Multifrequency Microwave Radiometry for Characterizing the Internal Temperature of Biological Tissues
Abstract
1. Introduction
2. Multifrequency Pseudo-Correlation Radiometer
2.1. Operation Frequencies
2.2. Receiver Design
2.3. Receiver Calibration
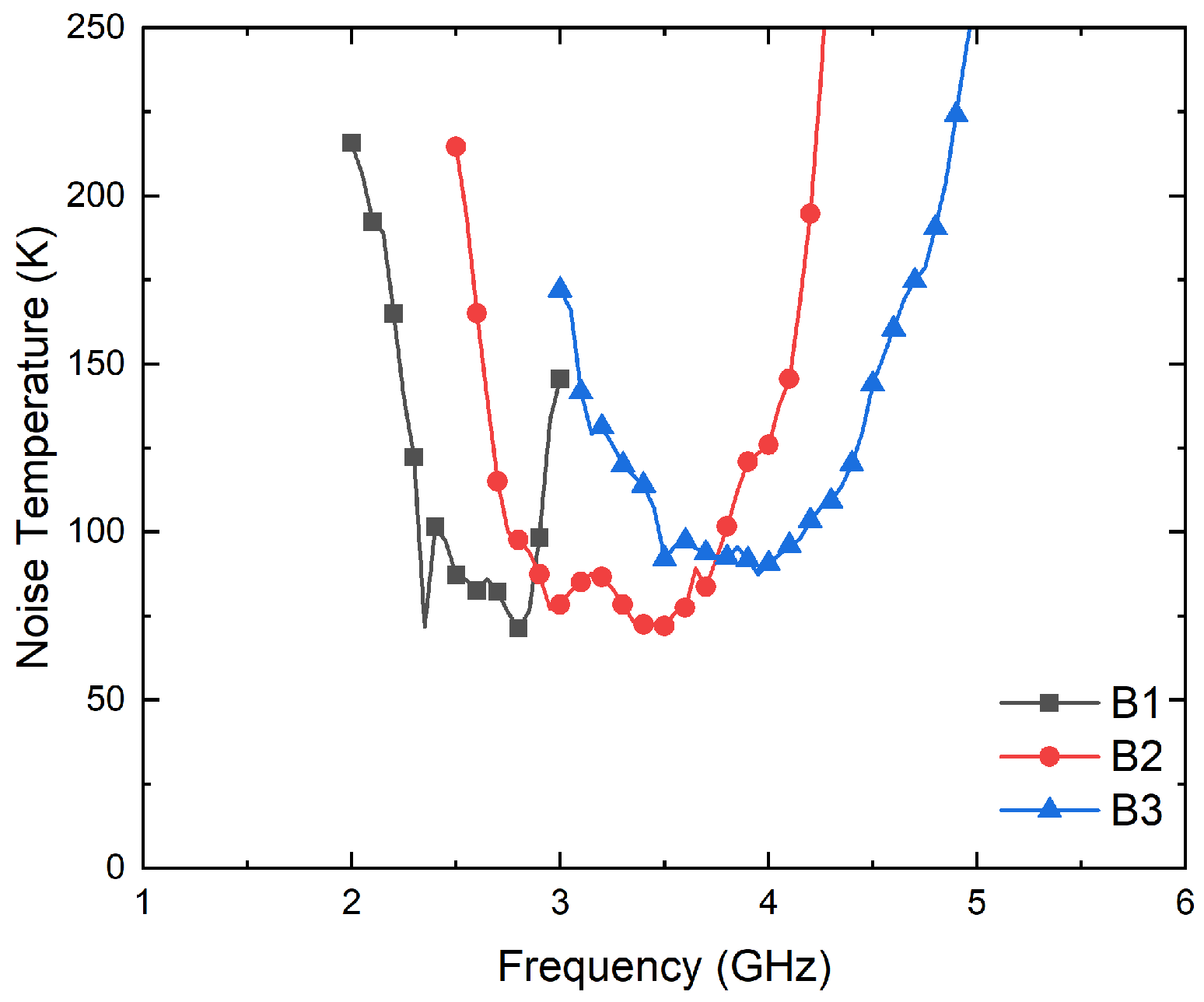
3. Results
3.1. Microwave Chain
3.2. Diode Detector
3.3. NC520 Noise Source
3.4. Calibration Parameters Extraction
3.5. Temperature Retrieval
3.5.1. 50 Load
3.5.2. Noise Source 346C
3.5.3. Test over Biological Tissues
4. Discussion
5. Conclusions
Author Contributions
Funding
Institutional Review Board Statement
Informed Consent Statement
Data Availability Statement
Acknowledgments
Conflicts of Interest
References
- Webber, J.C.; Pospieszalski, M.W. Microwave instrumentation for radio astronomy. IEEE Trans. Microw. Theory Tech. 2002, 50, 986–995. [Google Scholar] [CrossRef]
- Chen, Y.; Xu, T.; Zhao, B.; Li, T.; Wang, D. X-ray and infrared image fusion in security field. In Proceedings of the 2019 IEEE International Conference of Intelligent Applied Systems on Engineering (ICIASE), Fuzhou, China, 26–29 April 2019; pp. 16–19. [Google Scholar]
- Jones, B.F. A reappraisal of the use of infrared thermal image analysis in medicine. IEEE Trans. Med. Imaging 1998, 17, 1019–1027. [Google Scholar] [CrossRef] [PubMed]
- Momenroodaki, P.; Haines, W.; Fromandi, M.; Popovic, Z. Noninvasive internal body temperature tracking with near-field microwave radiometry. IEEE Trans. Microw. Theory Tech. 2018, 66, 2535–2545. [Google Scholar] [CrossRef]
- Kräuchi, K.; Cajochen, C.; Werth, E.; Wirz-Justice, A. Functional link between distal vasodilation and sleep-onset latency? Am. J. Physiol.-Regul. Integr. Comp. Physiol. 2000, 278, R741–R748. [Google Scholar] [CrossRef] [PubMed]
- Eshraghi, Y.; Nasr, V.; Parra-Sanchez, I.; Van Duren, A.; Botham, M.; Santoscoy, T.; Sessler, D.I. An evaluation of a zero-heat-flux cutaneous thermometer in cardiac surgical patients. Anesth. Analg. 2014, 119, 543–549. [Google Scholar] [CrossRef] [PubMed]
- Galiana, G.; Branca, R.T.; Jenista, E.R.; Warren, W.S. Accurate temperature imaging based on intermolecular coherences in magnetic resonance. Science 2008, 322, 421–424. [Google Scholar] [CrossRef] [PubMed]
- Aldhaeebi, M.A.; Alzoubi, K.; Almoneef, T.S.; Bamatraf, S.M.; Attia, H.; Ramahi, O.M. Review of microwaves techniques for breast cancer detection. Sensors 2020, 20, 2390. [Google Scholar] [CrossRef] [PubMed]
