Exploring the Effect of the Irradiation Time on Photosensitized Dendrimer-Based Nanoaggregates for Potential Applications in Light-Driven Water Photoreduction
Abstract
:1. Introduction
2. Experimental Section
2.1. Materials
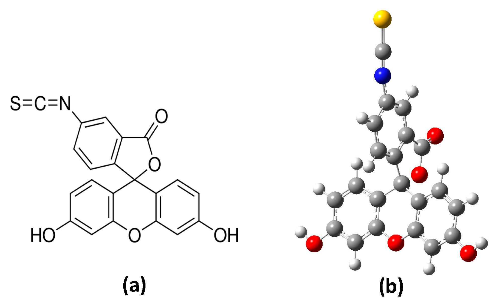
2.2. Synthesis of the PAMAM-Fluorescein Dendrimer
2.3. Preparation of Dendrimer Nanoaggregates
2.4. Synthesis of Pt-Ascorbate Nanoparticles
2.5. Equipment for Characterization
2.6. Irradiation and Water Photoreduction Experiments
2.7. Photogenerated H2 for the Reduction of Methylene Blue (MB)
2.8. Computational Details
3. Results and Discussion
3.1. Estimation of the Critical Aggregation Concentration (CAC) of G4-F NG
3.2. UV-Visible Study
3.3. FT-IR Analysis
3.4. Surface Potential Analysis
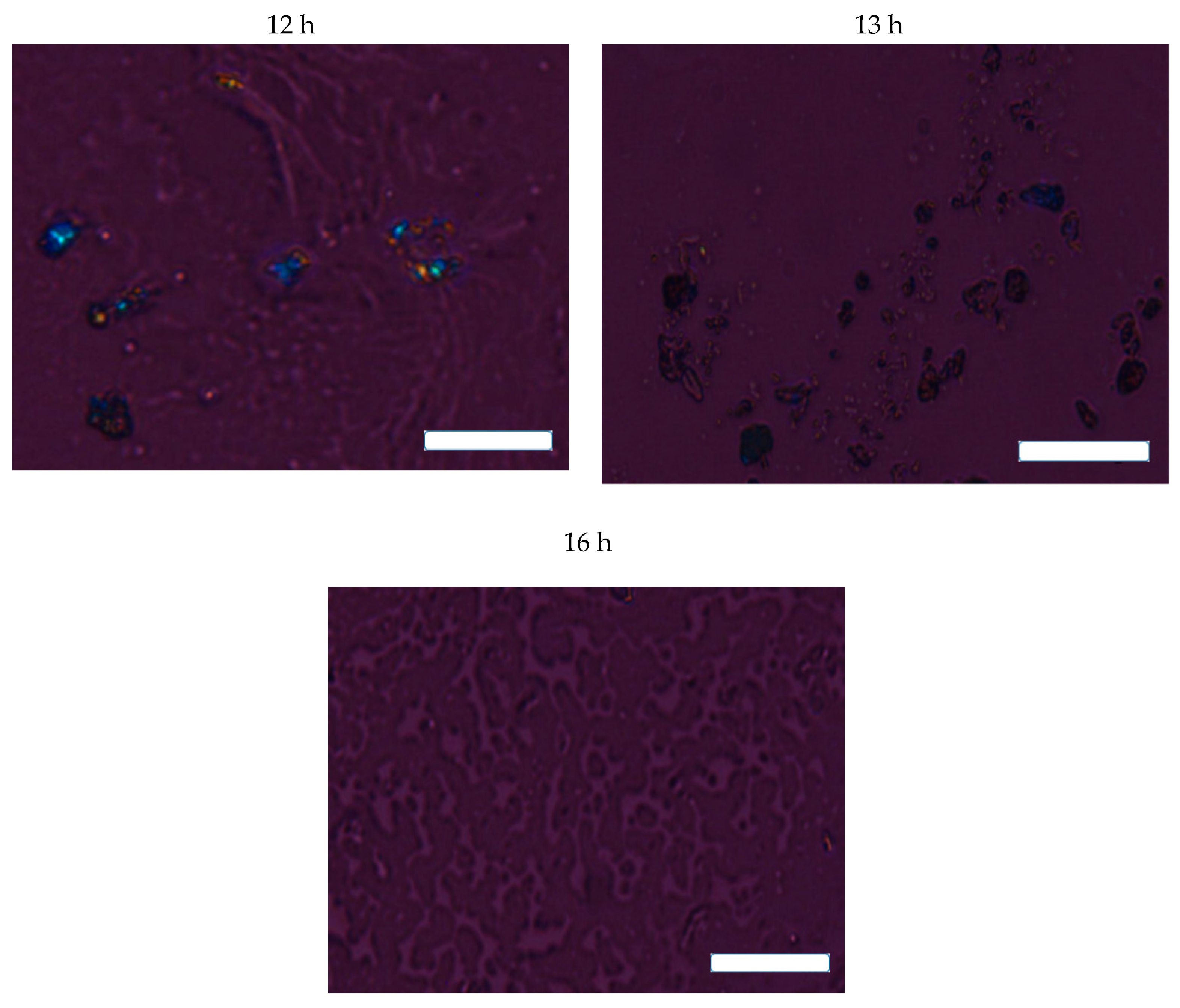
3.5. Polarized Light Microscopy Analysis
3.6. Morphological Analysis
3.7. Water Photoreduction Performance
3.8. Reduction of Methylene Blue Using In Situ Generated H2
3.9. Theoretical Analysis
4. Conclusions
Author Contributions
Funding
Acknowledgments
Conflicts of Interest
References
- Barbir, F. Transition to renewable energy systems with hydrogen as an energy carrier. Energy 2009, 34, 308–312. [Google Scholar] [CrossRef]
- Smil, V. Science, Energy, Ethics, and Civilization; NA: Los Angeles, CA, USA, 2010. [Google Scholar]
- Afgan, N.H.; Al Gobaisi, D.; Carvalho, M.G.; Cumo, M. Sustainable energy development. Renew. Sustain. Energy Rev. 1998, 2, 235–286. [Google Scholar] [CrossRef]
- Soytas, U.; Sari, R. Energy consumption, economic growth, and carbon emissions: Challenges faced by an EU candidate member. Ecol. Econ. 2009, 68, 1667–1675. [Google Scholar] [CrossRef]
- Riahi, K.; Van Vuuren, D.P.; Kriegler, E.; Edmonds, J.; O’neill, B.C.; Fujimori, S.; Bauer, N.; Calvin, K.; Dellink, R.; Fricko, O. The shared socioeconomic pathways and their energy, land use, and greenhouse gas emissions implications: An overview. Glob. Environ. Chang. 2017, 42, 153–168. [Google Scholar] [CrossRef]
- Tietenberg, T.H.; Lewis, L. Environmental and Natural Resource Economics; Routledge: Abingdon, UK, 2016. [Google Scholar]
- Dincer, I.; Acar, C. Smart energy systems for a sustainable future. Appl. Energy 2017, 194, 225–235. [Google Scholar] [CrossRef]
- Kabir, E.; Kumar, P.; Kumar, S.; Adelodun, A.A.; Kim, K.-H. Solar energy: Potential and future prospects. Renew. Sustain. Energy Rev. 2018, 82, 894–900. [Google Scholar] [CrossRef]
- Abas, N.; Kalair, A.; Khan, N. Review of fossil fuels and future energy technologies. Futures 2015, 69, 31–49. [Google Scholar] [CrossRef]
