Objectively Measured Physical Activity in Patients with Coronary Artery Disease: A Cross-Validation Study
Abstract
:1. Introduction
2. Materials and Methods
2.1. Study Design
2.2. Participants
2.3. Data Collection and Management
2.3.1. Objectively Measured Physical Activity and Sedentary Behavior
2.3.2. Self-Reported Physical Activity and Sedentary Behavior
2.3.3. Cardiopulmonary Exercise Test
2.4. Statistical Analysis
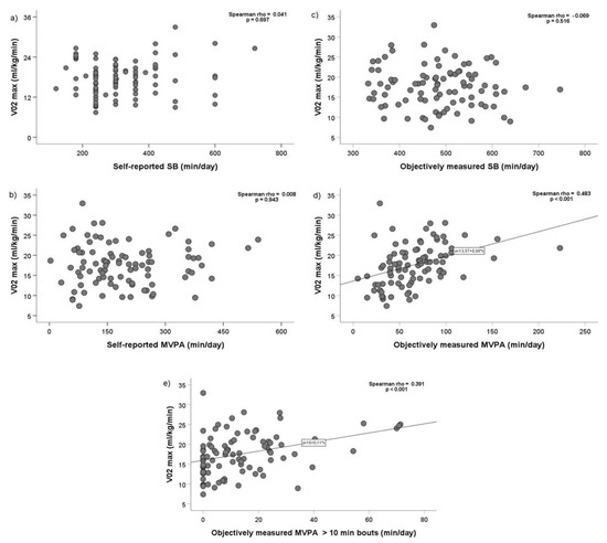
3. Results
4. Discussion
5. Conclusions
Author Contributions
Funding
Institutional Review Board Statement
Informed Consent Statement
Data Availability Statement
Acknowledgments
Conflicts of Interest
References
- Ambrosetti, M.; Abreu, A.; Corrà, U.; Davos, C.H.; Hansen, D.; Frederix, I.; Iliou, M.C.; Pedretti, R.F.; Schmid, J.P.; Vigorito, C.; et al. Secondary prevention through comprehensive cardiovascular rehabilitation: From knowledge to implementation. 2020 update. A position paper from the Secondary Prevention and Rehabilitation Section of the European Association of Preventive Cardiology. Eur. J. Prev. Cardiol. 2021, 28, 460–495. [Google Scholar] [CrossRef] [Green Version]
- Bakker, E.A.; van Bakel, B.M.; Aengevaeren, W.R.; Meindersma, E.P.; Snoek, J.A.; Waskowsky, W.M.; van Kuijk, A.A.; Jacobs, M.M.; Hopman, M.T.; Thijssen, D.H.; et al. Sedentary behaviour in cardiovascular disease patients: Risk group identification and the impact of cardiac rehabilitation. Int. J. Cardiol. 2021, 326, 194–201. [Google Scholar] [CrossRef]
- Barker, J.; Byrne, K.S.; Doherty, A.; Foster, C.; Rahimi, K.; Ramakrishnan, R.; Woodward, M.; Dwyer, T. Physical activity of UK adults with chronic disease: Cross-sectional analysis of accelerometer-measured physical activity in 96 706 UK Biobank participants. Int. J. Epidemiol. 2019, 48, 1167–1174. [Google Scholar] [CrossRef]
- Ekelund, U.; Tarp, J.; Fagerland, M.W.; Johannessen, J.S.; Hansen, B.H.; Jefferis, B.J.; Whincup, P.H.; Diaz, K.M.; Hooker, S.; Howard, V.J.; et al. Joint associations of accelerometer-measured physical activity and sedentary time with all-cause mortality: A harmonised meta-analysis in more than 44 000 middle-aged and older individuals. Br. J. Sports Med. 2020, 54, 1499–1506. [Google Scholar] [CrossRef] [PubMed]
- Biswas, A.; Oh, P.; Faulkner, G.E.; Bajaj, R.R.; Silver, M.A.; Mitchell, M.S.; Alter, D.A. Sedentary Time and Its Association With Risk for Disease Incidence, Mortality, and Hospitalization in Adults. Ann. Intern. Med. 2015, 162, 123–132. [Google Scholar] [CrossRef]
- Ekelund, U.; Brown, W.J.; Steene-Johannessen, J.; Fagerland, M.W.; Owen, N.; Powell, K.E.; Bauman, A.E.; Lee, I.M. Do the associations of sedentary behaviour with cardiovascular disease mortality and cancer mortality differ by physical activity level? A systematic review and harmonised meta-analysis of data from 850 060 participants. Br. J. Sports Med. 2019, 53, 886–894. [Google Scholar] [CrossRef]