- Adam, M.; Ng, E.Y.; Oh, S.L.; Heng, M.L.; Hagiwara, Y.; Tan, J.H.; Tong, J.W.; Acharya, U.R. Automated characterization of diabetic foot using nonlinear features extracted from thermograms. Infrared Phys. Technol. 2018, 89, 325–337. [Google Scholar] [CrossRef]
- Villa, E.; Arteaga-Marrero, N.; Ruiz-Alzola, J. Performance assessment of low-cost thermal cameras for medical applications. Sensors 2020, 20, 1321. [Google Scholar] [CrossRef] [PubMed]
- Childs, C.; Harrison, R.; Hodkinson, C. Tympanic membrane temperature as a measure of core temperature. Arch. Dis. Child. 1999, 80, 262–266. [Google Scholar] [CrossRef]
- Hymczak, H.; Gołąb, A.; Mendrala, K.; Plicner, D.; Darocha, T.; Podsiadło, P.; Hudziak, D.; Gocoł, R.; Kosiński, S. Core temperature measurement—principles of correct measurement, problems, and complications. Int. J. Environ. Res. Public Health 2021, 18, 10606. [Google Scholar] [CrossRef] [PubMed]
- Byrne, C.; Lim, C.L. The ingestible telemetric body core temperature sensor: A review of validity and exercise applications. Br. J. Sport. Med. 2007, 41, 126–133. [Google Scholar] [CrossRef] [PubMed]
- Wilkinson, D.M.; Carter, J.M.; Richmond, V.L.; Blacker, S.D.; Rayson, M.P. The effect of cool water ingestion on gastrointestinal pill temperature. Med. Sci. Sport. Exerc. 2008, 40, 523. [Google Scholar] [CrossRef] [PubMed]
- Ring, E.F.J.; Hartmann, J.; Ammer, K.; Thomas, R.; Land, D.; Hand, J.W. Infrared and microwave medical thermometry. In Experimental Methods in the Physical Sciences; Elsevier: Amsterdam, The Netherlands, 2010; Volume 43, pp. 393–448. [Google Scholar]
- Scheeler, R.P. A Microwave Radiometer for Internal Body Temperature Measurement. Ph.D. Thesis, University of Colorado at Boulder, Boulder, CO, USA, 2013. [Google Scholar]
- Goryanin, I.; Karbainov, S.; Shevelev, O.; Tarakanov, A.; Redpath, K.; Vesnin, S.; Ivanov, Y. Passive microwave radiometry in biomedical studies. Drug Discov. Today 2020, 25, 757–763. [Google Scholar] [CrossRef]
- Blanco-Angulo, C.; Martínez-Lozano, A.; Gutiérrez-Mazón, R.; Juan, C.G.; García-Martínez, H.; Arias-Rodríguez, J.; Sabater-Navarro, J.M.; Ávila-Navarro, E. Non-Invasive Microwave-Based Imaging System for Early Detection of Breast Tumours. Biosensors 2022, 12, 752. [Google Scholar] [CrossRef]
- Lavery, L.A.; Higgins, K.R.; Lanctot, D.R.; Constantinides, G.P.; Zamorano, R.G.; Athanasiou, K.A.; Armstrong, D.G.; Agrawal, C.M. Preventing diabetic foot ulcer recurrence in high-risk patients: Use of temperature monitoring as a self-assessment tool. Diabetes Care 2007, 30, 14–20. [Google Scholar] [CrossRef]
