Development of New Simple Compositions of Silver Inks for the Preparation of Pseudo-Reference Electrodes
Abstract
1. Introduction
2. Materials and Methods
2.1. Preparation of the Ag Conductive Ink
2.2. Substrate Materials
2.3. Preparation of Pseudo-Reference Electrodes Using Ag Inks
2.4. Process of Electrodeposition of Silver Chloride on the Surface of the Pseudo-Reference Electrode
2.5. Electrochemical Measurements
2.6. Characterization
3. Results and Discussion
3.1. Silver Ink Compositions
3.2. Morphological Characterization of the Ag Conductive Inks
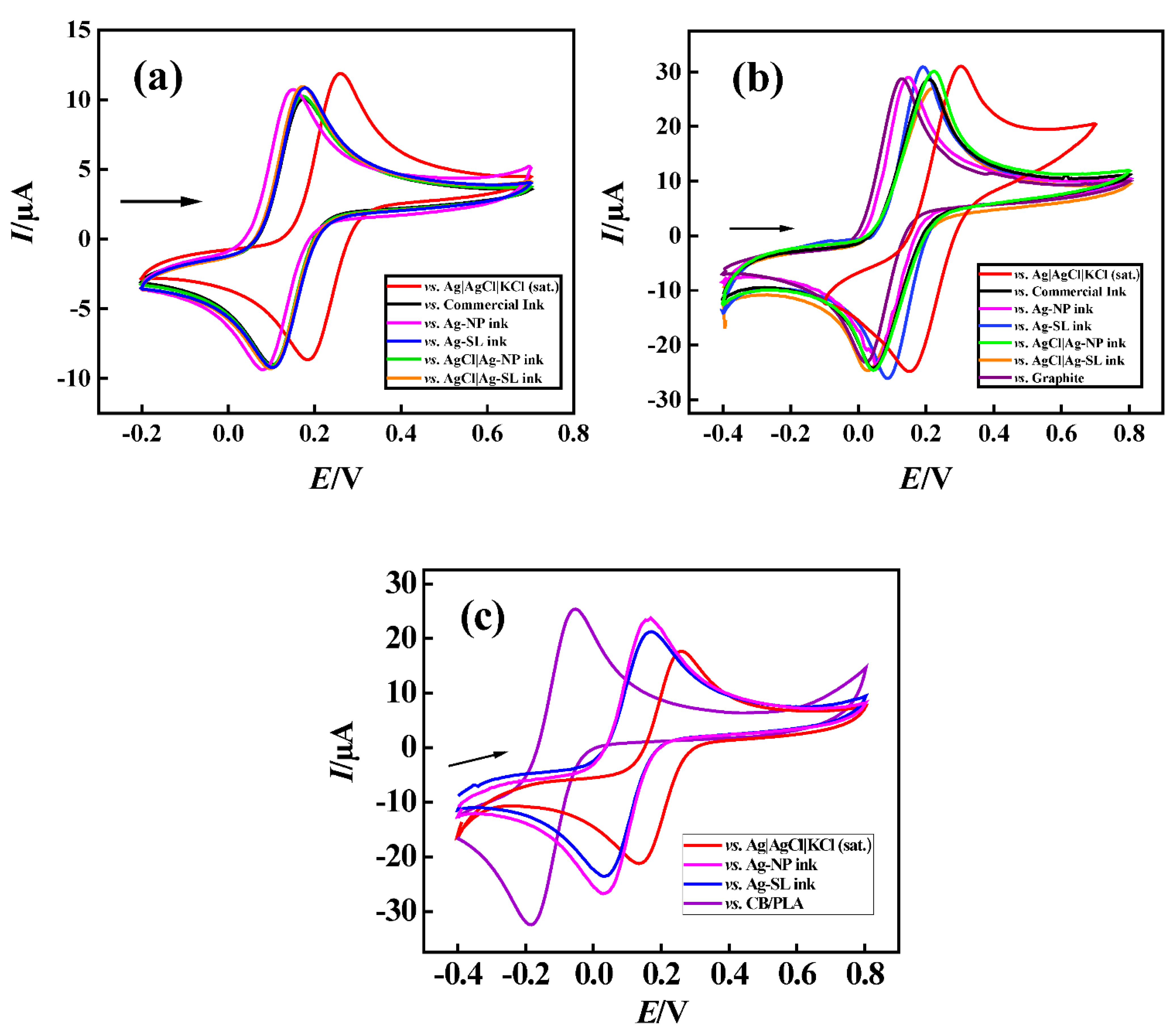
3.3. Application of Silver Inks as Pseudo-References
3.4. Stability Assessment
3.5. Proof of Concept of the Application of Silver Inks as Pseudo-Reference
4. Conclusions
Supplementary Materials
Author Contributions
Funding
Institutional Review Board Statement
Informed Consent Statement
Data Availability Statement
Conflicts of Interest
References
- Huang, Q.; Zhu, Y. Printing conductive nanomaterials for flexible and stretchable electronics: A review of materials, processes, and applications. Adv. Mater. Technol. 2019, 4, 1800546. [Google Scholar] [CrossRef]
- Nie, X.; Wang, H.; Zou, J. Inkjet printing of silver citrate conductive ink on PET substrate. Appl. Surf. Sci. 2012, 261, 554–560. [Google Scholar] [CrossRef]
- Bhat, K.S.; Nakate, U.T.; Yoo, J.-Y.; Wang, Y.; Mahmoudi, T.; Hahn, Y.-B. Nozzle-jet-printed silver/graphene composite-based field-effect transistor sensor for phosphate ion detection. ACS Omega 2019, 4, 8373–8380. [Google Scholar] [CrossRef] [PubMed]
- Lee, B.; Kim, Y.; Yang, S.; Jeong, I.; Moon, J. A low-cure-temperature copper nano ink for highly conductive printed electrodes. Curr. Appl. Phys. 2009, 9, e157–e160. [Google Scholar] [CrossRef]
- De Araujo, W.; Paixao, T. Fabrication of disposable electrochemical devices using silver ink and office paper. Analyst 2014, 139, 2742–2747. [Google Scholar] [CrossRef]
- Bindra, D.S.; Zhang, Y.; Wilson, G.S.; Sternberg, R.; Thevenot, D.R.; Moatti, D.; Reach, G.J.A.c. Design and in vitro studies of a needle-type glucose sensor for subcutaneous monitoring. Anal. Chem. 1991, 63, 1692–1696. [Google Scholar] [CrossRef]
- Dawkins, R.C.; Wen, D.; Hart, J.N.; Vepsäläinen, M. A screen-printed Ag/AgCl reference electrode with long-term stability for electroanalytical applications. Electrochim. Acta 2021, 393, 139043. [Google Scholar] [CrossRef]
