Electrical Conductivity Measurement in Human Liver Tissue: Assessment on Normal vs. Tumor Tissue and under In Vivo vs. Ex Vivo Conditions
Abstract
1. Introduction
2. Materials and Methods
2.1. Human Subjects
2.2. Electrical Bioimpedance Measurement
2.3. Measurement Procedure
2.4. Electrical Conductivity Analysis
2.5. Statistical Analyses
3. Results
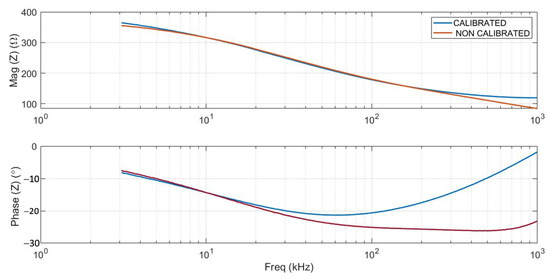
3.1. Impedance Calibration and Calculation
3.2. Conductivity Measured in Normal and Tumor Tissue (In Vivo and Ex Vivo)
3.3. Electrical Conductivity Ratio
3.4. Differences between Normal Tissue Conductivity and Cirrhosis In Vivo and Ex Vivo
3.5. Tissue Conductivity Based on Tumor Type and Status
3.6. Supplementary Information on Case-by-Case Conductivity at a Frequency 1 MHz
4. Discussion
5. Conclusions
Author Contributions
Funding
Institutional Review Board Statement
Informed Consent Statement
Data Availability Statement
Conflicts of Interest
Abbreviations
| HCC | Hepatocellular carcinoma |
| CCA | Cholangiocarcinoma |
| RF | Radiofrequency ablation |
| IRE | Irreversible electroporation |
| MET | Metastasis |
| Nex | Ex vivo normal tissue |
| Tex | Ex vivo tumor tissue |
| Nin | In vivo normal tissue |
| Tin | In vivo tumor tissue |
References
- Engstrand, J.; Nilsson, H.; Strömberg, C.; Jonas, E.; Freedman, J. Colorectal cancer liver metastases-a population-based study on incidence, management and survival. BMC Cancer 2018, 18, 78. [Google Scholar] [CrossRef] [PubMed]
- Aquina, C.T.; Eskander, M.F.; Pawlik, T.M. Liver-directed treatment options following liver tumor recurrence: A review of the literature. Front. Oncol. 2022, 12, 832405. [Google Scholar] [CrossRef]
- Herrero, A.; Toubert, C.; Bedoya, J.U.; Assenat, E.; Guiu, B.; Panaro, F.; Bardol, T.; Cassese, G. Management of hepatocellular carcinoma recurrence after liver surgery and thermal ablations: State of the art and future perspectives. Hepatobiliary Surg. Nutr. 2024, 13, 71–88. [Google Scholar] [CrossRef] [PubMed]
- Narayanan, G.; Koethe, Y.; Gentile, N. Irreversible Electroporation of the Hepatobiliary System: Current Utilization and Future Avenues. Medicina 2024, 60, 251. [Google Scholar] [CrossRef] [PubMed]
- Mak, N.L.; Ng, W.H.; Lau, E.V.; Pamidi, N.; Foo, J.J.; Ooi, E.T.; Ali, A.F.M. Enlarging the thermal coagulation volume during thermochemical ablation with alternating acid-base injection by shortening the injection interval: A computational study. Comput. Methods Programs Biomed. 2024, 243, 107866. [Google Scholar] [CrossRef] [PubMed]
- Fang, Z.; Mao, H.; Moser, M.A.J.; Zhang, W.; Qian, Z.; Zhang, B. Irreversible Electroporation Enhanced by Radiofrequency Ablation: An In Vitro and Computational Study in a 3D Liver Tumor Model. Ann. Biomed. Eng. 2021, 49, 2126–2138. [Google Scholar] [CrossRef] [PubMed]
- Gupta, D.; Lammersfeld, C.A.; Burrows, J.L.; Dahlk, S.L.; Vashi, P.G.; Grutsch, J.F.; Hoffman, S.; Lis, C.G. Bioelectrical impedance phase angle in clinical practice: Implications for prognosis in advanced colorectal cancer. Am. J. Clin. Nutr. 2004, 80, 1634–1638. [Google Scholar] [CrossRef] [PubMed]