- Spiliopoulos, S.; Theodosiadou, V.; Barampoutis, N.; Katsanos, K.; Davlouros, P.; Reppas, L.; Kitrou, P.; Palialexis, K.; Konstantos, C.; Siores, E.; et al. Multi-center feasibility study of microwave radiometry thermometry for non-invasive differential diagnosis of arterial disease in diabetic patients with suspected critical limb ischemia. J. Diabetes Its Complicat. 2017, 31, 1109–1114. [Google Scholar] [CrossRef]
- Osmonov, B.; Ovchinnikov, L.; Galazis, C.; Emilov, B.; Karaibragimov, M.; Seitov, M.; Vesnin, S.; Losev, A.; Levshinskii, V.; Popov, I.; et al. Passive microwave radiometry for the diagnosis of coronavirus disease 2019 lung complications in Kyrgyzstan. Diagnostics 2021, 11, 259. [Google Scholar] [CrossRef]
- Bardati, F.; Brown, V.; Tognolatti, P. Temperature reconstructions in a dielectric cylinder by multi-frequency microwave radiometry. J. Eelectromagn. Waves Appl. 1993, 7, 1549–1571. [Google Scholar] [CrossRef]
- Stec, B.; Dobrowolski, A.; Susek, W. Multifrequency microwave thermograph for biomedical applications. IEEE Trans. Biomed. Eng. 2004, 51, 548–550. [Google Scholar] [CrossRef]
- Hand, J.; Van Leeuwen, G.; Mizushina, S.; Van de Kamer, J.; Maruyama, K.; Sugiura, T.; Azzopardi, D.; Edwards, A. Monitoring of deep brain temperature in infants using multi-frequency microwave radiometry and thermal modelling. Phys. Med. Biol. 2001, 46, 1885. [Google Scholar] [CrossRef] [PubMed]
- Sugiura, T.; Kouno, Y.; Hashizume, A.; Hirata, H.; Hand, J.; Okita, Y.; Mizushina, S. Five-band microwave radiometer system for non-invasive measurement of brain temperature in new-born infants: System calibration and its feasibility. IEEE Eng. Med. Biol. Soc. 2004, 1, 2292–2295. [Google Scholar]
- Gudkov, A.; Leushin, V.Y.; Sidorov, I.; Vesnin, S.; Porokhov, I.; Sedankin, M.; Agasieva, S.; Chizhikov, S.; Gorlacheva, E.; Lazarenko, M.; et al. Use of multichannel microwave radiometry for functional diagnostics of the brain. Biomed. Eng. 2019, 53, 108–111. [Google Scholar] [CrossRef]
- Hadi, R. Multi-Frequency Microwave Radiometer for Medical Thermography. Ph.D. Thesis, University of Kassel, Kassel, Germany, 2019. [Google Scholar]
- Klemetsen, Ø.; Birkelund, Y.; Jacobsen, S.K.; Maccarini, P.F.; Stauffer, P.R. Design of medical radiometer front-end for improved performance. Prog. Electromagn. Res. B Pier B 2011, 27, 289. [Google Scholar] [CrossRef]
- Stauffer, P.R.; Rodriques, D.B.; Salahi, S.; Topsakal, E.; Oliveira, T.R.; Prakash, A.; D’Isidoro, F.; Reudink, D.; Snow, B.W.; Maccarini, P.F. Stable microwave radiometry system for long term monitoring of deep tissue temperature. In Proceedings of the Energy-Based Treatment of Tissue and Assessment VII, San Francisco, CA, USA, 3–4 February 2013; Volume 8584, pp. 227–237. [Google Scholar]
