Quartz Crystal Microbalance Technology Coupled with Impedance for the Dynamic Monitoring of the Cardiomyocyte Beating Function and Drug Screening
Abstract
1. Introduction
2. Apparatus and Reagents
2.1. Animals
2.2. Main Reagents and Drugs
2.3. Main Instruments and Equipment
3. Methods
3.1. Teflon Cell Cleaning
3.2. Gold Electrode Pretreatment
3.3. Isolation and Extraction of the Primary Cardiomyocytes from Suckling Rats
3.4. Electrical Impedance Sensing (EIS) Technology Coupled with the Quartz Crystal Microbalance (QCM) Technology for Monitoring the Adhesion and Pulsation of Rat Primary Cardiomyocytes
3.4.1. Screening of the Optimal Culture Conditions for the EIS Technique
- Optimization of the cell density
- 2.
- Optimal modification scheme
- 3.
- Optimal electrode thickness
3.4.2. Monitoring the Beating of the Rat Primary Cardiomyocytes Using EIS, in Combination with the QCM
3.5. Data Processing and Analysis
4. Results and Analysis
4.1. Optimization of the Cell Density for the Screening
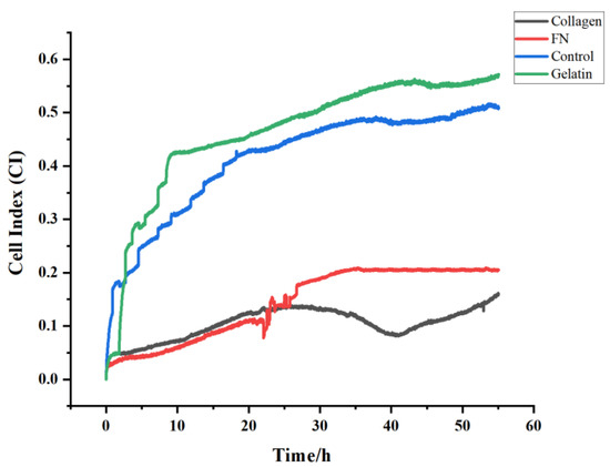
4.2. Selection of the Optimal Modification Options
4.3. Optimization of the Gold Electrode Thickness
4.4. Monitoring the Pulsation of the Primary Cardiomyocytes and the Drug Toxicity in Rat Cardiomyocytesm Using the Combination of EIS and QCM Methods
4.4.1. Monitoring the Cardiomyocyte Pulsation
4.4.2. Evaluation of the Drug Toxicity, Using the Combination of EIS and the QCM
5. Discussion
Supplementary Materials
Author Contributions
Funding
Institutional Review Board Statement
Informed Consent Statement
Data Availability Statement
Acknowledgments
Conflicts of Interest
References
- Ferdinandy, P.; Baczkó, I.; Bencsik, P.; Giricz, Z.; Görbe, A.; Pacher, P.; Varga, Z.V.; Varró, A.; Schulz, R. Definition of hidden drug cardiotoxicity: Paradigm change in cardiac safety testing and its clinical implications. Eur. Heart J. 2019, 40, 1771–1777. [Google Scholar] [CrossRef] [PubMed]
- Mamoshina, P.; Rodriguez, B.; Bueno-Orovio, A. Toward a broader view of mechanisms of drug cardiotoxicity. Cell Rep. Med. 2021, 2, 100216. [Google Scholar] [CrossRef] [PubMed]
- Van Norman, G.A. Drugs and devices: Comparison of European and U.S. approval processes. JACC Basic Transl. Sci. 2016, 1, 399–412. [Google Scholar] [CrossRef]
- Lam, C.K.; Wu, J.C. Clinical trial in a dish: Using patient-derived induced pluripotent stem cells to identify risks of drug-induced cardiotoxicity. Arterioscler. Thromb. Vasc. Biol. 2021, 41, 1019–1031. [Google Scholar] [CrossRef]
- Kaeberlein, M.; Rabinovitch, P.S.; Martin, G.M. Healthy aging: The ultimate preventative medicine. Science 2015, 350, 1191–1193. [Google Scholar] [CrossRef]
- Wang, T. Multi-Parameter Cardiomyocyte-Based Biosensors and Their Applications in Pharmaceutical Cardiac Action and Toxicity Analysis. Ph.D. Thesis, Zhejiang University, Hangzhou, China, 2015. (In Chinese). [Google Scholar]
- Wang, S.; Wang, X.; Jin, K.; Hui, T.; Ma, J. Evaluation of antiarrhythmic drugs using a real-time cell analysis system to monitor the growth and pulsation of primary mammary rat cardiomyocytes. Chin. J. Pharmacol. Toxicol. 2014, 28, 837–843. (In Chinese) [Google Scholar]
- Liu, Q.; Cai, H.; Xu, Y.; Li, Y.; Li, R.; Wang, P. Beating cardiac cell-based biosensor and its application in drugs screening. J. Zhejiang Univ. (Eng. Ed.) 2007, 41, 742–745. (In Chinese) [Google Scholar]
- Sun, S.X.; Walcott, S.; Wolgemuth, C.W. Cytoskeletal cross-linking and bundling in motor-independent contraction. Curr. Biol. 2010, 20, R649–R654. [Google Scholar] [CrossRef]
- Lim, H.J.; Saha, T.; Tey, B.T.; Tan, W.S.; Ooi, C.W. Quartz crystal microbalance-based biosensors as rapid diagnostic devices for infectious diseases. Biosens. Bioelectron. 2020, 168, 112513. [Google Scholar] [CrossRef]
