Preparation of Fe3O4@polyoxometalates Nanocomposites and Their Efficient Adsorption of Cationic Dyes from Aqueous Solution
Abstract
1. Introduction
2. Experiment Section
2.1. Materials and Measurements
2.2. Preparation of [Ni(HL)2]2H2[P2Mo5O23]·4H2O (1)
2.3. Preparation of [H2L]5H[P2Mo5O23]·12H2O (2)
2.4. Preparation of Nanocomposites Fe3O4@1 and Fe3O4@2
2.5. X-ray Crystallographic Study
2.6. Adsorption Experiments
3. Results and Discussion
3.1. Crystal Structure Descriptions of Hybrids 1–2
3.2. Fourier Transform Infrared (FT-IR) Spectroscopy
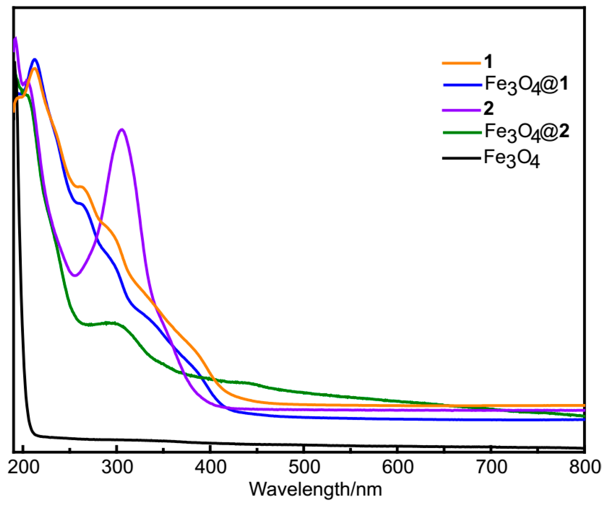
3.3. Ultraviolet–visible (UV–vis) Spectroscopy
3.4. Magnetic Properties of Fe3O4@1 and Fe3O4@2
3.5. Separation and Redispersion Process of Fe3O4@1 and Fe3O4@2
3.6. The Morphology and Particle Size Distribution of Fe3O4@1 and Fe3O4@2
3.7. Dye Adsorption Properties
4. Conclusions
Supplementary Materials
Author Contributions
Funding
Conflicts of Interest
References
- Zhang, L.; Zhao, Y.; Zhong, L.L.; Wang, Y.; Chai, S.N.; Yang, T.; Han, X.L. Cu2S-Cu-TiO2 mesoporous carbon composites for the degradation of high concentration of methyl orange under visible light. Appl. Surf. Sci. 2017, 422, 1093–1101. [Google Scholar] [CrossRef]
- Jing, F.F.; Liang, R.W.; Xiong, J.H.; Chen, R.; Zhang, S.Y.; Li, Y.H.; Wu, L. MIL-68(Fe) as an efficient visible-light-driven photocatalyst for the treatment of a simulated waste-water contain Cr(VI) and Malachite Green. Appl. Catal. B 2017, 206, 9–15. [Google Scholar] [CrossRef]
- Hoque, M.A.; Guzman, M.I. Photocatalytic activity: experimental features to report in heterogeneous photocatalysis. Materials 2018, 11, 1990. [Google Scholar] [CrossRef] [PubMed]
- Asahi, R.; Morikawa, T.; Ohwaki, T. Visible-light photocatalysis in nitrogendoped titanium oxides. Science 2001, 293, 269–271. [Google Scholar] [CrossRef]
- Tong, H.; Ouyang, S.X.; Bi, Y.P. Nano-photocatalytic materials: Possibilities and challenges. Adv. Mater. 2012, 24, 229–251. [Google Scholar] [CrossRef]
- Lv, H.; Liu, Y.M.; Tang, H.B. Synergetic effect of MoS2 and graphene as cocatalysts for enhanced photocatalytic activity of BiPO4 nanoparticles. Appl. Surf. Sci. 2017, 425, 100–106. [Google Scholar] [CrossRef]
- Chen, X.B.; Mao, S.S. Titanium dioxide nanomaterials: synthesis, properties, modifications, and applications. Chem. Rev. 2007, 107, 2891–2959. [Google Scholar] [CrossRef]
- Chen, X.B.; Shen, S.H.; Guo, L.J.; Mao, S.S. Semiconductor-based photocatalytic hydrogen generation. Chem. Rev. 2010, 110, 6503–6570. [Google Scholar] [CrossRef]
- Kudo, A.; Miseki, Y. Heterogeneous photocatalyst materials for watersplitting. Chem. Soc. Rev. 2009, 38, 253–278. [Google Scholar] [CrossRef]
- Anastopoulos, I.; Bhatnagar, A.; Hameed, B.H.; Ok, Y.S.; Omirou, M. A review on waste-derived adsorbents from sugar industry for pollutant removal in water and wastewater. J. Mol. Liq. 2017, 240, 179–188. [Google Scholar] [CrossRef]
- Ahmed, M.J. Application of agricultural based activated carbons by microwave and conventional activations for basic dye adsorption: Review. J. Environ. Chem. Eng. 2016, 4, 89–99. [Google Scholar] [CrossRef]