- Patterson, R.; McNamara, E.; Tainio, M.; de Sá, T.H.; Smith, A.D.; Sharp, S.J.; Edwards, P.; Woodcock, J.; Brage, S.; Wijndaele, K. Sedentary behaviour and risk of all-cause, cardiovascular and cancer mortality, and incident type 2 diabetes: A systematic review and dose response meta-analysis. Eur. J. Epidemiol. 2018, 33, 811–829. [Google Scholar] [CrossRef] [Green Version]
- Ekelund, U.; Tarp, J.; Steene-Johannessen, J.; Hansen, B.H.; Jefferis, B.; Fagerland, M.W.; Whincup, P.; Diaz, K.; Hooker, S.; Chernofsky, A.; et al. Dose-response associations between accelerometry measured physical activity and sedentary time and all cause mortality: Systematic review and harmonised meta-analysis. BMJ 2019, 366, l4570. [Google Scholar] [CrossRef] [PubMed] [Green Version]
- Dempsey, P.C.; Strain, T.; Khaw, K.T.; Wareham, N.J.; Brage, S.; Wijndaele, K. Prospective Associations of Accelerometer-Measured Physical Activity and Sedentary Time With Incident Cardiovascular Disease, Cancer, and All-Cause Mortality. Circulation 2020, 141, 1113–1115. [Google Scholar] [CrossRef] [PubMed]
- Lee, I.-M.; Shiroma, E.J.; Lobelo, F.; Puska, P.; Blair, S.N.; Katzmarzyk, P.T. Effect of physical inactivity on major non-communicable diseases worldwide: An analysis of burden of disease and life expectancy. Lancet 2012, 380, 219–229. [Google Scholar] [CrossRef] [Green Version]
- Stewart, R.A.; Held, C.; Hadziosmanovic, N.; Armstrong, P.W.; Cannon, C.P.; Granger, C.B.; Hagström, E.; Hochman, J.; Koenig, W.; Lonn, E.; et al. Physical activity and mortality in patients with stable coronary heart disease. J. Am. Coll. Cardiol. 2017, 70, 1689–1700. [Google Scholar] [CrossRef] [PubMed]
- Wannamethee, S.G.; Shaper, A.G.; Walker, M. Physical Activity and Mortality in Older Men With Diagnosed Coronary Heart Disease. Circulation 2000, 102, 1358–1363. [Google Scholar] [CrossRef] [Green Version]
- Jeong, S.-W.; Kim, S.-H.; Kang, S.-H.; Kim, H.-J.; Yoon, C.-H.; Youn, T.-J.; Chae, I.-H. Mortality reduction with physical activity in patients with and without cardiovascular disease. Eur. Heart J. 2019, 40, 3547–3555. [Google Scholar] [CrossRef] [PubMed]
- Moholdt, T.; Wisløff, U.; Nilsen, T.I.L.; Slørdahl, S.A. Physical activity and mortality in men and women with coronary heart disease: A prospective population-based cohort study in Norway (the HUNT study). Eur. J. Cardiovasc. Prev. Rehabil. 2008, 15, 639–645. [Google Scholar] [CrossRef] [PubMed]
- Prince, S.A.; Adamo, K.B.; Hamel, M.E.; Hardt, J.; Gorber, S.C.; Tremblay, M. A comparison of direct versus self-report measures for assessing physical activity in adults: A systematic review. Int. J. Behav. Nutr. Phys. Act. 2008, 5, 56. [Google Scholar] [CrossRef] [Green Version]
- Freene, N.; McManus, M.; Mair, T.; Tan, R.; Davey, R. Objectively measured changes in physical activity and sedentary behavior in cardiac rehabilitation: A prospective cohort study. J. Cardiopulm. Rehabil. Prev. 2018, 38, E5–E8. [Google Scholar] [CrossRef]
- Prince, S.A.; Reid, R.D.; Reed, J.L. Comparison of self-reported and objectively measured levels of sitting and physical activity and associations with markers of health in cardiac rehabilitation patients. Eur. J. Prev. Cardiol. 2019, 26, 653–656. [Google Scholar] [CrossRef]