- Moya, A.; Pol, R.; Martínez-Cuadrado, A.; Villa, R.; Gabriel, G.; Baeza, M. Stable Full-Inkjet-Printed Solid-State Ag/AgCl Reference Electrode. Anal. Chem. 2019, 91, 15539–15546. [Google Scholar] [CrossRef]
- East, G.A.; del Valle, M.A. Easy-to-Make Ag/AgCl Reference Electrode. J. Chem. Educ. 2000, 77, 97. [Google Scholar] [CrossRef]
- Inzelt, G. Pseudo-reference Electrodes. In Handbook of Reference Electrodes; Inzelt, G., Lewenstam, A., Scholz, F., Eds.; Springer: Berlin/Heidelberg, Germany, 2013; pp. 331–332. [Google Scholar]
- Moschou, D.; Trantidou, T.; Regoutz, A.; Carta, D.; Morgan, H.; Prodromakis, T. Surface and electrical characterization of Ag/AgCl pseudo-reference electrodes manufactured with commercially available PCB technologies. Sensors 2015, 15, 18102–18113. [Google Scholar] [CrossRef]
- Søpstad, S.; Johannessen, E.A.; Seland, F.; Imenes, K. Long-term stability of screen-printed pseudo-reference electrodes for electrochemical biosensors. Electrochim. Acta 2018, 287, 29–36. [Google Scholar] [CrossRef]
- Lan, W.-J.; Maxwell, E.J.; Parolo, C.; Bwambok, D.K.; Subramaniam, A.B.; Whitesides, G.M. based electroanalytical devices with an integrated, stable reference electrode. Lab Chip 2013, 13, 4103–4108. [Google Scholar] [CrossRef] [PubMed]
- Camargo, J.R.; Orzari, L.O.; Araujo, D.A.G.; de Oliveira, P.R.; Kalinke, C.; Rocha, D.P.; dos Santos, A.L.; Takeuchi, R.M.; Munoz, R.A.A.; Bonacin, J.A. Development of conductive inks for electrochemical sensors and biosensors. Microchem. J. 2021, 164, 105998. [Google Scholar] [CrossRef]
- Camargo, J.R.; Andreotti, I.A.A.; Kalinke, C.; Henrique, J.M.; Bonacin, J.A.; Janegitz, B.C. Waterproof paper as a new substrate to construct a disposable sensor for the electrochemical determination of paracetamol and melatonin. Talanta 2020, 208, 120458. [Google Scholar] [CrossRef] [PubMed]
- de Araujo Andreotti, I.A.; Orzari, L.O.; Camargo, J.R.; Faria, R.C.; Marcolino-Junior, L.H.; Bergamini, M.F.; Gatti, A.; Janegitz, B.C. Disposable and flexible electrochemical sensor made by recyclable material and low cost conductive ink. J. Electroanal. Chem. 2019, 840, 109–116. [Google Scholar] [CrossRef]
- Araujo, D.A.G.; Camargo, J.R.; Pradela-Filho, L.A.; Lima, A.P.; Munoz, R.A.A.; Takeuchi, R.M.; Janegitz, B.C.; Santos, A.L. A lab-made screen-printed electrode as a platform to study the effect of the size and functionalization of carbon nanotubes on the voltammetric determination of caffeic acid. Microchem. J. 2020, 158, 105297. [Google Scholar] [CrossRef]