- Zou, C.; Zhang, Z.J.; Xu, X.; Gong, Q.H.; Li, J.; Wu, C.D. A multifunctional organic-inorganic hybrid structure based on MnIII-porphyrin and polyoxometalate as a highly effective dye scavenger and heterogenous catalyst. J. Am. Chem. Soc. 2012, 134, 87–90. [Google Scholar] [CrossRef] [PubMed]
- Ji, Y.M.; Ma, C.G.; Li, J.; Zhao, H.Y.; Chen, Q.Q.; Li, M.X.; Liu, H.L. A magnetic adsorbent for the removal of cationic dyes from wastewater. Nanomaterials 2018, 8, 710. [Google Scholar] [CrossRef] [PubMed]
- Paul, L.; Dolai, M.; Panja, A.; Ali, M. Hydrothermal synthesis of two supramolecular inorganic–organic hybrid phosphomolybdates based on Ni(II) and Co(II) ions: Structural diversity and heterogeneous catalytic activities. New J. Chem. 2016, 40, 6931–6938. [Google Scholar] [CrossRef]
- Krishna, P.M.; Reddy, N.B.G.; Kottam, N.; Yallur, B.C.; Katreddi, H.R. Design and synthesis of metal complexes of (2E)-2-[(2E)-3-phenylprop-2-en-1-ylidene]hydrazinecarbothioamide and their photocatalytic degradation of methylene blue. Sci. World J. 2013, 2013, 828313. [Google Scholar] [CrossRef] [PubMed]
- Reddy, N.B.G.; Krishna, P.M.; Kottam, N. Novelmetal-organic photocatalysts: Synthesis, characterization and decomposition of organic dyes. Spectrochim. Acta A 2015, 137, 371–377. [Google Scholar] [CrossRef] [PubMed]
- Yavuz, E.; Tokalıoğlu, Ş.; Patat, Ş. Core–shell Fe3O4 polydopamine nanoparticles as sorbent for magnetic dispersive solid-phase extraction of copper from food samples. Food Chem. 2018, 263, 232–239. [Google Scholar] [CrossRef] [PubMed]
- Sricharoen, P.; Limchoowong, N.; Areerob, Y.; Nuengmatcha, P.; Techawongstienc, S.; Chanthai, S. Fe3O4/hydroxyapatite/graphene quantum dots as a novel nano-sorbent for preconcentration of copper residue in Thai food ingredients: Optimization of ultrasound-assisted magnetic solid phase extraction. Ultrason. Sonochem. 2017, 37, 83–93. [Google Scholar] [CrossRef] [PubMed]
- Liu, H.L.; Wu, J.H.; Min, J.H.; Zhang, X.Y.; Kim, Y.K. Tunable synthesis and multifunctionalities of Fe3O4–ZnO hybrid core-shell nanocrystals. Mater. Res. Bull. 2013, 48, 551–558. [Google Scholar] [CrossRef]
- Sheldrick, G.M. A short history of SHELX. Acta Cryst. 2008, A64, 112–122. [Google Scholar] [CrossRef]
- Caffrey, M. A comprehensive review of the lipid cubic phase or in meso method for crystallizing membrane and soluble proteins and complexes. Acta Cryst. 2015, F71, 3–18. [Google Scholar]
- Wei, X.; Huang, T.; Nie, J.; Yang, J.H.; Qi, X.D.; Zhou, Z.W.; Wang, Y. Bio-inspired functionalization of microcrystalline cellulose aerogel with high adsorption performance toward dyes. Carbohyd. Polym. 2018, 198, 546–555. [Google Scholar] [CrossRef]
- Wu, H.J.; Gao, H.Y.; Yang, Q.X.; Zhang, H.L.; Wang, D.S.; Zhang, W.J.; Yang, X.F. Removal of typical organic contaminants with a recyclable calcined chitosan-supported layered double hydroxide adsorbent: Kinetics and equilibrium isotherms. J. Chem. Eng. Data 2018, 63, 159–168. [Google Scholar] [CrossRef]