- Prince, S.A.; Blanchard, C.M.; Grace, S.L.; Reid, R.D. Objectively-measured sedentary time and its association with markers of cardiometabolic health and fitness among cardiac rehabilitation graduates. Eur. J. Prev. Cardiol. 2016, 23, 818–825. [Google Scholar] [CrossRef]
- Stamatakis, E.; Gale, J.; Bauman, A.; Ekelund, U.; Hamer, M.; Ding, D. Sitting Time, Physical Activity, and Risk of Mortality in Adults. J. Am. Coll. Cardiol. 2019, 73, 2062–2072. [Google Scholar] [CrossRef]
- Freene, N.; McManus, M.; Mair, T.; Tan, R.; Clark, B.; Davey, R. Validity of the Past-day Adults’ Sedentary Time Questionnaire in a Cardiac Rehabilitation Population. J. Cardiopulm. Rehabil. Prev. 2020, 40, 325–329. [Google Scholar] [CrossRef]
- Kambic, T.; Sarabon, N.; Hadžić, V.; Lainscak, M. Effects of high-load and low-load resistance training in patients with coronary artery disease: Rationale and design of a randomised controlled clinical trial. BMJ Open 2021, 11, e051325. [Google Scholar] [CrossRef] [PubMed]
- Sagelv, E.H.; Ekelund, U.; Pedersen, S.; Brage, S.; Hansen, B.H.; Johansson, J.; Grimsgaard, S.; Nordström, A.; Horsch, A.; Hopstock, L.A.; et al. Physical activity levels in adults and elderly from triaxial and uniaxial accelerometry. The Tromsø Study. PLoS ONE 2019, 14, e0225670. [Google Scholar] [CrossRef] [PubMed]
- Troiano, R.P.; Berrigan, D.; Dodd, K.W.; Masse, L.C.; Tilert, T.; Mcdowell, M. Physical Activity in the United States Measured by Accelerometer. Med. Sci. Sport Exerc. 2008, 40, 181–188. [Google Scholar] [CrossRef]
- Migueles, J.H.; Cadenas-Sanchez, C.; Ekelund, U.; Nyström, C.D.; Mora-Gonzalez, J.; Löf, M.; Labayen, I.; Ruiz, J.R.; Ortega, F.B. Accelerometer Data Collection and Processing Criteria to Assess Physical Activity and Other Outcomes: A Systematic Review and Practical Considerations. Sport Med. 2017, 47, 1821–1845. [Google Scholar] [CrossRef] [PubMed]
- Ricardo, L.I.; Wendt, A.; Galliano, L.M.; de Andrade Muller, W.; Niño Cruz, G.I.; Wehrmeister, F.; Brage, S.; Ekelund, U.; Crochemore MSilva, I. Number of days required to estimate physical activity constructs objectively measured in different age groups: Findings from three Brazilian (Pelotas) population-based birth cohorts. PLoS ONE 2020, 15, e0216017. [Google Scholar] [CrossRef]
- Sasaki, J.E.; John, D.; Freedson, P.S. Validation and comparison of ActiGraph activity monitors. J. Sci. Med. Sport 2011, 14, 411–416. [Google Scholar] [CrossRef]
- Peterson, N.E.; Sirard, J.R.; Kulbok, P.A.; DeBoer, M.D.; Erickson, J.M. Validation of accelerometer thresholds and inclinometry for measurement of sedentary behavior in young adult university students. Res. Nurs. Health 2015, 38, 492–499. [Google Scholar] [CrossRef]
- Evans, J.; Bethell, H.; Turner, S.; Yadegarfar, G. Characteristics of Patients Entering Cardiac Rehabilitation in the United Kingdom 1993-2006: Implications for the future. J. Cardiopulm. Rehabil. Prev. 2011, 31, 181–187. [Google Scholar] [CrossRef]
