Hybrid Metal Graphene-Based Tunable Plasmon-Induced Transparency in Terahertz Metasurface
Abstract
1. Introduction
2. Structural Design and Numerical Mode
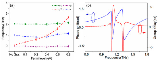
3. Results and Discussions
4. Conclusions
Author Contributions
Funding
Conflicts of Interest
References
- Alzetta, G. Induced transparency. Phys. Today 1997, 50, 36–42. [Google Scholar] [CrossRef]
- Papasimakis, N.; Fedotov, V.A.; Zheludev, N.; Prosvirnin, S. Metamaterial analog of electromagnetically induced transparency. Phys. Rev. Lett. 2008, 101, 253903. [Google Scholar] [CrossRef] [PubMed]
- Zhang, S.; Genov, D.A.; Wang, Y.; Liu, M.; Zhang, X. Plasmon-induced transparency in metamaterials. Phys. Rev. Lett. 2008, 101, 047401. [Google Scholar] [CrossRef] [PubMed]
- Liu, N.; Langguth, L.; Weiss, T.; Kästel, J.; Fleischhauer, M.; Pfau, T.; Giessen, H. Plasmonic analogue of electromagnetically induced transparency at the drude damping limit. Nat. Mater. 2009, 8, 758–762. [Google Scholar] [CrossRef] [PubMed]
- Liu, N.; Weiss, T.; Mesch, M.; Langguth, L.; Eigenthaler, U.; Hirscher, M.; Sonnichsen, C.; Giessen, H. Planar metamaterial analogue of electromagnetically induced transparency for plasmonic sensing. Nano Lett. 2009, 10, 1103–1107. [Google Scholar] [CrossRef] [PubMed]
- Lukin, M.; Imamoğlu, A. Controlling photons using electromagnetically induced transparency. Nature 2001, 413, 273–276. [Google Scholar] [CrossRef] [PubMed]
- Longdell, J.J.; Fraval, E.; Sellars, M.J.; Manson, N.B. Stopped light with storage times greater than one second using electromagnetically induced transparency in a solid. Phys. Rev. Lett. 2005, 95, 063601. [Google Scholar] [CrossRef] [PubMed]
- Gu, J.; Singh, R.; Liu, X.; Zhang, X.; Ma, Y.; Zhang, S.; Maier, S.A.; Tian, Z.; Azad, A.K.; Chen, H.-T. Active control of electromagnetically induced transparency analogue in terahertz metamaterials. Nat. Commun. 2012, 3, 1151. [Google Scholar] [CrossRef] [PubMed]
- Devi, K.M.; Sarma, A.K.; Chowdhury, D.R.; Kumar, G. Plasmon induced transparency effect through alternately coupled resonators in terahertz metamaterial. Opt. Express 2017, 25, 10484–10493. [Google Scholar] [CrossRef] [PubMed]
- Yahiaoui, R.; Manjappa, M.; Srivastava, Y.K.; Singh, R. Active control and switching of broadband electromagnetically induced transparency in symmetric metadevices. Appl. Phys. Lett. 2017, 111, 021101. [Google Scholar] [CrossRef]
- Yahiaoui, R.; Burrow, J.A.; Mekonen, S.M.; Sarangan, A.; Mathews, J.; Agha, I.; Searles, T.A. Electromagnetically induced transparency control in terahertz metasurfaces based on bright-bright mode coupling. Phys. Rev. B 2018, 97, 155403. [Google Scholar] [CrossRef]
- Burrow, J.A.; Yahiaoui, R.; Sarangan, A.; Agha, I.; Mathews, J.; Searles, T.A. Polarization-dependent electromagnetic responses of ultrathin and highly flexible asymmetric terahertz metasurfaces. Opt. Express 2017, 25, 32540–32549. [Google Scholar] [CrossRef]
- Lu, H.; Liu, X.; Mao, D. Plasmonic analog of electromagnetically induced transparency in multi-nanoresonator-coupled waveguide systems. Phys. Rev. A 2012, 85, 053803. [Google Scholar] [CrossRef]
- Yang, X.; Yu, M.; Kwong, D.-L.; Wong, C.W. All-optical analog to electromagnetically induced transparency in multiple coupled photonic crystal cavities. Phys. Rev. Lett. 2009, 102, 173902. [Google Scholar] [CrossRef] [PubMed]
- Wei, B.; Liu, H.; Ren, G.; Yang, Y.; Ye, S.; Pei, L.; Jian, S. Graphene based silicon–air grating structure to realize electromagnetically-induced-transparency and slow light effect. Phys. Lett. A 2017, 381, 160–165. [Google Scholar] [CrossRef]
- Lu, H.; Gan, X.; Mao, D.; Jia, B.; Zhao, J. Flexibly tunable high-quality-factor induced transparency in plasmonic systems. Sci. Rep. 2018, 8, 1558. [Google Scholar] [CrossRef] [PubMed]