- Wu, X.F.; Fu, W.F.; Xu, Z.; Shi, M.; Liu, F.; Chen, H.Z.; Wan, J.H.; Russell, T.P. Spiro linkage as an alternative strategy for promising nonfullerene acceptors in organic solar cells. Adv. Funct. Mater. 2015, 25, 5954–5966. [Google Scholar] [CrossRef]
- Beltrop, K.; Beuker, S.; Heckmann, A.; Winter, M.; Placke, T. Alternative electrochemical energy storage: Potassium-based dual-graphite batteries. Energy Environ. Sci. 2017, 10, 2090–2094. [Google Scholar] [CrossRef]
- Jung, J.W.; Jo, J.W.; Jung, E.H.; Jo, W.H. Recent progress in high efficiency polymer solar cells by rational design and energy level tuning of low bandgap copolymers with various electron-withdrawing units. Organ. Electron. 2016, 31, 149–170. [Google Scholar] [CrossRef]
- Wondraczek, L.; Tyystjärvi, E.; Méndez-Ramos, J.; Müller, F.A.; Zhang, Q. Shifting the sun: Solar spectral conversion and extrinsic sensitization in natural and artificial photosynthesis. Adv. Sci. 2015, 2, 1500218. [Google Scholar] [CrossRef] [PubMed]
- Osterloh, F.E. Photocatalysis versus photosynthesis: A sensitivity analysis of devices for solar energy conversion and chemical transformations. ACS Energy Lett. 2017, 2, 445–453. [Google Scholar] [CrossRef]
- Hilton, T.W. Photosynthesis in high definition. Nat. Clim. Chang. 2018, 8, 20–21. [Google Scholar] [CrossRef]
- Metzger, T.S.; Chandaluri, C.G.; Tel-Vered, R.; Shenhar, R.; Willner, I. Donor/Acceptor-Modified Electrodes for Photoelectrochemical and Photobioelectrochemical Applications. Adv. Funct. Mater. 2016, 26, 7148–7155. [Google Scholar] [CrossRef]
- Li, W.; Shi, W.; Wu, Z.; Wang, J.; Wu, M.; Zhu, W.-H. Unsymmetrical donor–acceptor–donor–acceptor type indoline based organic semiconductors with benzothiadiazole cores for solution-processed bulk heterojunction solar cells. Green Energy Environ. 2017, 2, 428–435. [Google Scholar] [CrossRef]
- Cabanetos, C.; Blanchard, P.; Roncali, J. Arylamine Based Photoactive Push-Pull Molecular Systems: A Brief Overview of the Chemistry “Made in Angers”. Chem. Rec. 2019, 19, 1123–1130. [Google Scholar] [CrossRef] [PubMed]
- Laventure, A.; Harding, C.; Cieplechowicz, E.; Li, Z.; Wang, J.; Zou, Y.; Welch, G.C. Screening Quinoxaline-Type Donor Polymers for Roll-to-Roll Processing Compatible Organic Photovoltaics. ACS Appl. Polym. Mater. 2019, 1, 2168–2176. [Google Scholar] [CrossRef]