- Strandberg, R. The molecular and crystal structure of Na6Mo5P2O23(H2O)13, a compound containing sodium-coordinated pentamolybdodiphosphate anions. Acta Chem. Scand. 1973, 27, 1004–1018. [Google Scholar] [CrossRef]
- Han, M.D.; Niu, Y.J.; Wan, R.; Xu, Q.F.; Lu, J.K.; Ma, P.T.; Zhang, C.; Niu, J.Y.; Wang, J.P. A crown-shaped Ru-substituted arsenotungstate for selective oxidation of sulfides with hydrogen peroxide. Chem. Eur. J. 2018, 24, 11059–11066. [Google Scholar] [CrossRef]
- Li, J.; Guo, J.P.; Jia, J.G.; Ma, P.T.; Zhang, D.D.; Wang, J.P.; Niu, J.Y. Isopentatungstate-supported metal carbonyl derivative: Synthesis, characterization, and catalytic properties for alkene epoxidation. Dalton Trans. 2016, 45, 6726–6731. [Google Scholar] [CrossRef]
- Li, Z.L.; Wang, Y.; Zhang, L.C.; Wang, J.P.; You, W.S.; Zhu, Z.M. Three molybdophosphates based on Strandbergtype anions and Zn(II)-H2biim/H2O subunits: Syntheses, structures and catalytic properties. Dalton Trans. 2014, 43, 5840–5846. [Google Scholar] [CrossRef] [PubMed]
- Liang, Y.F.; Li, S.Z.; Yang, D.H.; Ma, P.T.; Niu, J.Y.; Wang, J.P. Controllable assembly of multicarboxylic acids functionalized heteropolyoxomolybdates and allochroic properties. J. Mater. Chem. C 2015, 3, 4632–4639. [Google Scholar] [CrossRef]
- Shi, Y.L.; Qiu, W.; Zheng, Y. Synthesis and characterization of a POM-based nanocomposite as a novel magnetic photocatalyst. J. Phys. Chem. Solids 2006, 67, 2409–2418. [Google Scholar] [CrossRef]
- Castellanos-Rubio, I.; Insausti, M.; Garaio, E.; de Muro, I.G.; Plazaola, F.; Rojo, T.; Lezama, L. Fe3O4 nanoparticles prepared by the seeded-growth route for hyperthermia: Electronmagnetic resonance as a key tool to evaluate size distribution in magnetic nanoparticles. Nanoscale 2014, 6, 7542–7552. [Google Scholar] [CrossRef]
- Fang, N.; Ji, Y.M.; Li, C.Y.; Wu, Y.Y.; Ma, C.G.; Liu, H.L.; Li, M.X. Synthesis and adsorption properties of [Cu(L)2(H2O)]H2[Cu(L)2(P2Mo5O23)]•4H2O/Fe3O4 nanocomposites. RSC Adv. 2017, 7, 25325–25333. [Google Scholar] [CrossRef]
- Hua, Y.N.; Xiao, J.; Zhang, Q.Q.; Cui, C.; Wang, C. Facile synthesis of surface-functionalized magnetic nanocomposites for effectively selective adsorption of cationic dyes. Nanoscale Res. Lett. 2018, 13, 99. [Google Scholar] [CrossRef]
- Ho, Y.S.; Mckay, G. Pseudo-second order model for sorption processes. Process Biochem. 1999, 34, 451–465. [Google Scholar] [CrossRef]
- He, J.C.; Li, J.; Du, W.; Han, Q.X.; Wang, Z.L.; Li, M.X. A mesoporous metal-organic framework: Potential advances in selective dye adsorption. J. Alloy. Compd. 2018, 750, 360–367. [Google Scholar] [CrossRef]
- Fu, N.J.; Li, L.T.; Liu, K.J.; Kim, C.K.; Li, J.; Zhu, T.; Li, J.H.; Tang, B.K. A choline chloride-acrylic acid deep eutectic solvent polymer based on Fe3O4 particles and MoS2 sheets (poly(ChCl-AA DES)@Fe3O4@MoS2) with specific recognition and good antibacterial properties for β-lactoglobulin in milk. Talanta 2019, 197, 567–577. [Google Scholar] [CrossRef] [PubMed]
- Schaepertoens, M.; Didaskalou, C.; Kim, J.F.; Livingston, A.G.; Szekely, G. Solvent recycle with imperfect membranes: A semi-continuous workaround for diafiltration. J. Membr. Sci. 2016, 514, 646–658. [Google Scholar] [CrossRef]
