.; Peng, W.; Li, Y. Molecularly Imprinted Electrochemical Sensor Based on Magnetic Mesoporous Nanocarriers for Sensitive Detection of Tetrabromobisphenol A. ACS Appl. Nano Mater. 2025, 8, 11786–11799. [Google Scholar] [CrossRef]
- Elshafey, R.; Abo–Sobehy, G.F.; Radi, A.E. A sensitive molecularly imprinted poly(o-aminophenol)-based electrochemical sensor for propiconazole in food samples using reduced graphene oxide- chitosan composite. Microchem. J. 2025, 212, 113255. [Google Scholar] [CrossRef]
- Crapnell, R.D.; Hudson, A.; Foster, C.W.; Eersels, K.; Grinsven, B.V.; Cleij, T.J.; Banks, C.E.; Peeters, M. Recent Advances in Electrosynthesized Molecularly Imprinted Polymer Sensing Platforms for Bioanalyte Detection. Sensors 2019, 19, 1204. [Google Scholar] [CrossRef]
- Herrera-Chacón, A.; Cetó, X.; del Valle, M. Molecularly imprinted polymers—towards electrochemical sensors and electronic tongues. Anal. Bioanal. Chem. 2021, 413, 6117–6140. [Google Scholar] [CrossRef] [PubMed]
- You, M.; Yang, S.; Tang, W.; Zhang, F.; He, P. Molecularly imprinted polymers-based electrochemical DNA biosensor for the determination of BRCA-1 amplified by SiO2@Ag. Biosens. Bioelectron. 2018, 112, 72–78. [Google Scholar] [CrossRef] [PubMed]
- Regasa, M.B.; Soreta, T.R.; Femi, O.E.; Ramamurthy, P.C.; Subbiahraj, S. Novel multifunctional molecular recognition elements based on molecularly imprinted poly (aniline-co-itaconic acid) composite thin film for melamine electrochemical detection. Sens. Bio-Sens. Res. 2020, 27, 100318. [Google Scholar] [CrossRef]
- Kamel, A.H.; Abd-Rabboh, H.S.M.; Hefnawy, A. Molecularly imprinted polymer-based electrochemical sensors for monitoring the persistent organic pollutants chlorophenols. RSC Adv. 2024, 14, 20163–20181. [Google Scholar] [CrossRef]
- Rao, H.; Zhao, X.; Liu, X.; Zhong, J.; Zhang, Z.; Zou, P.; Jiang, Y.; Wang, X.; Wang, Y. A novel molecularly imprinted electrochemical sensor based on graphene quantum dots coated on hollow nickel nanospheres with high sensitivity and selectivity for the rapid determination of bisphenol S. Biosens. Bioelectron. 2018, 100, 341–347. [Google Scholar] [CrossRef]
- Pandey, H.; Khare, P.; Singh, S.; Singh, S.P. Carbon nanomaterials integrated molecularly imprinted polymers for biological sample analysis: A critical review. Mater. Chem. Phys. 2020, 239, 121966. [Google Scholar] [CrossRef]
- Athira, M.; Lekshmi, G.S.; Rajeev, M.R.; Anirudhan, T.S. Zinc oxide and chitosan incorporated graphene oxide based molecular imprinted electrochemical sensor for L-Carnitine. J. Environ. Chem. Eng. 2025, 13, 116239. [Google Scholar] [CrossRef]
- Aparna, S.M.; Rakhi, R.B. A non-enzymatic electrochemical sensor based on zinc oxide/reduced graphene oxide (ZnO/rGO) nanocomposite for effective detection of urea. Mater. Sci. Eng. B 2025, 312, 117862. [Google Scholar] [CrossRef]
- Nagaralli, B.S.; Seetharamappa, J.; Gowda, B.G.; Melwanki, M.B. Liquid chromatographic determination of ceterizine hydrochloride and paracetamol in human plasma and pharmaceutical formulations. J. Chromatogr. B 2003, 798, 49–54. [Google Scholar] [CrossRef]
- Marcano, D.C.; Kosynkin, D.V.; Berlin, J.M.; Sinitskii, A.; Sun, Z.; Slesarev, A.; Alemany, L.B.; Lu, W.; Tour, J.M. Improved Synthesis of Graphene Oxide. ACS Nano 2010, 4, 4806–4814. [Google Scholar] [CrossRef] [PubMed]
- Lopez, J.C.; Zon, M.A.; Fernández, H.; Granero, A.M. Development of an enzymatic biosensor to determine eugenol in dental samples. Talanta 2020, 210, 120647. [Google Scholar] [CrossRef] [PubMed]