- Lee, S.H.; Matula, A.J.; Hu, G.; Troiano, J.L.; Karpovich, C.J.; Crabtree, R.H.; Batista, V.S.; Brudvig, G.W. Strongly Coupled Phenazine–Porphyrin Dyads: Light-Harvesting Molecular Assemblies with Broad Absorption Coverage. ACS Appl. Mater. Interfaces 2019, 11, 8000–8008. [Google Scholar] [CrossRef]
- Lutz, J.-F.; Lehn, J.-M.; Meijer, E.; Matyjaszewski, K. From precision polymers to complex materials and systems. Nat. Rev. Mater. 2016, 1, 16024. [Google Scholar] [CrossRef]
- Dey, D.; Bhandary, S.; Thomas, S.P.; Spackman, M.A.; Chopra, D. Energy frameworks and a topological analysis of the supramolecular features in in situ cryocrystallized liquids: Tuning the weak interaction landscape via fluorination. Phys. Chem. Chem. Phys. 2016, 18, 31811–31820. [Google Scholar] [CrossRef]
- Tsukamoto, T.; Ramasamy, E.; Shimada, T.; Takagi, S.; Ramamurthy, V. Supramolecular surface photochemistry: Cascade energy transfer between encapsulated dyes aligned on a clay nanosheet surface. Langmuir 2016, 32, 2920–2927. [Google Scholar] [CrossRef] [PubMed]
- Ciftci, M.; Tasdelen, M.A.; Yagci, Y. Macromolecular design and application using Mn2 (CO) 10-based visible light photoinitiating systems. Polym. Int. 2016, 65, 1001–1014. [Google Scholar] [CrossRef]
- Blasco, E.; Piñol, M.; Berges, C.; Sánchez-Somolinos, C.; Oriol, L. Smart polymers for optical data storage. In Smart Polymers and Their Applications; Elsevier: Amsterdam, The Netherlands, 2019; pp. 567–606. [Google Scholar]
- Dudziec, B.; Żak, P.; Marciniec, B. Synthetic Routes to Silsesquioxane-Based Systems as Photoactive Materials and Their Precursors. Polymers 2019, 11, 504. [Google Scholar] [CrossRef] [PubMed]
- Abd-El-Aziz, A.S.; Abdelghani, A.A.; Wagner, B.D.; Bissessur, R. Advances in Light-Emitting Dendrimers. Macromol. Rapid Commun. 2019, 40, 1800711. [Google Scholar] [CrossRef] [PubMed]
- Puntoriero, F.; Serroni, S.; La Ganga, G.; Santoro, A.; Galletta, M.; Nastasi, F.; La Mazza, E.; Cancelliere, A.M.; Campagna, S. Photo-and Redox-Active Metal Dendrimers: A Journey from Molecular Design to Applications and Self-Aggregated Systems. Eur. J. Inorg. Chem. 2018, 2018, 3887–3899. [Google Scholar] [CrossRef]
- Eremin, A.; Nádasi, H.; Hirankittiwong, P.; Kiang-Ia, J.; Chattham, N.; Haba, O.; Yonetake, K.; Takezoe, H. Azodendrimers as a photoactive interface for liquid crystals. Liq. Cryst. 2018, 45, 2121–2131. [Google Scholar] [CrossRef]
- Xun, Z.; Yu, T.; Zeng, Y.; Chen, J.; Zhang, X.; Yang, G.; Li, Y. Artificial photosynthesis dendrimers integrating light-harvesting, electron delivery and hydrogen production. J. Mater. Chem. A 2015, 3, 12965–12971. [Google Scholar] [CrossRef]