- Lochab, V.; Jones, T.H.; Alkandry, E.; West, J.D.; Abdel-Rahman, M.H.; Subramaniam, V.V.; Prakash, S. Evaluation of electrical properties of ex vivo human hepatic tissue with metastatic colorectal cancer. Physiol. Meas. 2020, 41, 085005. [Google Scholar] [CrossRef]
- Wang, L.; Wang, H.; Xu, C.; Ji, Z.; Li, J.; Dong, X.; Shi, X. Dielectric Properties of Human Active Liver, Kidney and Spleen Compared to Those of Respective Inactive Tissues, Porcine Tissues and the Data Provided by a Database in the Frequency Range of 10 Hz to 100 MHz. IEEE Trans. Biomed. Eng. 2021, 68, 3098–3109. [Google Scholar] [CrossRef]
- Gabriel, C.; Gabriel, S.; Corthout, E. The dielectric properties of biological tissues: I. Literature survey. Phys. Med. Biol. 1996, 41, 2231–2249. [Google Scholar] [CrossRef]
- Castellví, Q.; Sánchez-Velázquez, P.; Berjano, E.; Burdío, F.; Ivorra, A. Selective Electroporation of Liver Tumor Nodules by Means of Hypersaline Infusion: A Feasibility Study. In Proceedings of the 6th European Conference of the International Federation for Medical and Biological Engineering: MBEC 2014, Dubrovnik, Croatia, 7–11 September 2014; Springer: Cham, Switzerland, 2015; pp. 821–824. [Google Scholar]
- Castellví, Q.; Sánchez-Velázquez, P.; Moll, X.; Berjano, E.; Andaluz, A.; Burdío, F.; Bijnens, B.; Ivorra, A. Modeling liver electrical conductivity during hypertonic injection. Int. J. Numer. Methods Biomed. Eng. 2018, 34, e2904. [Google Scholar] [CrossRef] [PubMed]
- Pañella, C.; Castellví, Q.; Moll, X.; Quesada, R.; Villanueva, A.; Iglesias, M.; Naranjo, D.; Sánchez-Velázquez, P.; Andaluz, A.; Grande, L.; et al. Focused Transhepatic Electroporation Mediated by Hypersaline Infusion through the Portal Vein in Rat Model. Preliminary Results on Differential Conductivity. Radiol. Oncol. 2017, 51, 415–421. [Google Scholar] [CrossRef] [PubMed][Green Version]
- Halonen, S.; Ovissi, A.; Boyd, S.; Kari, J.; Kronström, K.; Kosunen, J.; Laurén, H.; Numminen, K.; Sievänen, H.; Hyttinen, J. Human in vivo liver and tumor bioimpedance measured with biopsy needle. Physiol. Meas. 2022, 43, 015006. [Google Scholar] [CrossRef]
- Haemmerich, D.; Schutt, D.J.; Wright, A.S.; Webster, J.G.; Mahvi, D.M. Electrical conductivity measurement of excised human metastatic liver tumours before and after thermal ablation. Physiol. Meas. 2009, 30, 459–466. [Google Scholar] [CrossRef] [PubMed]
- O’rourke, A.P.; Lazebnik, M.; Bertram, J.M.; Converse, M.C.; Hagness, S.C.; Webster, J.G.; Mahvi, D.M. Dielectric properties of human normal, malignant and cirrhotic liver tissue: In vivo and ex vivo measurements from 0.5 to 20 GHz using a precision open-ended coaxial probe. Phys. Med. Biol. 2007, 52, 4707–4719. [Google Scholar] [CrossRef] [PubMed]
- Liu, Y.; Matsui, O. Changes of intratumoral microvessels and blood perfusion during establishment of hepatic metastases in mice. Radiology 2007, 243, 386–395. [Google Scholar] [CrossRef] [PubMed]
- Dezsó, K.; Bugyik, E.; Papp, V.; László, V.; Döme, B.; Tóvári, J.; Tímár, J.; Nagy, P.; Paku, S. Development of arterial blood supply in experimental liver metastases. Am. J. Pathol. 2009, 175, 835–843. [Google Scholar] [CrossRef] [PubMed]