- Craig, C.L.; Marshall, A.L.; Sjöström, M.; Bauman, A.E.; Booth, M.L.; Ainsworth, B.E.; Pratt, M.; Ekelund, U.L.; Yngve, A.; Sallis, J.F.; et al. International physical activity questionnaire: 12-country reliability and validity. Med. Sci. Sport Exerc. 2003, 35, 1381–1395. [Google Scholar] [CrossRef] [Green Version]
- Fletcher, G.F.; Ades, P.A.; Kligfield, P.; Arena, R.; Balady, G.J.; Bittner, V.A.; Coke, L.A.; Fleg, J.L.; Forman, D.E.; Gerber, T.C.; et al. Exercise standards for testing and training: A scientific statement from the American heart association. Circulation 2013, 128, 873–934. [Google Scholar] [CrossRef]
- Schober, P.; Boer, C.; Schwarte, L.A. Correlation coefficients: Appropriate use and interpretation. Anesth. Analg. 2018, 126, 1763–1768. [Google Scholar] [CrossRef]
- Prince, S.A.; Cardilli, L.; Reed, J.L.; Saunders, T.J.; Kite, C.; Douillette, K.; Fournier, K.; Buckley, J.P. A comparison of self-reported and device measured sedentary behaviour in adults: A systematic review and meta-analysis. Int. J. Behav. Nutr. Phys. Act. 2020, 17, 31. [Google Scholar] [CrossRef]
- Bland, J.M.; Altman, D.G. Statistics Notes: Measurement error and correlation coefficients. BMJ 1996, 313, 41–42. [Google Scholar] [CrossRef]
- Koo, T.K.; Li, M.Y. A Guideline of Selecting and Reporting Intraclass Correlation Coefficients for Reliability Research. J. Chiropr. Med. 2016, 15, 155–163. [Google Scholar] [CrossRef] [PubMed] [Green Version]
- Bland, J.M.; Altman, D.G. Statistical methods for assessing agreement between two methods of clinical measurement. Lancet 1986, 327, 307–310. [Google Scholar] [CrossRef]
- Ramadi, A.; Haennel, R.G. Sedentary behavior and physical activity in cardiac rehabilitation participants. Heart Lung 2019, 48, 8–12. [Google Scholar] [CrossRef] [PubMed] [Green Version]
- Biswas, A.; Oh, P.I.; Faulkner, G.E.; Alter, D.A. A prospective study examining the influence of cardiac rehabilitation on the sedentary time of highly sedentary, physically inactive patients. Ann. Phys. Rehabil. Med. 2018, 61, 207–214. [Google Scholar] [CrossRef] [PubMed]
- Ortlieb, S.; Dias, A.; Gorzelniak, L.; Nowak, D.; Karrasch, S.; Peters, A.; Kuhn, K.A.; Horsch, A.; Schulz, H. Exploring patterns of accelerometry-assessed physical activity in elderly people. Int. J. Behav. Nutr. Phys. Act. 2014, 11, 28. [Google Scholar] [CrossRef] [Green Version]
- Luc, V.; Robert, F.; Lutgarde, T.; Jan, S.; Antoon, A. Prognostic significance of peak exercise capacity in patients with coronary artery disease. J. Am. Coll. Cardiol. 1994, 23, 358–363. [Google Scholar]
- Frederix, I.; Driessche, N.V.; Hansen, D.; Berger, J.; Bonne, K.; Alders, T.; Dendale, P. Increasing the medium-term clinical benefits of hospital-based cardiac rehabilitation by physical activity telemonitoring in coronary artery disease patients. Eur. J. Prev. Cardiol. 2015, 22, 150–158. [Google Scholar] [CrossRef]
- Ekelund, U.; Steene-Johannessen, J.; Brown, W.J.; Fagerland, M.W.; Owen, N.; Powell, K.E.; Bauman, A.; Lee, I.M.; Series, L.P.; Lancet Sedentary Behaviour Working Group. Does physical activity attenuate, or even eliminate, the detrimental association of sitting time with mortality? A harmonised meta-analysis of data from more than 1 million men and women. Lancet 2016, 388, 1302–1310. [Google Scholar] [CrossRef] [Green Version]