- Zhang, X.; Zeng, Y.; Yu, T.; Chen, J.; Yang, G.; Li, Y. Advances in photofunctional dendrimers for solar energy conversion. J. Phys. Chem. Lett. 2014, 5, 2340–2350. [Google Scholar] [CrossRef] [PubMed]
- Yu, T.; Wang, W.; Chen, J.; Zeng, Y.; Li, Y.; Yang, G.; Li, Y. Dendrimer-encapsulated Pt nanoparticles: An artificial enzyme for hydrogen production. J. Phys. Chem. C 2012, 116, 10516–10521. [Google Scholar] [CrossRef]
- Zhang, T.; Ma, D.; Pan, S.; Wu, S.; Jiang, Y.; Zeng, D.; Yang, H.; Peng, Y. Photoinduced electron transfer between benzyloxy dendrimer phthalocyanine and benzoquinone. In Proceedings of the Optics in Health Care and Biomedical Optics VII, Beijing, China, 31 October 2016; p. 1002444. [Google Scholar]
- Gonçalves, M.; Maciel, D.; Capelo, D.B.; Xiao, S.; Sun, W.; Shi, X.; Rodrigues, J.O.; Tomás, H.; Li, Y. Dendrimer-assisted formation of fluorescent nanogels for drug delivery and intracellular imaging. Biomacromolecules 2014, 15, 492–499. [Google Scholar] [CrossRef]
- Wang, B.-B.; Zhang, X.; Jia, X.-R.; Li, Z.-C.; Ji, Y.; Yang, L.; Wei, Y. Fluorescence and aggregation behavior of poly (amidoamine) dendrimers peripherally modified with aromatic chromophores: The effect of dendritic architectures. J. Am. Chem. Soc. 2004, 126, 15180–15194. [Google Scholar] [CrossRef] [PubMed]
- Filipowicz, A.; Wołowiec, S. Solubility and in vitro transdermal diffusion of riboflavin assisted by PAMAM dendrimers. Int. J. Pharm. 2011, 408, 152–156. [Google Scholar] [CrossRef] [PubMed]
- Guan, L.; Huang, S.; Chen, Z.; Li, Y.; Liu, K.; Liu, Y.; Du, L. Low cytotoxicity fluorescent PAMAM dendrimer as gene carriers for monitoring the delivery of siRNA. J. Nanopart. Res. 2015, 17, 385. [Google Scholar] [CrossRef]
- Saldías, C.; Díaz, D.D.; Bonardd, S.; Soto-Marfull, C.; Cordoba, A.; Saldías, S.; Quezada, C.; Radic, D.; Leiva, Á. In situ preparation of film and hydrogel bio-nanocomposites of chitosan/fluorescein-copper with catalytic activity. Carbohydr. Polym. 2018, 180, 200–208. [Google Scholar] [CrossRef] [PubMed]
- Majoros, I.J.; Myc, A.; Thomas, T.; Mehta, C.B.; Baker, J.R. PAMAM dendrimer-based multifunctional conjugate for cancer therapy: Synthesis, characterization, and functionality. Biomacromolecules 2006, 7, 572–579. [Google Scholar] [CrossRef] [PubMed]
- Lin, C.-S.; Khan, M.R.; Lin, S.D. The preparation of Pt nanoparticles by methanol and citrate. J. Colloid Interface Sci. 2006, 299, 678–685. [Google Scholar] [CrossRef] [PubMed]
- Farkas, O.; Foresman, J.; Ortiz, J.J.C.; Fox, D.J.F. Gaussian 09, Revision B. 01; Gaussian. Inc.: Wallingford, UK, 2010. [Google Scholar]