- Fedotov, V.; Rose, M.; Prosvirnin, S.; Papasimakis, N.; Zheludev, N. Sharp trapped-mode resonances in planar metamaterials with a broken structural symmetry. Phys. Rev. Lett. 2007, 99, 147401. [Google Scholar] [CrossRef] [PubMed]
- Chiam, S.-Y.; Singh, R.; Rockstuhl, C.; Lederer, F.; Zhang, W.; Bettiol, A.A. Analogue of electromagnetically induced transparency in a terahertz metamaterial. Phys. Rev. B 2009, 80, 153103. [Google Scholar] [CrossRef]
- Yang, Y.; Kravchenko, I.I.; Briggs, D.P.; Valentine, J. All-dielectric metasurface analogue of electromagnetically induced transparency. Nat. Commun. 2014, 5, 5753. [Google Scholar] [CrossRef] [PubMed]
- Xu, Q.; Su, X.; Ouyang, C.; Xu, N.; Cao, W.; Zhang, Y.; Li, Q.; Hu, C.; Gu, J.; Tian, Z. Frequency-agile electromagnetically induced transparency analogue in terahertz metamaterials. Opt. Lett. 2016, 41, 4562–4565. [Google Scholar] [CrossRef] [PubMed]
- Wu, D.; Liu, Y.; Yu, L.; Yu, Z.; Chen, L.; Li, R.; Ma, R.; Liu, C.; Zhang, J.; Ye, H. Plasmonic metamaterial for electromagnetically induced transparency analogue and ultra-high figure of merit sensor. Sci. Rep. 2017, 7, 45210. [Google Scholar] [CrossRef] [PubMed]
- Rana, F.; George, P.A.; Strait, J.H.; Dawlaty, J.; Shivaraman, S.; Chandrashekhar, M.; Spencer, M.G. Carrier recombination and generation rates for intravalley and intervalley phonon scattering in graphene. Phys. Rev. B 2009, 79, 115447. [Google Scholar] [CrossRef]
- Yee, K.-J.; Kim, J.-H.; Jung, M.H.; Hong, B.H.; Kong, K.-J. Ultrafast modulation of optical transitions in monolayer and multilayer graphene. Carbon 2011, 49, 4781–4785. [Google Scholar] [CrossRef]
- Li, W.; Chen, B.; Meng, C.; Fang, W.; Xiao, Y.; Li, X.; Hu, Z.; Xu, Y.; Tong, L.; Wang, H. Ultrafast all-optical graphene modulator. Nano Lett. 2014, 14, 955–959. [Google Scholar] [CrossRef] [PubMed]
- Schedin, F.; Geim, A.; Morozov, S.; Hill, E.; Blake, P.; Katsnelson, M.; Novoselov, K. Detection of individual gas molecules adsorbed on graphene. Nat. Mater. 2007, 6, 652–655. [Google Scholar] [CrossRef] [PubMed]
- Koppens, F.H.; Chang, D.E.; Garcia de Abajo, F.J. Graphene plasmonics: A platform for strong light–matter interactions. Nano Lett. 2011, 11, 3370–3377. [Google Scholar] [CrossRef] [PubMed]
- Ju, L.; Geng, B.; Horng, J.; Girit, C.; Martin, M.; Hao, Z.; Bechtel, H.A.; Liang, X.; Zettl, A.; Shen, Y.R. Graphene plasmonics for tunable terahertz metamaterials. Nat. Nanotechnol. 2011, 6, 630–634. [Google Scholar] [CrossRef] [PubMed]
- Vakil, A.; Engheta, N. Transformation optics using graphene. Science 2011, 332, 1291–1294. [Google Scholar] [CrossRef] [PubMed]
- Zhao, X.; Yuan, C.; Zhu, L.; Yao, J. Graphene-based tunable terahertz plasmon-induced transparency metamaterial. Nanoscale 2016, 8, 15273–15280. [Google Scholar] [CrossRef] [PubMed]
- Zhao, X.; Yuan, C.; Lv, W.; Xu, S.; Yao, J. Plasmon-induced transparency in metamaterial based on graphene and split-ring resonators. IEEE Photonics Technol. Lett. 2015, 27, 1321–1324. [Google Scholar] [CrossRef]
- Ding, J.; Arigong, B.; Ren, H.; Zhou, M.; Shao, J.; Lu, M.; Chai, Y.; Lin, Y.; Zhang, H. Tuneable complementary metamaterial structures based on graphene for single and multiple transparency windows. Sci. Rep. 2014, 4, 6128. [Google Scholar] [CrossRef] [PubMed]
- Tang, W.; Wang, L.; Chen, X.; Liu, C.; Yu, A.; Lu, W. Dynamic metamaterial based on the graphene split ring high-q fano-resonnator for sensing applications. Nanoscale 2016, 8, 15196–15204. [Google Scholar] [CrossRef] [PubMed]
- He, X.; Lin, F.; Liu, F.; Shi, W. Terahertz tunable graphene fano resonance. Nanotechnology 2016, 27, 485202. [Google Scholar] [CrossRef] [PubMed]
- Liu, C.; Zha, S.; Liu, P.; Yang, C.; Zhou, Q. Electrical manipulation of electromagnetically induced transparency for slow light purpose based on metal-graphene hybrid metamaterial. Appl. Sci. 2018, 8, 2672. [Google Scholar] [CrossRef]