- Vashist, S.K.; Vashist, P. Recent advances in quartz crystal microbalance-based sensors. J. Sens. 2011, 2011, 571405. [Google Scholar] [CrossRef]
- Zhou, T.; Zhou, Z.; Zhou, S.; Huang, F. Real-time monitoring of contractile properties of H9C2 cardiomyoblasts by using a quartz crystal microbalance. Anal. Methods 2016, 8, 488–495. [Google Scholar] [CrossRef]
- Pax, M.; Rieger, J.; Eibl, R.H.; Thielemann, C.; Johannsmann, D. Measurements of fast fluctuations of viscoelastic properties with the quartz crystal microbalance. Analyst 2005, 130, 1474–1477. [Google Scholar] [CrossRef] [PubMed]
- Tymchenko, N.; Kunze, A.; Dahlenborg, K.; Svedhem, S.; Steel, D. Acoustical sensing of cardiomyocyte cluster beating. Biochem. Biophys. Res. Commun. 2013, 435, 520–525. [Google Scholar] [CrossRef] [PubMed]
- Kunze, A.; Steel, D.; Dahlenborg, K.; Sartipy, P.; Svedhem, S. Non-invasive acoustical sensing of drug-induced effects on the contractile machinery of human cardiomyocyte clusters. PLoS ONE 2015, 10, e0125540. [Google Scholar] [CrossRef] [PubMed]
- Wang, X.; Wang, L.; Dou, W.; Huang, Z.; Zhao, Q.; Malhi, M.; Maynes, J.T.; Sun, Y. Electrical impedance-based contractile stress measurement of human iPSC-Cardiomyocytes. Biosens. Bioelectron. 2020, 166, 112399. [Google Scholar] [CrossRef]
- Karaman, O.; Özcan, N.; Karaman, C.; Yola, B.B.; Atar, N.; Yola, M.L. Electrochemical cardiac troponin I immunosensor based on nitrogen and boron-doped graphene quantum dots electrode platform and Ce-doped SnO2/SnS2 signal amplification. Mater. Today Chem. 2022, 23, 100666. [Google Scholar] [CrossRef]
- Lebourgeois, S.; Fraisse, A.; Hennechart-Collette, C.; Guillier, L.; Perelle, S.; Martin-Latil, S. Development of a real-time cell analysis (RTCA) method as a fast and accurate method for detecting infectious particles of the adapted strain of hepatitis A virus. Front. Cell. Infect. Microbiol. 2018, 8, 335. [Google Scholar] [CrossRef]
- Li, H. Multi-Functional Cardiomyocyte-Based Biosensor Systems and Their Applications in Pharmaceutical Analysis and Biotoxin Detection. Ph.D. Thesis, Zhejiang University, Hangzhou, China, 2018. (In Chinese). [Google Scholar]
- Wang, T.; Li, H.; Su, K.; Zou, L.; Hu, N.; Wang, P. Cellular Multiphysiological Parameter Analysis System Based on Electrical Cell-Substrate Impedance Sensor. J. Sens. Technol. 2014, 27, 1589–1595. (In Chinese) [Google Scholar]
- Nichtova, Z.; Novotova, M.; Kralova, E.; Stankovicova, T. Morphological and functional characteristics of models of experimental myocardial injury induced by isoproterenol. Gen. Physiol. Biophys. 2012, 31, 141–151. [Google Scholar] [CrossRef]
- Morishige, S.; Takahashi-Yanaga, F.; Ishikane, S.; Arioka, M.; Igawa, K.; Kuroo, A.; Tomooka, K.; Shiose, A.; Sasaguri, T. 2,5-Dimethylcelecoxib prevents isoprenaline-induced cardiomyocyte hypertrophy and cardiac fibroblast activation by inhibiting Akt-mediated GSK-3 phosphorylation. Biochem. Pharmacol. 2019, 168, 82–90. [Google Scholar] [CrossRef]
- Arai, R.; Fukamachi, D.; Monden, M.; Akutsu, N.; Murata, N.; Okumura, Y. Bradycardia shock caused by the combined use of carteolol eye drops and verapamil in an elderly patient with atrial fibrillation and chronic kidney disease. Intern. Med. 2021, 60, 79–83. [Google Scholar] [CrossRef]
- Li, S.; Liu, H.; Li, Y.; Qin, X.; Li, M.; Shang, J.; Xing, W.; Gong, Y.; Liu, W.; Zhou, M. Shen-Yuan-Dan capsule attenuates verapamil-induced zebrafish heart failure and exerts antiapoptotic and anti-inflammatory effects via reactive oxygen species–induced NF-κB pathway. Front. Pharmacol. 2021, 12, 626515. [Google Scholar] [CrossRef] [PubMed]