- Lee, C.; Yang, W.; Parr, R. Phys. l rev. b 37, 785 (1988); (b) ad becke. Phys. Rev. A 1988, 38, 3098. [Google Scholar]
- Morrison, R.C. Comment on ‘‘The exactness of the extended Koopmans’ theorem: A numerical study’’ [J. Chem. Phys. 98, 3999 (1993)]. J. Chem. Phys. 1993, 99, 6221. [Google Scholar] [CrossRef]
- Zhao, Y.; Truhlar, D.G. Assessment of model chemistries for noncovalent interactions. J. Chem. Theory Comput. 2006, 2, 1009–1018. [Google Scholar] [CrossRef]
- Adamo, C.; Jacquemin, D. The calculations of excited-state properties with Time-Dependent Density Functional Theory. Chem. Soc. Rev. 2013, 42, 845–856. [Google Scholar] [CrossRef]
- Tomasi, J.; Mennucci, B.; Cammi, R. Quantum mechanical continuum solvation models. Chem. Rev. 2005, 105, 2999–3094. [Google Scholar] [CrossRef] [PubMed]
- Kimling, J.; Maier, M.; Okenve, B.; Kotaidis, V.; Ballot, H.; Plech, A. Turkevich method for gold nanoparticle synthesis revisited. J. Phys. Chem. B 2006, 110, 15700–15707. [Google Scholar] [CrossRef] [PubMed]
- Zhang, K.; Hu, X.; Liu, J.; Yin, J.-J.; Hou, S.; Wen, T.; He, W.; Ji, Y.; Guo, Y.; Wang, Q. Formation of PdPt alloy nanodots on gold nanorods: Tuning oxidase-like activities via composition. Langmuir 2011, 27, 2796–2803. [Google Scholar] [CrossRef] [PubMed]
- Liu, K.; Abass, M.; Zou, Q.; Yan, X. Self-assembly of biomimetic light-harvesting complexes capable of hydrogen evolution. Green Energy Environ. 2017, 2, 58–63. [Google Scholar] [CrossRef]
- Xu, T.-Q.; Zhang, Q.-L.; Zheng, J.-N.; Lv, Z.-Y.; Wei, J.; Wang, A.-J.; Feng, J.-J. Simultaneous determination of dopamine and uric acid in the presence of ascorbic acid using Pt nanoparticles supported on reduced graphene oxide. Electrochim. Acta 2014, 115, 109–115. [Google Scholar] [CrossRef]
- Ravotto, L.; Mazzaro, R.; Natali, M.; Ortolani, L.; Morandi, V.; Ceroni, P.; Bergamini, G. Photoactive dendrimer for water photoreduction: A scaffold to combine sensitizers and catalysts. J. Phys. Chem. Lett. 2014, 5, 798–803. [Google Scholar] [CrossRef] [PubMed]
- Buczkowski, A.; Sekowski, S.; Grala, A.; Palecz, D.; Milowska, K.; Urbaniak, P.; Gabryelak, T.; Piekarski, H.; Palecz, B. Interaction between PAMAM-NH2 G4 dendrimer and 5-fluorouracil in aqueous solution. Int. J. Pharm. 2011, 408, 266–270. [Google Scholar] [CrossRef] [PubMed]
- Liu, B.; Fletcher, S.; Avadisian, M.; Gunning, P.T.; Gradinaru, C.C. A photostable, pH-invariant fluorescein derivative for single-molecule microscopy. J. Fluoresc. 2009, 19, 915–920. [Google Scholar] [CrossRef] [PubMed]