- Sun, G.; Liu, J.; Ma, J.; Zhang, K.; Sun, Z.; Wu, Q.; Wang, H.; Liu, Y. Design and Implementation of Multiband Noncontact Temperature-Measuring Microwave Radiometer. Micromachines 2021, 12, 1202. [Google Scholar] [CrossRef]
- Villa, E.; Aja, B.; de la Fuente, L.; Artal, E.; Arteaga-Marrero, N.; González-Pérez, S.; Ruiz-Alzola, J. Analysis and Performance Assessment of a Real-Time Correction Pseudo-Correlation Microwave Radiometer for Medical Applications. Electronics 2021, 10, 1427. [Google Scholar] [CrossRef]
- Harris, A.; Zonak, S.; Watts, G.; Norrod, R. Design considerations for correlation radiometers. In NRAO Green Bank Telescope Memo Series; National Radio Astronomy Observatory: Green Bank, WV, USA, 2007. [Google Scholar]
- Faris, J.J. Sensitivity of a correlation radiometer. J. Res. Natl. Bur. Stand.–C 1967, 71, 153–170. [Google Scholar] [CrossRef]
- Klemetsen, Ø. Design and Evaluation of a Medical Microwave Radiometer for Observing Temperature Gradients Subcutaneously in the Human Body. Ph.D. Thesis, University of Tromsø, Tromsø, Norway, 2012. [Google Scholar]
- Baker-Jarvis, J.R.; Kim, S.; Leschallinger, L.; Johnson, J.; Givot, B. Characterization of Tissue-Equivalent Materials for High-Frequency Applications (200 MHz to 20 GHz); Technical Note (NIST TN); National Institute of Standards and Technology: Gaithersburg, MD, USA, 2010.
- Toutouzas, K.; Grassos, C.; Drakopoulou, M.; Synetos, A.; Tsiamis, E.; Aggeli, C.; Stathogiannis, K.; Klettas, D.; Kavantzas, N.; Agrogiannis, G.; et al. First in vivo application of microwave radiometry in human carotids: A new noninvasive method for detection of local inflammatory activation. J. Am. Coll. Cardiol. 2012, 59, 1645–1653. [Google Scholar] [CrossRef]
- Istituto di Fisica Applicata “Nello Carrara” (IFAC)—Consiglio Nazionale delle Ricerche (CNR). Calculation of the Dielectric Properties of Body Tissues. 2021. Available online: http://niremf.ifac.cnr.it/tissprop/htmlclie/htmlclie.php (accessed on 28 October 2022).
- Jacobsen, S.; Klemetsen, O. Improved detectability in medical microwave radio-thermometers as obtained by active antennas. IEEE Trans. Biomed. Eng. 2008, 55, 2778–2785. [Google Scholar] [CrossRef]
- Mini-Circuits. Technical Datasheet Low Noise Amplifier TAMP-362GLN+. 2018. Available online: https://www.minicircuits.com/pdfs/TAMP-362GLN+.pdf (accessed on 28 October 2022).