- Bard, A.J.; Faulkner, L.R.; White, H.S. Electrochemical Methods: Fundamentals and Applications; John Wiley & Sons: Hoboken, NJ, USA, 2022. [Google Scholar]
- Miller, J.N.; Miller, J.C.; Jiménez, C.M.; Hornillos, R.I. Estadística y Quimiometría Para Química Analítica; Pearson Educación: London, UK, 2002. [Google Scholar]
- Zamolo, V.A.; Valenti, G.; Venturelli, E.; Chaloin, O.; Marcaccio, M.; Boscolo, S.; Castagnola, V.; Sosa, S.; Berti, F.; Fontanive, G.; et al. Highly sensitive electrochemiluminiscent nanobiosensor for the detection of palitoxyn. ACS Nano 2012, 6, 7889–7897. [Google Scholar] [CrossRef] [PubMed]
- Asman, S.; Athirah Mohd Idris, A.; Pandian Sambasevam, K. Molecularly imprinted polymer based on deep eutectic solvent as functional monomer for paracetamol adsorption. J. Mol. Liq. 2024, 408, 125365. [Google Scholar] [CrossRef]
- Olivieri, C.; Goicoechea, H. La Calibración en Química Analítica; Ediciones UNL: Santa Fe, Argentina, 2007. [Google Scholar]











| Sample | Reported by the Manufacturer mg PAR/Sample | Detection Method | Recovery % | |
|---|---|---|---|---|
| HPLC | MIP/rGO/GCE | MIP/rGO/GCE | ||
| M1 | 1000 | 1015 | 1000 | 100 |
| M2 | 500 | 572 | 466 | 93 |
| M3 | 650 | 640 | 656 | 101 |
| M4 | 503 | 526 | 502 | 100 |
| Platform | Linear Range (µmol/L) | LOD (µmol/L) | Reusability | Stability (Days) | Reference |
|---|---|---|---|---|---|
| MIP(PCz-co-PPy)/ AuPd/GN-CNTs-IL | 0.10−10 | 0.05 | n.r. * | 30 | [27] |
| NanoMIPs/SPCE | 100−1000 | 70 | n.r. | 180 | [28] |
| ZrO2-MIP-Au/rGO | 0.01−10; 10−400 | 0.01 | 13 uses | 40 | [29] |
| MIP/MoS2/CNTs/GCE | 0.01−300 | 0.003 | n.r. | 15 | [30] |
| MMIP/MCPE | 0.06−50; 50−200 | 0.0173 | n.r. | 30 | [31] |
| MIP/GO@COF/GCE | 0.05−20 | 0.032 | n.r. | 30 | [32] |
| MIP/rGO/GCE | 0.03−0.2 | 0.010 | 20 uses | 15 | This work |
Disclaimer/Publisher’s Note: The statements, opinions and data contained in all publications are solely those of the individual author(s) and contributor(s) and not of MDPI and/or the editor(s). MDPI and/or the editor(s) disclaim responsibility for any injury to people or property resulting from any ideas, methods, instructions or products referred to in the content. |
© 2025 by the authors. Licensee MDPI, Basel, Switzerland. This article is an open access article distributed under the terms and conditions of the Creative Commons Attribution (CC BY) license (https://creativecommons.org/licenses/by/4.0/).
Share and Cite
Rodríguez, J.A.C.; Arévalo, F.J.; Granero, A.M. Design of an MIP-Based Electrochemical Sensor for the Determination of Paracetamol in Pharmaceutical Samples. Biosensors 2025, 15, 544. https://doi.org/10.3390/bios15080544
Rodríguez JAC, Arévalo FJ, Granero AM. Design of an MIP-Based Electrochemical Sensor for the Determination of Paracetamol in Pharmaceutical Samples. Biosensors. 2025; 15(8):544. https://doi.org/10.3390/bios15080544
Chicago/Turabian StyleRodríguez, José Alberto Cabas, Fernando Javier Arévalo, and Adrian Marcelo Granero. 2025. "Design of an MIP-Based Electrochemical Sensor for the Determination of Paracetamol in Pharmaceutical Samples" Biosensors 15, no. 8: 544. https://doi.org/10.3390/bios15080544
APA StyleRodríguez, J. A. C., Arévalo, F. J., & Granero, A. M. (2025). Design of an MIP-Based Electrochemical Sensor for the Determination of Paracetamol in Pharmaceutical Samples. Biosensors, 15(8), 544. https://doi.org/10.3390/bios15080544