- Thote, J.; Aiyappa, H.B.; Deshpande, A.; Diaz Diaz, D.; Kurungot, S.; Banerjee, R. A Covalent Organic Framework–Cadmium Sulfide Hybrid as a Prototype Photocatalyst for Visible-Light-Driven Hydrogen Production. Chem. A Eur. J. 2014, 20, 15961–15965. [Google Scholar] [CrossRef]
- Min, S.; Lu, G. Promoted photoinduced charge separation and directional electron transfer over dispersible xanthene dyes sensitized graphene sheets for efficient solar H2 evolution. Int. J. Hydrogen Energy 2013, 38, 2106–2116. [Google Scholar] [CrossRef]
- Ghosh, S.K.; Kundu, S.; Mandal, M.; Pal, T. Silver and gold nanocluster catalyzed reduction of methylene blue by arsine in a micellar medium. Langmuir 2002, 18, 8756–8760. [Google Scholar] [CrossRef]
- Durán, B.; Hevia, S.; Molero, L.; Isaacs, M.; Bonardd, S.; Diaz, D.D.; Leiva, A.; Saldías, C. Novel 3D copper nanoparticles/chitosan/nanoporous alumina (CCSA) membranes with catalytic activity. Characterization and performance in the reduction of methylene blue. J. Clean. Prod. 2019, 210, 811–820. [Google Scholar] [CrossRef]
- Srinivasan, A.; Viraraghavan, T. Decolorization of dye wastewaters by biosorbents: A review. J. Environ. Manag. 2010, 91, 1915–1929. [Google Scholar] [CrossRef] [PubMed]
- Hai, F.I.; Yamamoto, K.; Fukushi, K. Hybrid treatment systems for dye wastewater. Crit. Rev. Environ. Sci. Technol. 2007, 37, 315–377. [Google Scholar] [CrossRef]
- Chatterjee, D.; Patnam, V.R.; Sikdar, A.; Joshi, P.; Misra, R.; Rao, N.N. Kinetics of the decoloration of reactive dyes over visible light-irradiated TiO2 semiconductor photocatalyst. J. Hazard. Mater. 2008, 156, 435–441. [Google Scholar] [CrossRef] [PubMed]
- Li, S.; Liu, C.; Yin, G.; Luo, J.; Zhang, Z.; Xie, Y. Supramolecular imprinted electrochemical sensor for the neonicotinoid insecticide imidacloprid based on double amplification by Pt-In catalytic nanoparticles and a Bromophenol blue doped molecularly imprinted film. Microchim. Acta 2016, 183, 3101–3109. [Google Scholar] [CrossRef]
- Hu, Y.-J.; Liu, Y.; Zhao, R.-M.; Dong, J.-X.; Qu, S.-S. Spectroscopic studies on the interaction between methylene blue and bovine serum albumin. J. Photochem. Photobiol. A Chem. 2006, 179, 324–329. [Google Scholar] [CrossRef]














| State. | E (eV) | Transition | Coefficient | % | O Str |
|---|---|---|---|---|---|
| 1 | 3.8279 | H - L | 0.69893 | 97.7 | 0.0017 |
| 2 | 3.9071 | H-1 - L | 0.69678 | 97.1 | 0.0341 |
| 3 | 4.1436 | H - L+1 | 0.70211 | 98.6 | 0.0000 |