- de Oliveira, G.C.M.; Camargo, J.R.; Vieira, N.C.S.; Janegitz, B.C. A new disposable electrochemical sensor on medical adhesive tape. J. Solid State Electrochem. 2020, 24, 2271–2278. [Google Scholar] [CrossRef]
- Gevaerd, A.; Watanabe, E.Y.; Janegitz, B.C.; Bergamini, M.F.; Marcolino-Junior, L.H. Simple Melatonin Determination Using Disposable and Low-Cost Lab-Made Screen-Printed Carbon Electrode. J. Electrochem. Soc. 2022, 169, 037503. [Google Scholar] [CrossRef]
- Henrique, J.M.; Camargo, J.R.; de Oliveira, G.G.; Stefano, J.S.; Janegitz, B.C. Disposable electrochemical sensor based on shellac and graphite for sulfamethoxazole detection. Microchem. J. 2021, 170, 106701. [Google Scholar] [CrossRef]
- Oliveira, A.E.F.; Pereira, A.C. Development of a Simple and Cheap Conductive Graphite Ink. J. Electrochem. Soc. 2021, 168, 087508. [Google Scholar] [CrossRef]
- Pradela-Filho, L.A.; Araújo, D.A.G.; Takeuchi, R.M.; Santos, A.L. Nail polish and carbon powder: An attractive mixture to prepare paper-based electrodes. Electrochim. Acta 2017, 258, 786–792. [Google Scholar] [CrossRef]
- Ferreira, M.D.; Corrêa, D.S.; Miranda, M.; Ohashi, T.L.; Pilon, L.; Spricigo, P.C. Postharvest quality of ‘golden’Papayas (Carica papayal.) coated with carnauba wax nanoemulsions. Rev. Iberoam. Tecnol. Postcosecha 2015, 16, 199–209. [Google Scholar]
- Dincer, C.; Bruch, R.; Costa-Rama, E.; Fernández-Abedul, M.T.; Merkoçi, A.; Manz, A.; Urban, G.A.; Güder, F. Disposable sensors in diagnostics, food, and environmental monitoring. Adv. Mater. 2019, 31, 1806739. [Google Scholar] [CrossRef] [PubMed]
- Pradela-Filho, L.A.; Andreotti, I.A.A.; Carvalho, J.H.S.; Araujo, D.A.G.; Orzari, L.O.; Gatti, A.; Takeuchi, R.M.; Santos, A.L.; Janegitz, B.C. Glass varnish-based carbon conductive ink: A new way to produce disposable electrochemical sensors. Sens. Actuators B Chem. 2020, 305, 127433. [Google Scholar] [CrossRef]
- Carvalho, J.H.S.; Gogola, J.L.; Bergamini, M.F.; Marcolino-Junior, L.H.; Janegitz, B.C. Disposable and low-cost lab-made screen-printed electrodes for voltammetric determination of L-dopa. Sens. Actuators Rep. 2021, 3, 100056. [Google Scholar] [CrossRef]
- Orzari, L.O.; Cristina de Freitas, R.; Aparecida de Araujo Andreotti, I.; Gatti, A.; Janegitz, B.C. A novel disposable self-adhesive inked paper device for electrochemical sensing of dopamine and serotonin neurotransmitters and biosensing of glucose. Biosens. Bioelectron. 2019, 138, 111310. [Google Scholar] [CrossRef]