- Yang, L.; Li, Y.; Griffis, C.L.; GJohnson, M. Interdigitated microelectrode (IME) impedance sensor for the detection of viable Salmonella typhimurium. Biosens. Bioelectron. 2004, 19, 1139–1147. [Google Scholar] [CrossRef] [PubMed]
- Al-Ani, A.; Boden, A.; Al Kobaisi, M.; Pingle, H.; Wang, P.Y.; Kingshott, P. The influence of PEG-thiol derivatives on controlling cellular and bacterial interactions with gold surfaces. Appl. Surf. Sci. 2018, 462, 980–990. [Google Scholar] [CrossRef]
- Angeline, N.; Suhito, I.R.; Kim, C.H.; Hong, G.P.; Park, C.G.; Bhang, S.H.; Luo, Z.; Kim, T.H. A fibronectin-coated gold nanostructure composite for electrochemical detection of effects of curcumin-carrying nanoliposomes on human stomach cancer cells. Analyst 2020, 145, 675–684. [Google Scholar] [CrossRef] [PubMed]
- Sobiepanek, A.; Baran, J.; Milner-Krawczyk, M.; Kobiela, T. Different types of surface modification used for improving the adhesion and interactions of skin cells. Open Access J. Biomed. Sci. 2020, 2, 275–278. [Google Scholar] [CrossRef]
- Jing, W.; Hunt, A.; Tao, N.; Zhang, F.; Wang, S. Simultaneous quantification of protein binding kinetics in whole cells with surface plasmon resonance imaging and edge deformation tracking. Membranes 2020, 10, 247. [Google Scholar] [CrossRef]
- Mozneb, M.; Mirza, A.M.; Li, C.Z. Non-invasive plasmonic-based real-time characterization of cardiac drugs on cardiomyocytes functional behavior. Anal. Chem. 2019, 92, 2244–2250. [Google Scholar] [CrossRef]
- Koivisto, J.T.; Gering, C.; Karvinen, J.; Cherian, R.M.; Belay, B.; Hyttinen, J.; Aalto-Setälä, K.; Kellomäki, M.; Parraga, J. Mechanically biomimetic gelatin–gellan gum hydrogels for 3D culture of beating human cardiomyocytes. ACS Appl. Mater. Interfaces 2019, 11, 20589–20602. [Google Scholar] [CrossRef]
- Xiang, C. Electrochemical-Quartz Crystal Electro-Acoustic Impedance Analysis Coupling Method and Its Preliminary Application. Master’s Thesis, Hunan Normal University, Changsha, China, 2003. (In Chinese). [Google Scholar]









Disclaimer/Publisher’s Note: The statements, opinions and data contained in all publications are solely those of the individual author(s) and contributor(s) and not of MDPI and/or the editor(s). MDPI and/or the editor(s) disclaim responsibility for any injury to people or property resulting from any ideas, methods, instructions or products referred to in the content. |
© 2023 by the authors. Licensee MDPI, Basel, Switzerland. This article is an open access article distributed under the terms and conditions of the Creative Commons Attribution (CC BY) license (https://creativecommons.org/licenses/by/4.0/).
Share and Cite
Zhou, Z.; Zhang, X.; Zhou, T.; Huang, F.; Chen, J. Quartz Crystal Microbalance Technology Coupled with Impedance for the Dynamic Monitoring of the Cardiomyocyte Beating Function and Drug Screening. Biosensors 2023, 13, 198. https://doi.org/10.3390/bios13020198
Zhou Z, Zhang X, Zhou T, Huang F, Chen J. Quartz Crystal Microbalance Technology Coupled with Impedance for the Dynamic Monitoring of the Cardiomyocyte Beating Function and Drug Screening. Biosensors. 2023; 13(2):198. https://doi.org/10.3390/bios13020198
Chicago/Turabian StyleZhou, Zhen, Xiaoyu Zhang, Tiean Zhou, Fushen Huang, and Jinjun Chen. 2023. "Quartz Crystal Microbalance Technology Coupled with Impedance for the Dynamic Monitoring of the Cardiomyocyte Beating Function and Drug Screening" Biosensors 13, no. 2: 198. https://doi.org/10.3390/bios13020198
APA StyleZhou, Z., Zhang, X., Zhou, T., Huang, F., & Chen, J. (2023). Quartz Crystal Microbalance Technology Coupled with Impedance for the Dynamic Monitoring of the Cardiomyocyte Beating Function and Drug Screening. Biosensors, 13(2), 198. https://doi.org/10.3390/bios13020198