| 4 | 4.2049 | H-2 - L | 0.30351 | 18.6 | 0.1421 |
| H-1 - L+1 | 0.61678 | 76.1 | |||
| 5 | 4.2699 | H-6 - L+1 | 0.10820 | 2.34 | 0.1503 |
| H-2 - L | 0.59676 | 71.2 | |||
| H-2 - L+1 | 0.12635 | 1.60 | |||
| H-1 - L+1 | −0.32414 | 21.0 | |||
| 6 | 4.3140 | H-3 - L | 0.69212 | 95.8 | 0.0015 |
| 7 | 4.4667 | H-4 - L | −0.35090 | 24.6 | 0.0000 |
| H-4 - L+1 | 0.59270 | 70.3 | |||
| H-4 - L+9 | −0.10654 | 2.3 | |||
| 8 | 4.4864 | H-4 - L+4 | 0.13914 | 3.9 | 0.4717 |
| H-2 - L | −0.11043 | 2.4 | |||
| H-2 - L+1 | 0.59258 | 70.2 | |||
| H - L+2 | −0.30932 | 19.1 | |||
| 9 | 4.5652 | H-2 - L | −0.10164 | 2.1 | 0.0171 |
| H-2 - L+1 | 0.28814 | 16.6 | |||
| H-1 - L+3 | −0.23080 | 10.7 | |||
| H - L+2 | 0.56100 | 62.9 | |||
| 10 | 4.6170 | H-3 - L+1 | 0.68892 | 94.9 | 0.0001 |
© 2019 by the authors. Licensee MDPI, Basel, Switzerland. This article is an open access article distributed under the terms and conditions of the Creative Commons Attribution (CC BY) license (http://creativecommons.org/licenses/by/4.0/).
Share and Cite
Martínez, N.P.; Inostroza-Rivera, R.; Durán, B.; Molero, L.; Bonardd, S.; Ramírez, O.; Isaacs, M.; Díaz Díaz, D.; Leiva, A.; Saldías, C. Exploring the Effect of the Irradiation Time on Photosensitized Dendrimer-Based Nanoaggregates for Potential Applications in Light-Driven Water Photoreduction. Nanomaterials 2019, 9, 1316. https://doi.org/10.3390/nano9091316
Martínez NP, Inostroza-Rivera R, Durán B, Molero L, Bonardd S, Ramírez O, Isaacs M, Díaz Díaz D, Leiva A, Saldías C. Exploring the Effect of the Irradiation Time on Photosensitized Dendrimer-Based Nanoaggregates for Potential Applications in Light-Driven Water Photoreduction. Nanomaterials. 2019; 9(9):1316. https://doi.org/10.3390/nano9091316
Chicago/Turabian StyleMartínez, Natalia P., Ricardo Inostroza-Rivera, Boris Durán, Leonard Molero, Sebastián Bonardd, Oscar Ramírez, Mauricio Isaacs, David Díaz Díaz, Angel Leiva, and César Saldías. 2019. "Exploring the Effect of the Irradiation Time on Photosensitized Dendrimer-Based Nanoaggregates for Potential Applications in Light-Driven Water Photoreduction" Nanomaterials 9, no. 9: 1316. https://doi.org/10.3390/nano9091316
APA StyleMartínez, N. P., Inostroza-Rivera, R., Durán, B., Molero, L., Bonardd, S., Ramírez, O., Isaacs, M., Díaz Díaz, D., Leiva, A., & Saldías, C. (2019). Exploring the Effect of the Irradiation Time on Photosensitized Dendrimer-Based Nanoaggregates for Potential Applications in Light-Driven Water Photoreduction. Nanomaterials, 9(9), 1316. https://doi.org/10.3390/nano9091316