- Orzari, L.O.; de Araujo Andreotti, I.A.; Bergamini, M.F.; Marcolino, L.H.; Janegitz, B.C. Disposable electrode obtained by pencil drawing on corrugated fiberboard substrate. Sens. Actuators B Chem. 2018, 264, 20–26. [Google Scholar] [CrossRef]
- Cardoso, R.M.; Mendonça, D.M.H.; Silva, W.P.; Silva, M.N.T.; Nossol, E.; da Silva, R.A.B.; Richter, E.M.; Muñoz, R.A.A. 3D printing for electroanalysis: From multiuse electrochemical cells to sensors. Anal. Chim. Acta 2018, 1033, 49–57. [Google Scholar] [CrossRef]
- Fatibello-Filho, O.; Silva, T.A.; Moraes, F.C.; Janegitz, B.C. Potentiometry: Theoretical and Practical Aspects; EdUFSCar: Sao Carlos, Brazil, 2019; Volume 1, p. 267. [Google Scholar]
- da Silva, V.A.O.P.; Tartare, V.A.P.; Kalinke, C.; Oliveira, P.R.d.; Souza, D.C.d.; Bonacin, J.A.; Janegitz, B.C. Lab-made 3D-printed contact angle measurement adjustable holder. Quím. Nova 2020, 43, 1312–1319. [Google Scholar]
- Kamyshny, A.; Magdassi, S. Conductive nanomaterials for printed electronics. Small 2014, 10, 3515–3535. [Google Scholar]
- Hong, H.; Hu, J.; Yan, X. UV curable conductive ink for the fabrication of textile-based conductive circuits and wearable UHF RFID tags. ACS Appl. Mater. Interfaces 2019, 11, 27318–27326. [Google Scholar] [CrossRef] [PubMed]
- Wiley, B.; Herricks, T.; Sun, Y.; Xia, Y. Polyol synthesis of silver nanoparticles: Use of chloride and oxygen to promote the formation of single-crystal, truncated cubes and tetrahedrons. Nano Letters 2004, 4, 1733–1739. [Google Scholar] [CrossRef]
- Shameli, K.; Ahmad, M.B.; Zamanian, A.; Sangpour, P.; Shabanzadeh, P.; Abdollahi, Y.; Zargar, M. Green biosynthesis of silver nanoparticles using Curcuma longa tuber powder. Int. J. Nanomed. 2012, 7, 5603. [Google Scholar] [CrossRef]
- Anandalakshmi, K.; Venugobal, J.; Ramasamy, V. Characterization of silver nanoparticles by green synthesis method using Pedalium murex leaf extract and their antibacterial activity. Appl. Nanosci. 2016, 6, 399–408. [Google Scholar] [CrossRef]
- Corsino, D.C.; Balela, M.D.L. Room temperature sintering of printer silver nanoparticle conductive ink. In IOP Conference Series: Materials Science and Engineering; IOP Publishing: Bristol, UK, 2017; p. 012020. [Google Scholar]
- Good, R.J. Contact angle, wetting, and adhesion: A critical review. J. Adhes. Sci. Technol. 1992, 6, 1269–1302. [Google Scholar] [CrossRef]
- ASTM D3359; Standard Test Method for Measuring Adhesion by Tape Test—Tool and Tape. ASTM International: West Conshohocken, PA, USA, 2002.