- Mini-Circuits. Technical Datasheet Power Splitter/Combiner QCN-27+. 2018. Available online: https://www.minicircuits.com/pdfs/QCN-27+.pdf (accessed on 28 October 2022).
- Mini-Circuits. Technical Datasheet Power Splitter/Combiner QCN-45+. 2018. Available online: https://www.minicircuits.com/pdfs/QCN-45+.pdf (accessed on 28 October 2022).
- Mini-Circuits. Technical Datasheet Bandpass Filter BFCN-2700+. 2018. Available online: https://www.minicircuits.com/pdfs/BFCN-2700+.pdf (accessed on 28 October 2022).
- Mini-Circuits. Technical Datasheet Bandpass Filter BFCN-3600+. 2018. Available online: https://www.minicircuits.com/pdfs/BFCN-3600+.pdf (accessed on 28 October 2022).
- Mini-Circuits. Technical Datasheet Bandpass Filter BFCN-4440+. 2018. Available online: https://www.minicircuits.com/pdfs/BFCN-4440+.pdf (accessed on 28 October 2022).
- Mini-Circuits. Technical Datasheet Power Splitter/Combiner GP2Y+. 2018. Available online: https://www.minicircuits.com/pdfs/GP2Y+.pdf (accessed on 28 October 2022).
- Mini-Circuits. Technical Datasheet Power Splitter/Combiner GP2X+. 2018. Available online: https://www.minicircuits.com/pdfs/GP2X+.pdf (accessed on 28 October 2022).
- Fairview Microwave. Technical Datasheet Zero Bias Detector SMD0112. 2016. Available online: https://www.fairviewmicrowave.com/images/productPDF/SMD0112.pdf (accessed on 28 October 2022).
- Tiuri, M. Radio astronomy receivers. IEEE Trans. Mil. Electron. 1964, 8, 264–272. [Google Scholar] [CrossRef]
- Ulaby, F.T.; Moore, R.K.; Fung, A.K. Microwave Remote Sensing: Active and Passive. Volume 1—Microwave Remote Sensing Fundamentals and Radiometry; Artech House, Inc.: Norwood, MA, USA, 1981; Volume 1. [Google Scholar]
- Kraus, J.D.; Tiuri, M.; Räisänen, A.V.; Carr, T.D. Radio Astronomy; Cygnus-Quasar Books: Powell, OH, USA, 1986; Volume 69. [Google Scholar]
- Noisecom. Technical Datasheet NC520 Low Voltage Surface Mount Noise Source. 2020. Available online: https://noisecom.com/Portals/0/Datasheets/nc520_1_2020.pdf (accessed on 28 October 2022).
- Villa, E.; Arteaga-Marrero, N.; León, G.; Herrán, L.; Mateos, I.; Ruiz-Alzola, J. A 3.5-GHz pseudo-correlation type radiometer for biomedical applications. AEU-Int. J. Electron. Commun. 2021, 130, 153558. [Google Scholar] [CrossRef]
- León, G.; Herrán, L.F.; Mateos, I.; Villa, E.; Ruiz-Alzola, J.B. Wideband epidermal antenna for medical radiometry. Sensors 2020, 20, 1987. [Google Scholar] [CrossRef] [PubMed]
- Arteaga-Marrero, N.; Villa, E.; González-Fernández, J.; Martín, Y.; Ruiz-Alzola, J. Polyvinyl alcohol cryogel phantoms of biological tissues for wideband operation at microwave frequencies. PLoS ONE 2019, 14, e0219997. [Google Scholar] [CrossRef] [PubMed]
- Villa, E.; Arteaga-Marrero, N.; González-Fernández, J.; Ruiz-Alzola, J. Bimodal microwave and ultrasound phantoms for non-invasive clinical imaging. Sci. Rep. 2020, 10, 20401. [Google Scholar] [CrossRef] [PubMed]