- Breedis, C.; Young, G. The blood supply of neoplasms in the liver. Am. J. Pathol. 1954, 30, 969–977. [Google Scholar]
- Kitao, A.; Zen, Y.; Matsui, O.; Gabata, T.; Nakanuma, Y. Hepatocarcinogenesis: Multistep changes of drainage vessels at CT during arterial portography and hepatic arteriography--radiologic-pathologic correlation. Radiology 2009, 252, 605–614. [Google Scholar] [CrossRef]
- Sarreshtehdari, A.; Burdio, F.; López-Alonso, B.; Lucía, Ó.; Burdio, J.M.; Villamonte, M.; Andaluz, A.; García-Arnas, F.; Berjano, E.; Moll, X. Preliminary evaluation of the safety and efficacy of glucose solution infusion through the hepatic artery on irreversible electroporation focusing. Sci. Rep. 2023, 13, 7120. [Google Scholar] [CrossRef]
- Tatli, S.; Tapan, U.; Morrison, P.R.; Silverman, S.G. Radiofrequency ablation: Technique and clinical applications. Diagn. Interv. Radiol. 2012, 18, 508–516. [Google Scholar] [CrossRef] [PubMed]
- Goldberg, S. Radiofrequency tumor ablation: Principles and techniques. Eur. J. Ultrasound 2001, 13, 129–147. [Google Scholar] [CrossRef] [PubMed]
- Miklavčič, D.; Serša, G.; Brecelj, E.; Gehl, J.; Soden, D.; Bianchi, G.; Ruggieri, P.; Rossi, C.R.; Campana, L.G.; Jarm, T. Electrochemotherapy: Technological advancements for efficient electroporation-based treatment of internal tumors. Med. Biol. Eng. Comput. 2012, 50, 1213–1225. [Google Scholar] [CrossRef] [PubMed]
- Marčan, M.; Kos, B.; Miklavčič, D. Effect of blood vessel segmentation on the outcome of electroporation-based treatments of liver tumors. PLoS ONE 2015, 10, e0125591. [Google Scholar] [CrossRef]
- Arano-Martinez, J.A.; Martínez-González, C.L.; Salazar, M.I.; Torres-Torres, C. A Framework for Biosensors Assisted by Multiphoton Effects and Machine Learning. Biosensors 2022, 12, 710. [Google Scholar] [CrossRef] [PubMed] [PubMed Central]
- Peyman, A. Dielectric properties of tissues; variation with age and their relevance in exposure of children to electromagnetic fields; state of knowledge. Prog. Biophys. Mol. Biol. 2011, 107, 434–438. [Google Scholar] [CrossRef] [PubMed]
- Laufer, S.; Ivorra, A.; E Reuter, V.; Rubinsky, B.; Solomon, S.B. Electrical impedance characterization of normal and cancerous human hepatic tissue. Physiol. Meas. 2010, 31, 995–1009. [Google Scholar] [CrossRef] [PubMed]
- Luchies, A.C.; Oelze, M.L. Using two-dimensional impedance maps to study weak scattering in sparse random media. J. Acoust. Soc. Am. 2016, 139, 1557–1564. [Google Scholar] [CrossRef] [PubMed]
- Gabriel, S.; Lau, R.W.; Gabriel, C. The dielectric properties of biological tissues: II. Measurements in the frequency range 10 Hz to 20 GHz. Phys. Med. Biol. 1996, 41, 2251–2269. [Google Scholar] [CrossRef] [PubMed]
- Gabriel, C.; Peyman, A.; Grant, E.H. Electrical conductivity of tissue at frequencies below 1 MHz. Phys. Med. Biol. 2009, 54, 4863–4878. [Google Scholar] [CrossRef]
- Miklavčič, D.; Pavšelj, N.; Hart, F.X. Electric Properties of Tissues. In Wiley Encyclopedia of Biomedical Engineering; John Wiley & Sons, Inc.: Hoboken, NJ, USA, 2006; ISBN 9780471249672. [Google Scholar] [CrossRef]