- dos Santos, C.E.S.; d’Orsi, E.; Rech, C.R. Association between different cutoff points for objectively measured moderate-to-vigorous physical activity and cardiometabolic markers in older adults. Arch. Gerontol. Geriatr. 2020, 91, 104238. [Google Scholar] [CrossRef] [PubMed]
- Jakicic, J.M.; Kraus, W.E.; Powell, K.E.; Campbell, W.W.; Janz, K.F.; Troiano, R.P.; Sprow, K.; Torres, A.; Piercy, K.L. Association between Bout Duration of Physical Activity and Health: Systematic Review. Med. Sci. Sport Exerc. 2019, 51, 1213. [Google Scholar] [CrossRef]
- Bull, F.C.; Al-Ansari, S.S.; Biddle, S.; Borodulin, K.; Buman, M.P.; Cardon, G.; Carty, C.; Chaput, J.P.; Chastin, S.; Chou, R.; et al. World Health Organization 2020 guidelines on physical activity and sedentary behaviour. Br. J. Sports Med. 2020, 54, 1451–1462. [Google Scholar] [CrossRef]
- Lee, P.H.; Macfarlane, D.J.; Lam, T.H.; Stewart, S.M. Validity of the international physical activity questionnaire short form (IPAQ-SF): A systematic review. Int. J. Behav. Nutr. Phys. Act. 2011, 8, 115. [Google Scholar] [CrossRef] [PubMed] [Green Version]
- Kambic, T.; Lainscak, M. Exercise training in cardiovascular disease: Are we closing the gender gap? Eur. J. Prev. Cardiol. 2020, 27, 2057–2058. [Google Scholar] [CrossRef]




| Variable | Total Sample | Male (n = 68) | Females (n = 23) | p |
|---|---|---|---|---|
| M (SD) or Me (Q1, Q3) | M (SD) or Me (Q1, Q3) | |||
| Age (years) | 62 (9) | 61 (9) | 63 (9) | 0.304 |
| Anthropometrics | M (SD) or Me (Q1, Q3) | M (SD) or Me (Q1, Q3) | p | |
| Height (cm) | 171.8 (8.5) | 175.0 (6.5) | 162.0 (5.4) | 0.000 |
| Weight (kg) | 86.01 (14.89) | 88.40 (80.80, 95.00) | 70.55 (62.10, 83.55) | 0.000 |
| BMI (kg/m2) | 29 (26, 32) | 29 (27, 32) | 28 (24, 30) | 0.144 |
| Clinical data | M (SD) or Me (Q1, Q3) | M (SD) or Me (Q1, Q3) | p | |
| LVEF (%) | 55 (45, 60) | 55 (50, 60) | 55 (45, 65) | 0.962 |
| Time from clinical event to inclusion to CR (months) | 2.0 (1.5, 3.0) | 2.0 (1.5, 3.0) | 2.5 (2.0, 3.0) | 0.339 |
| Myocardial infarction | f (%) | f (%) | f (%) | p |
| NSTEMI | 39 (43) | 29 (43) | 10 (43) | 1.000 |
| STEMI | 41 (46) | 31 (45) | 11 (48) | |
| Unstable AP | 10 (11) | 8 (12) | 2 (9) | |
| Comorbidities and risk factors | f (%) | f (%) | f (%) | p |
| Arterial hypertension | 63 (69) | 47 (69) | 16 (70) | 1.000 |
| Hyperlipidemia | 76 (84) | 58 (85) | 18 (78) | 0.517 |
| Diabetes | 19 (21) | 16 (24) | 3 (13) | 0.381 |
| Atrial fibrillation | 10 (11) | 10 (15) | 0 (0.00) | 0.060 |
| Thyroid disease | 6 (7) | 3 (4) | 3 (13) | 0.167 |
| Renal disease | 9 (10) | 8 (12) | 1 (4) | 0.440 |
| Smoking | f (%) | f (%) | f (%) | p |
| Non-smoker | 28 (31) | 16 (24) | 12 (52) | 0.046 |
| Ex-smoker | 49 (54) | 40 (59) | 9 (39) | |
| Smoker | 14 (15) | 12 (18) | 2 (9) | |
| Pharmacological therapy | f (%) | f (%) | f (%) | p |
| Aspirin | 89 (98) | 66 (97) | 23 (100) | 1.000 |
| Beta blocker | 91 (100) | 68 (100) | 23 (100) | 1.000 |
| ACE inhibitor/ARB | 90 (99) | 67 (99) | 23 (100) | 1.000 |