- Llanos-González, A.B.; Arteaga-Marrero, N.; Villa, E.; Gómez, M.E.; Acosta, O.; Ruiz-Alzola, J.B.; González-Fernández, J. Low-Cost, Custom-Made, Pseudo-Anthropomorphic Phantom for Clinical Training in Thoracic Ultrasound. In Proceedings of the European Congress of Radiology (ECR), Vienna, Austria, 13–17 July 2022. [Google Scholar] [CrossRef]
- Wang, X.; Guo, H.; Zhou, C.; Bai, J. High-resolution probe design for measuring the dielectric properties of human tissues. BioMed. Eng. Online 2021, 20, 1–16. [Google Scholar] [CrossRef] [PubMed]
- Gorst, A.; Zavyalova, K.; Yakubov, V.; Mironchev, A.; Zapasnoy, A. Theoretical simulation of the near-field probe for non-invasive measurements on planar layers with biological characteristics. Bioengineering 2020, 7, 149. [Google Scholar] [CrossRef]
- Halim, A.S.A.; Mostafa, M.; Hamdy, O. Miniaturized antenna verified with diffuse optical measurements for native and boiled adipose tissue differentiation. Sci. Rep. 2022, 12, 15035. [Google Scholar] [CrossRef]
- Rokunuzzaman, M.; Ahmed, A.; Baum, T.; Rowe, W.S. Microwave power penetration enhancement inside an inhomogeneous human head. Sci. Rep. 2021, 11, 21793. [Google Scholar] [CrossRef]

















| Band | Center Frequency |
|---|---|
| B1 | 2.7 GHz |
| B2 | 3.5 GHz |
| B3 | 4.1 GHz |
| Device | Part Number | Frequency Band |
|---|---|---|
| Low-noise Amplifier (LNA) | TAMP-362GLN+ (MiniCircuits) [39] | B1, B2, B3 |
| 90° Hybrid Coupler | QCN-27+ (MiniCircuits) [40] QCN-45+ (MiniCircuits) [41] | B1 B2, B3 |
| Band-pass Filter (BPF) | BFCN-2700+ (MiniCircuits) [42] BFCN-3500+ (MiniCircuits) [43] BFCN-4440+ (MiniCircuits) [44] | B1 B2 B3 |
| Power Splitter | GP2Y+ (MiniCircuits) [45] GP2X+ (MiniCircuits) [46] | B1 B2, B3 |
| Schottky diode detector | SMD0112 (Fairview Microwave) [47] | B1, B2, B3 |
| Frequency Band | Equivalent Noise Temperature | |||
|---|---|---|---|---|
| Unit #1-ON | Unit #1-OFF | Unit #2-ON | Unit #2-OFF | |
| B1 | 838 K | 786 K | ||
| B2 | 839 K | 303 K | 803 K | 303 K |
| B3 | 821 K | 798 K | ||
| Parameter | Output | |||
|---|---|---|---|---|
| k = 1 | k = 2 | k = 3 | k = 4 | |
| Ak | = 0.612 | = 0.089 | = 1.082 | = 0.633 |
| Rk | = 0.617 | 1 | = 0.056 | = 0.563 |
| Nk | 2 · = 1.002 | 1 | = 1.082 | 2 · = 0.992 |
| Parameter | Output | |||
|---|---|---|---|---|
| k = 1 | k = 2 | k = 3 | k = 4 | |
| Ak | = 0.671 | = 0.047 | = 1.102 | = 0.567 |
| Rk | = 0.607 | 1 | = 0.057 | = 0.614 |
| Nk | 2 · = 1.144 | 1 | = 1.102 | 2 · = 1.012 |
| Parameter | Output | |||
|---|---|---|---|---|
| k = 1 | k = 2 | k = 3 | k = 4 | |
| Ak | = 0.604 | = 0.047 | = 1.066 | = 0.572 |
| Rk | = 0.445 | 1 | = 0.042 | = 0.701 |
| Nk | 2 · = 1.009 | 1 | = 1.066 | 2 · = 1.242 |
| Band | Antenna Port | Reference Port | V1 (mV) | V2 (mV) | V3 (mV) | V4 (mV) |
|---|---|---|---|---|---|---|
| B1 | 50 | NC520 ON NC520 OFF | −0.955 −0.593 | −0.587 −0.550 | −1.137 −0.532 | −0.909 −0.575 |
| B2 | 50 | NC520 ON NC520 OFF | −1.673 −1.061 | −1.033 −0.964 | −1.874 −0.870 | −1.583 −0.969 |
| B3 | 50 | NC520 ON NC520 OFF | −1.235 −0.809 | −0.921 −0.877 | −1.740 −0.809 | −1.648 −0.989 |