- Ramos, A.; Bertemes-Filho, P. Numerical sensitivity modeling for the detection of skin tumors by using tetrapolar probe. Electromagn. Biol. Med. 2011, 30, 235–245. [Google Scholar] [CrossRef] [PubMed]
- Veil, C.; Bach, R.; Somers, P.; Sawodny, O.; Tarin, C. Geometry Factor Determination for Tetrapolar Impedance Sensor Probes. In Proceedings of the 2021 43rd Annual International Conference of the IEEE Engineering in Medicine & Biology Society (EMBC), Virtual, Mexico, 1–5 November 2021; pp. 6800–6805. [Google Scholar] [CrossRef]
- Haemmerich, D.; Chachati, L.; Wright, A.; Mahvi, D.; Lee, F.; Webster, J. Hepatic radiofrequency ablation with internally cooled probes: Effect of coolant temperature on lesion size. IEEE Trans. Biomed. Eng. 2003, 50, 493–500. [Google Scholar] [CrossRef] [PubMed]





| Tissue Type | Frequency (kHz) | Mean ± SD (S/m) |
| In vivo normal (n = 15) | 3 | 0.13 ± 0.06 |
| 30 | 0.17 ± 0.06 | |
| 300 | 0.30 ± 0.12 | |
| 607 | 0.39 ± 0.11 | |
| 1000 | 0.49 ± 0.10 | |
| Ex vivo normal (n = 16) | 3 | 012 ± 0.07 |
| 30 | 0.16 ± 0.09 | |
| 300 | 0.26 ± 0.10 | |
| 607 | 0.34 ± 0.10 | |
| 1000 | 0.38 ± 0.08 | |
| In vivo tumor (n = 16) | 3 | 0.41 ± 0.10 |
| 30 | 0.45 ± 0.1 | |
| 300 | 0.57 ± 0.12 | |
| 607 | 0.69 ± 0.22 | |
| 1000 | 0.78 ± 0.24 | |
| Ex vivo tumor (n = 3) | 3 | 0.27 ± 0.09 |
| 30 | 0.30 ± 0.09 | |
| 300 | 0.38 ± 0.08 | |
| 607 | 0.45 ± 0.11 | |
| 1000 | 0.54 ± 0.14 | |
| In vivo cirrhotic (n = 3) | 3 | 0.09 ± 0.01 |
| 30 | 0.11 ± 0.02 | |
| 300 | 0.22 ± 0.02 | |
| 607 | 0.31 ± 0.009 | |
| 1000 | 041 ± 0.01 | |
| Ex vivo cirrhotic (n = 3) | 3 | 0.16 ± 0.01 |
| 30 | 0.18 ± 0.02 | |
| 300 | 0.29 ± 0.05 | |
| 607 | 0.35 ± 0.07 | |
| 1000 | 0.40 ± 0.08 |
| Frequency (kHz) | Ratio | |||||
|---|---|---|---|---|---|---|
| Tin/Nin a | Tin/Tex b | Tex/Nin c | Tin/Cin d | Tex/Cin e | Nin/Cin f | |
| Mean | Mean | Mean | Mean | Mean | Mean | |
| 3 | 3.2 | 1.5 | 2.1 | 4.4 | 3.0 | 1.4 |
| 30 | 2.7 | 1.5 | 1.8 | 3.8 | 2.6 | 1.4 |
| 300 | 1.9 | 1.5 | 1.2 | 2.5 | 1.7 | 1.3 |
| 607 | 1.8 | 1.5 | 1.1 | 2.2 | 1.5 | 1.3 |
| 1000 | 1.6 | 1.4 | 1.1 | 1.9 | 1.3 | 1.2 |
| Frequency (kHz) | Tissue Type | n | Mean ± SD |
|---|---|---|---|
| 3 | CCA | 2 | 0.35 |
| HCC | 5 | 0.42 ± 0.13 | |
| Metastasis | 6 | 0.41 ± 0.08 | |
| 30 | CCA | 2 | 0.38 |
| HCC | 5 | 0.47 ± 0.15 | |
| Metastasis | 5 | 0.44 ± 0.08 | |
| 300 | CCA | 2 | 0.53 |
| HCC | 5 | 0.60 ± 0.17 | |
| Metastasis | 5 | 0.52 ± 0.04 | |
| 607 | CCA | 1 | 0.70 |
| HCC | 5 | 0.80 ± 0.30 | |
| Metastasis | 4 | 0.58 ± 0.10 | |
| 1000 | CCA | 1 | 0.89 |
| HCC | 5 | 0.88 ± 0.31 | |
| Metastasis | 5 | 0.67 ± 0.14 |
| Frequency (kHz) | Tissue Type | n | Mean ± SD |
|---|---|---|---|
| 3 | CCA | 1 | 0.28 |
| HCC | 6 | 0.23 ± 0.09 | |
| Metastasis | 6 | 0.33 ± 0.07 | |
| 30 | CCA | 2 | 0.30 |
| HCC | 6 | 0.25 ± 0.10 | |
| Metastasis | 6 | 0.36 ± 0.06 | |
| 300 | CCA | 2 | 0.43 |
| HCC | 6 | 0.34 ± 0.11 | |
| Metastasis | 5 | 0.42 ± 0.03 | |
| 607 | CCA | 2 | 0.58 |
| HCC | 6 | 0.41 ± 0.14 | |
| Metastasis | 4 | 0.51 ± 0.01 | |
| 1000 | CCA | 2 | 0.73 |
| HCC | 6 | 0.48 ± 0.17 | |
| Metastasis | 6 | 0.60 ± 0.02 |
| Patient’s Number | Disease | Tumor Size (mm) | Conductivity (S/m) | ||||
|---|---|---|---|---|---|---|---|