| Statin | 91 (100) | 68 (100) | 23 (100) | 1.000 |
| Antiplatelet drug | 90 (99) | 67 (99) | 23 (100) | 1.000 |
| Anticoagulation drug | 8 (9) | 7 (10) | 1 (4) | 0.674 |
| Diuretic | 12 (13) | 10 (15) | 2 (9) | 0.723 |
| Measure | Variable | Total Sample | Male | Female | ∆ | p |
|---|---|---|---|---|---|---|
| Accelerometery | Wear time (days) | 8 (7, 8) | 8 (7, 8) | 8 (7, 8) | 0 | 0.857 |
| Wear time (min/day) | 798 (71) | 807 (76) | 771 (49) | 36 | 0.012 | |
| Daily step count | 6422 (4878, 8426) | 7183 (5479, 8871) | 4875 (3791, 6572) | 2308 | 0.001 | |
| Daily LPA (min/day) | 248 (65) | 241 (61) | 267 (71) | −26 | 0.093 | |
| Daily MVPA (min/day) | 63 (41, 83) | 72 (46, 93) | 50 (32, 64) | 22 | 0.001 | |
| Daily MVPA > 10 min bouts (min/day) | 9 (2, 22) | 12 (3, 24) | 4 (0, 12) | 8 | 0.009 | |
| Daily SB (min/day) | 484 (88) | 493 (92) | 455 (69) | 38 | 0.073 | |
| Daily LPA (%) | 31.14 (7.66) | 29.96 (7.14) | 34.63 (8.21) | −4.67 | 0.011 | |
| Daily MVPA (%) | 7.90 (5.54, 10.30) | 8.85 (5.96, 11.53) | 6.59 (4.09, 7.65) | 2.26 | 0.002 | |
| Daily SB (%) | 60.61 (9.34) | 61.09 (9.50) | 59.19 (8.89) | 1.90 | 0.402 | |
| IPAQ-SF | Daily MVPA (min/day) | 171 (104, 257) | 159 (92, 257) | 210 (137, 266) | −51 | 0.156 |
| Daily SB (min/day) | 300 (240, 360) | 300 (240, 420) | 270 (240, 360) | 30 | 0.264 | |
| Total weekly activity score (MET, min/week) | 5978 (3066, 7656) | 4724 (2924, 7814) | 6030 (4506, 7404) | −1306 | 0.293 |
| Activity | ICC | 95% CI for ICC | p (ICC) | Spearman Rank rho | p (rho) |
|---|---|---|---|---|---|
| MVPA (min/day) | 0.124 | (−0.128,0.348) | 0.088 | 0.147 | 0.165 |
| MVPA > 10 min bouts (min/day) | −0.011 | (−0.124,0.122) | 0.572 | −0.059 | 0.576 |
| SB (min/day) | 0.090 | (−0.125,0.296) | 0.154 | 0.139 | 0.187 |
Publisher’s Note: MDPI stays neutral with regard to jurisdictional claims in published maps and institutional affiliations. |
© 2021 by the authors. Licensee MDPI, Basel, Switzerland. This article is an open access article distributed under the terms and conditions of the Creative Commons Attribution (CC BY) license (https://creativecommons.org/licenses/by/4.0/).
Share and Cite
Kambic, T.; Šarabon, N.; Hadžić, V.; Lainscak, M. Objectively Measured Physical Activity in Patients with Coronary Artery Disease: A Cross-Validation Study. Biosensors 2021, 11, 318. https://doi.org/10.3390/bios11090318
Kambic T, Šarabon N, Hadžić V, Lainscak M. Objectively Measured Physical Activity in Patients with Coronary Artery Disease: A Cross-Validation Study. Biosensors. 2021; 11(9):318. https://doi.org/10.3390/bios11090318
Chicago/Turabian StyleKambic, Tim, Nejc Šarabon, Vedran Hadžić, and Mitja Lainscak. 2021. "Objectively Measured Physical Activity in Patients with Coronary Artery Disease: A Cross-Validation Study" Biosensors 11, no. 9: 318. https://doi.org/10.3390/bios11090318
APA StyleKambic, T., Šarabon, N., Hadžić, V., & Lainscak, M. (2021). Objectively Measured Physical Activity in Patients with Coronary Artery Disease: A Cross-Validation Study. Biosensors, 11(9), 318. https://doi.org/10.3390/bios11090318