| Band | Temperature Calculation (K) | Temperature Provided by an Infrared Thermometer (K) |
|---|---|---|
| B1 | 303.87 | 304.1 |
| B2 | 303.36 | 303.5 |
| B3 | 304.65 | 304.8 |
| Band | Antenna Port | Reference Port | V1 (mV) | V2 (mV) | V3 (mV) | V4 (mV) |
|---|---|---|---|---|---|---|
| B1 | 346C + Att. 16 dB | NC520 ON NC520 OFF | −1.030 −0.683 | −0.753 −0.726 | −1.112 −0.535 | −0.985 −0.668 |
| B2 | 346C + Att. 16 dB | NC520 ON NC520 OFF | −1.851 −1.241 | −1.338 −1.280 | −1.903 −0.885 | −1.738 −1.125 |
| B3 | 346C + Att. 16 dB | NC520 ON NC520 OFF | −1.393 −0.986 | −1.216 −1.148 | −1.725 −0.813 | −1.784 −1.143 |
| Band | Temperature Calculation (K) |
|---|---|
| B1 | 452.64 |
| B2 | 452.93 |
| B3 | 452.87 |
| Band | Antenna Port | Reference Port | V1 (mV) | V2 (mV) | V3 (mV) | V4 (mV) |
|---|---|---|---|---|---|---|
| B1 | Forearm | NC520 ON | −0.952 | −0.580 | −1.086 | −0.873 |
| NC520 OFF | −0.571 | −0.537 | −0.518 | −0.561 | ||
| B2 | Forearm | NC520 ON | −1.640 | −1.050 | −1.867 | −1.570 |
| NC520 OFF | −1.030 | −0.934 | −0.864 | −0.970 | ||
| B3 | Forearm | NC520 ON | −1.226 | −0.909 | −1.681 | −1.602 |
| NC520 OFF | −0.817 | −0.870 | −0.799 | −0.972 |
| Band | Temperature Calculation (K) |
|---|---|
| B1 | 309.93 |
| B2 | 309.75 |
| B3 | 309.43 |
Disclaimer/Publisher’s Note: The statements, opinions and data contained in all publications are solely those of the individual author(s) and contributor(s) and not of MDPI and/or the editor(s). MDPI and/or the editor(s) disclaim responsibility for any injury to people or property resulting from any ideas, methods, instructions or products referred to in the content. |
© 2022 by the authors. Licensee MDPI, Basel, Switzerland. This article is an open access article distributed under the terms and conditions of the Creative Commons Attribution (CC BY) license (https://creativecommons.org/licenses/by/4.0/).
Share and Cite
Villa, E.; Aja, B.; de la Fuente, L.; Artal, E.; Arteaga-Marrero, N.; Ramos, G.; Ruiz-Alzola, J. Multifrequency Microwave Radiometry for Characterizing the Internal Temperature of Biological Tissues. Biosensors 2023, 13, 25. https://doi.org/10.3390/bios13010025
Villa E, Aja B, de la Fuente L, Artal E, Arteaga-Marrero N, Ramos G, Ruiz-Alzola J. Multifrequency Microwave Radiometry for Characterizing the Internal Temperature of Biological Tissues. Biosensors. 2023; 13(1):25. https://doi.org/10.3390/bios13010025
Chicago/Turabian StyleVilla, Enrique, Beatriz Aja, Luisa de la Fuente, Eduardo Artal, Natalia Arteaga-Marrero, Gara Ramos, and Juan Ruiz-Alzola. 2023. "Multifrequency Microwave Radiometry for Characterizing the Internal Temperature of Biological Tissues" Biosensors 13, no. 1: 25. https://doi.org/10.3390/bios13010025
APA StyleVilla, E., Aja, B., de la Fuente, L., Artal, E., Arteaga-Marrero, N., Ramos, G., & Ruiz-Alzola, J. (2023). Multifrequency Microwave Radiometry for Characterizing the Internal Temperature of Biological Tissues. Biosensors, 13(1), 25. https://doi.org/10.3390/bios13010025