| Cirrhotic Tissue | In Vivo Normal | Ex Vivo Normal | In Vivo Tumor | Ex Vivo Tumor | |||
| 1 | CCA | 88 × 76 × 70 | No | 0.71 | 0.37 | 0.9 | 0.73 |
| 2 | HCC | 67 × 50 × 45 | No | 0.43 | 0.54 | 0.78 | |
| 3 | MET | 8 × 6 × 6 | No | 0.43 | 0.5 | ||
| 4 | HCC | 27 × 20 × 16 | Yes | 0.43 | 0.50 | 0.8 | 0.45 |
| 5 | HCC | 43 × 33 × 21 | No | 0.43 | 0.27 | ||
| 6 | HCC | 19 × 19 | No | 0.43 | 0.74 | ||
| 7 | MET | 35 × 25 × 31 | No | 0.43 | 0.31 | 1.1 | 0.63 |
| 8 | MET | 40 × 24 × 37 | No | 0.43 | 0.67 | 0.8 | 0.62 |
| 9 | HCC | 23 × 17 × 15 | Yes | 0.43 | 0.41 | 0.7 | |
| 10 | MET | 24 × 20 × 26 | No | 043 | 0.29 | 0.6 | 0.62 |
| 11 | HCC | 24 × 22 × 19 | No | ||||
| 12 | HCC | 33 × 25 × 22 | Yes | 0.40 | 0.32 | 0.5 | 0.28 |
| 13 | MET | 22 × 16 × 13 | No | 0.41 | 0.35 | 0.8 | 0.61 |
| 14 | MET | 26 (Diameter) | No | 0.56 | 0.38 | 0.7 | 0.44 |
| 15 | HCC | 85 × 80 × 65 | No | 0.60 | 0.47 | 1.1 | 0.54 |
| 16 | HCC | 10 × 7 × 6 | No | 0.52 | 0.42 | 0.9 | 0.34 |
| 17 | HCC | 57 × 48 × 48 | No | 0.72 | 0.44 | 1.4 | 0.52 |
| 18 | MET | 34 × 32 × 24 | No | 0.45 | 0.35 | 0.7 | 0.56 |
| 19 | HCC | 10 × 1 × 1 | No | 0.47 | 0.04 | 0.9 | 0.44 |
Disclaimer/Publisher’s Note: The statements, opinions and data contained in all publications are solely those of the individual author(s) and contributor(s) and not of MDPI and/or the editor(s). MDPI and/or the editor(s) disclaim responsibility for any injury to people or property resulting from any ideas, methods, instructions or products referred to in the content. |
© 2024 by the authors. Licensee MDPI, Basel, Switzerland. This article is an open access article distributed under the terms and conditions of the Creative Commons Attribution (CC BY) license (https://creativecommons.org/licenses/by/4.0/).
Share and Cite
Sarreshtehdari, A.; García-Sánchez, T.; Sánchez-Velázquez, P.; Ielpo, B.; Berjano, E.; Villamonte, M.; Moll, X.; Burdio, F. Electrical Conductivity Measurement in Human Liver Tissue: Assessment on Normal vs. Tumor Tissue and under In Vivo vs. Ex Vivo Conditions. Biosensors 2024, 14, 382. https://doi.org/10.3390/bios14080382
Sarreshtehdari A, García-Sánchez T, Sánchez-Velázquez P, Ielpo B, Berjano E, Villamonte M, Moll X, Burdio F. Electrical Conductivity Measurement in Human Liver Tissue: Assessment on Normal vs. Tumor Tissue and under In Vivo vs. Ex Vivo Conditions. Biosensors. 2024; 14(8):382. https://doi.org/10.3390/bios14080382
Chicago/Turabian StyleSarreshtehdari, Amirhossein, Tomás García-Sánchez, Patricia Sánchez-Velázquez, Benedetto Ielpo, Enrique Berjano, María Villamonte, Xavier Moll, and Fernando Burdio. 2024. "Electrical Conductivity Measurement in Human Liver Tissue: Assessment on Normal vs. Tumor Tissue and under In Vivo vs. Ex Vivo Conditions" Biosensors 14, no. 8: 382. https://doi.org/10.3390/bios14080382
APA StyleSarreshtehdari, A., García-Sánchez, T., Sánchez-Velázquez, P., Ielpo, B., Berjano, E., Villamonte, M., Moll, X., & Burdio, F. (2024). Electrical Conductivity Measurement in Human Liver Tissue: Assessment on Normal vs. Tumor Tissue and under In Vivo vs. Ex Vivo Conditions. Biosensors, 14(8), 382. https://doi.org/10.3390/bios14080382