- Fodi, T.; Didaskalou, C.; Kupai, J.; Balogh, G.T.; Huszthy, P.; Szekely, G. Nanofiltration-enabled in situ solvent and reagent recycle for sustainable continuous-flow synthesis. Chem. Sustain. 2017, 10, 3435–3444. [Google Scholar] [CrossRef]












| Hybrids | 1 | 2 |
|---|---|---|
| Empirical formula | C32H50Ni2Mo5N16O27P2S4 | C40H80Mo5N20O35P2S5 |
| Formula weight | 1878.13 | 2103.15 |
| Temperature | 296(2) | 296(2) |
| Crystal system | Monoclinic | Monoclinic |
| space group | C/c | P2(1)/c |
| a/[Å] | 29.786(10) | 10.8531(6) |
| b/[Å] | 12.676(4) | 28.4792(16) |
| c/[Å] | 19.097(7) | 25.8460(15) |
| β[°] | 119.353(5) | 96.9100(10) |
| Z | 4 | 4 |
| Volume/[Å3] | 6285.0(4) | 7930.7(8) |
| Calculated density/[g·cm−3] | 1.972 | 1.745 |
| μ/[mm−1] | 1.825 | 1.034 |
| F(000) | 3672 | 4160 |
| Crystal size/mm3 | 0.21 × 0.18 × 0.17 | 0.23 × 0.23 × 0.20 |
| Theta range for data collection | 2.16–25.00 | 1.59–25.00 |
| Limiting indices | −35 ≤ h ≤ 32, −15 ≤ k ≤ 12, −21 ≤ l ≤ 22 | −12 ≤ h ≤ 12, −30 ≤ k ≤ 33, −27 ≤ l ≤ 30 |
| Data/restraints/parameters | 7788/398/788 | 13927/0/959 |
| Reflections collected/unique | 12,785/7788 [R(int) = 0.0261] | 40,316/13,927 [R(int) = 0.0328] |
| Goodness-of-fit on F2 | 1.100 | 1.020 |
| Final R indices [I ≥ 2σ(I)] | 0.0611, 0.1596 | 0.0468, 0.1451 |
| R indices (all data) | 0.1053, 0.2299 | 0.0610, 0.1539 |
| Largest diff. peak and hole/[e·Å−3] | 2.251, −1.288 | 2.951, −1.150 |
| MB (mg/L) | 10 | 15 | 20 | 25 | 30 |
|---|---|---|---|---|---|
| R2 | 0.99978 | 0.99996 | 0.99996 | 0.99979 | 0.9997 |
| Equations | Parameters | ||
|---|---|---|---|
| Langmuir | qm (mg g−1) | KL | R2 |
| 71.0 | 19.53 | 0.9968 | |
| Freundlich | n | KF | R2 |
| 0.90 | 17.82 | 0.9977 | |
© 2019 by the authors. Licensee MDPI, Basel, Switzerland. This article is an open access article distributed under the terms and conditions of the Creative Commons Attribution (CC BY) license (http://creativecommons.org/licenses/by/4.0/).
Share and Cite
Li, J.; Zhao, H.; Ma, C.; Han, Q.; Li, M.; Liu, H. Preparation of Fe3O4@polyoxometalates Nanocomposites and Their Efficient Adsorption of Cationic Dyes from Aqueous Solution. Nanomaterials 2019, 9, 649. https://doi.org/10.3390/nano9040649
Li J, Zhao H, Ma C, Han Q, Li M, Liu H. Preparation of Fe3O4@polyoxometalates Nanocomposites and Their Efficient Adsorption of Cationic Dyes from Aqueous Solution. Nanomaterials. 2019; 9(4):649. https://doi.org/10.3390/nano9040649
Chicago/Turabian StyleLi, Jie, Haiyan Zhao, Chenguang Ma, Qiuxia Han, Mingxue Li, and Hongling Liu. 2019. "Preparation of Fe3O4@polyoxometalates Nanocomposites and Their Efficient Adsorption of Cationic Dyes from Aqueous Solution" Nanomaterials 9, no. 4: 649. https://doi.org/10.3390/nano9040649
APA StyleLi, J., Zhao, H., Ma, C., Han, Q., Li, M., & Liu, H. (2019). Preparation of Fe3O4@polyoxometalates Nanocomposites and Their Efficient Adsorption of Cationic Dyes from Aqueous Solution. Nanomaterials, 9(4), 649. https://doi.org/10.3390/nano9040649