- Lee, Y.-I.; Choa, Y.-H. Adhesion enhancement of ink-jet printed conductive copper patterns on a flexible substrate. J. Mater. Chem. 2012, 22, 12517–12522. [Google Scholar] [CrossRef]
- Bard, A.J.; Faulkner, L.R.; Leddy, J.; Zoski, C.G. Electrochemical Methods: Fundamentals and Applications; Wiley: New York, NY, USA, 1980; Volume 2. [Google Scholar]
- Shitanda, I.; Kiryu, H.; Itagaki, M. Improvement in the long-term stability of screen-printed planar type solid-state Ag/AgCl reference electrode by introducing poly(dimethylsiloxane) liquid junction. Electrochim. Acta 2011, 58, 528–531. [Google Scholar] [CrossRef]
- Taraborrelli, S. Physiology, production and action of progesterone. Acta Obstet. Gynecol. Scand. 2015, 94, 8–16. [Google Scholar] [CrossRef]
- Janegitz, B.C.; dos Santos, F.A.; Faria, R.C.; Zucolotto, V. Electrochemical determination of estradiol using a thin film containing reduced graphene oxide and dihexadecylphosphate. Mater. Sci. Eng. C 2014, 37, 14–19. [Google Scholar] [CrossRef]
- Martimiano do Prado, T.; Gomes da Silva Catunda, L.; Souza Correa, D.; Antonio Spinola Machado, S. Homemade Silver/Silver chloride ink with low curing temperature for screen-printed electrodes. J. Electroanal. Chem. 2022, 915, 116316. [Google Scholar] [CrossRef]
- Fernandes, I.J.; Aroche, A.F.; Schuck, A.; Lamberty, P.; Peter, C.R.; Hasenkamp, W.; Rocha, T.L.A.C. Silver nanoparticle conductive inks: Synthesis, characterization, and fabrication of inkjet-printed flexible electrodes. Sci. Rep. 2020, 10, 8878. [Google Scholar] [CrossRef]
- Oliveira, A.E.F.; Pereira, A.C.; de Resende, M.A.C.; Ferreira, L.F. Synthesis of a silver nanoparticle ink for fabrication of reference electrodes. Talanta Open 2022, 5, 100085. [Google Scholar] [CrossRef]









| Ink | Ag Particle Size | Polymer | Additives | Curing Temperature | Conductivity (Ω·m) | Ref. |
|---|---|---|---|---|---|---|
| Ag/AgCl ink | Micro | cellulose acetate | Cyclohexanone, acetone | 90 °C | 1.7 × 10−4 | [45] |
| I-6 | Nano | - | Ethylene glycol, water, ethanol, ethanolamine, hyperdispersant | Room | 1.6 × 10−6 | [46] |
| AgNP ink | Nano | PVP | Ethylene glycol/Methanol | Room | 1.6 × 10−2 | [47] |
| Ag-NP ink | Micro | Colorless nail polish | - | Room | 2.3 × 10−3 | This work |
| Ag-SL ink | Micro | Shellac | - | Room | 4.5 × 10−3 | This work |
Publisher’s Note: MDPI stays neutral with regard to jurisdictional claims in published maps and institutional affiliations. |
© 2022 by the authors. Licensee MDPI, Basel, Switzerland. This article is an open access article distributed under the terms and conditions of the Creative Commons Attribution (CC BY) license (https://creativecommons.org/licenses/by/4.0/).
Share and Cite
Camargo, J.R.; Fernandes-Junior, W.S.; Azzi, D.C.; Rocha, R.G.; Faria, L.V.; Richter, E.M.; Muñoz, R.A.A.; Janegitz, B.C. Development of New Simple Compositions of Silver Inks for the Preparation of Pseudo-Reference Electrodes. Biosensors 2022, 12, 761. https://doi.org/10.3390/bios12090761
Camargo JR, Fernandes-Junior WS, Azzi DC, Rocha RG, Faria LV, Richter EM, Muñoz RAA, Janegitz BC. Development of New Simple Compositions of Silver Inks for the Preparation of Pseudo-Reference Electrodes. Biosensors. 2022; 12(9):761. https://doi.org/10.3390/bios12090761
Chicago/Turabian StyleCamargo, Jéssica R., Wilson S. Fernandes-Junior, Déborah C. Azzi, Raquel G. Rocha, Lucas V. Faria, Eduardo M. Richter, Rodrigo A. A. Muñoz, and Bruno C. Janegitz. 2022. "Development of New Simple Compositions of Silver Inks for the Preparation of Pseudo-Reference Electrodes" Biosensors 12, no. 9: 761. https://doi.org/10.3390/bios12090761
APA StyleCamargo, J. R., Fernandes-Junior, W. S., Azzi, D. C., Rocha, R. G., Faria, L. V., Richter, E. M., Muñoz, R. A. A., & Janegitz, B. C. (2022). Development of New Simple Compositions of Silver Inks for the Preparation of Pseudo-Reference Electrodes. Biosensors, 12(9), 761. https://doi.org/10.3390/bios12090761