- Liu, T.; Zhou, C.; Cheng, L.; Jiang, X.; Wang, G.; Xu, C.; Xiao, S. Actively tunable slow light in a terahertz hybrid metal-graphene metamaterial. arXiv, 2018; arXiv:1806.06600. [Google Scholar] [CrossRef]
- Zhang, Z.; Yang, J.; He, X.; Han, Y.; Zhang, J.; Huang, J.; Chen, D.; Xu, S. Active control of broadband plasmon-induced transparency in a terahertz hybrid metal–graphene metamaterial. Rsc Adv. 2018, 8, 27746–27753. [Google Scholar] [CrossRef]
- He, X.; Huang, Y.; Yang, X.; Zhu, L.; Wu, F.; Jiang, J. Tunable electromagnetically induced transparency based on terahertz graphene metamaterial. Rsc Adv. 2017, 7, 40321–40326. [Google Scholar] [CrossRef]
- Lao, C.; Liang, Y.; Wang, X.; Fan, H.; Wang, F.; Meng, H.; Guo, J.; Liu, H.; Wei, Z. Dynamically tunable resonant strength in electromagnetically induced transparency (eit) analogue by hybrid metal-graphene metamaterials. Nanomaterials 2019, 9, 171. [Google Scholar] [CrossRef] [PubMed]
- Xiao, S.; Wang, T.; Liu, T.; Yan, X.; Li, Z.; Xu, C. Active modulation of electromagnetically induced transparency analogue in terahertz hybrid metal-graphene metamaterials. Carbon 2018, 126, 271–278. [Google Scholar] [CrossRef]
- Yan, X.; Wang, T.; Xiao, S.; Liu, T.; Hou, H.; Cheng, L.; Jiang, X. Dynamically controllable plasmon induced transparency based on hybrid metal-graphene metamaterials. Sci. Rep. 2017, 7, 13917. [Google Scholar] [CrossRef] [PubMed]
- Ordal, M.A.; Bell, R.J.; Alexander, R.W.; Long, L.L.; Querry, M.R. Optical properties of fourteen metals in the infrared and far infrared: Al, Co, Cu, Au, Fe, Pb, Mo, Ni, Pd, Pt, Ag, Ti, V, and W. Appl. Opt. 1985, 24, 4493–4499. [Google Scholar] [CrossRef] [PubMed]
- He, X. Tunable terahertz graphene metamaterials. Carbon 2015, 82, 229–237. [Google Scholar] [CrossRef]
- Vasić, B.; Jakovljević, M.M.; Isić, G.; Gajić, R. Tunable metamaterials based on split ring resonators and doped graphene. Appl. Phys. Lett. 2013, 103, 011102. [Google Scholar] [CrossRef]
- Huang, Y.; Yao, Z.; Hu, F.; Liu, C.; Yu, L.; Jin, Y.; Xu, X. Tunable circular polarization conversion and asymmetric transmission of planar chiral graphene-metamaterial in terahertz region. Carbon 2017, 119, 305–313. [Google Scholar] [CrossRef]
- Xiao, S.; Wang, T.; Liu, Y.; Xu, C.; Han, X.; Yan, X. Tunable light trapping and absorption enhancement with graphene ring arrays. Phys. Chem. Chem. Phys. 2016, 18, 26661–26669. [Google Scholar] [CrossRef] [PubMed]
- Xiao, S.; Wang, T.; Jiang, X.; Yan, X.; Cheng, L.; Wang, B.; Xu, C. Strong interaction between graphene layer and fano resonance in terahertz metamaterials. J. Phys. D Appl. Phys. 2017, 50, 195101. [Google Scholar] [CrossRef]
- Luk’yanchuk, B.; Zheludev, N.I.; Maier, S.A.; Halas, N.J.; Nordlander, P.; Giessen, H.; Chong, C.T. The fano resonance in plasmonic nanostructures and metamaterials. Nat. Mater. 2010, 9, 707–715. [Google Scholar] [CrossRef] [PubMed]
- Lu, Y.; Xu, H.; Rhee, J.Y.; Jang, W.H.; Ham, B.S.; Lee, Y. Magnetic plasmon resonance: Underlying route to plasmonic electromagnetically induced transparency in metamaterials. Phys. Rev. B 2010, 82, 195112. [Google Scholar] [CrossRef]
- Fleischhauer, M.; Imamoglu, A.; Marangos, J.P. Electromagnetically induced transparency: Optics in coherent media. Rev. Mod. Phys. 2005, 77, 633–673. [Google Scholar] [CrossRef]
- Yannopapas, V.; Paspalakis, E.; Vitanov, N.V. Electromagnetically induced transparency and slow light in an array of metallic nanoparticles. Phys. Rev. B 2009, 80, 035104. [Google Scholar] [CrossRef]
- Luo, W.; Cai, W.; Xiang, Y.; Wang, L.; Ren, M.; Zhang, X.; Xu, J. Flexible modulation of plasmon-induced transparency in a strongly coupled graphene grating-sheet system. Opt. Express 2016, 24, 5784–5793. [Google Scholar] [CrossRef] [PubMed]






| Ef | γ1 | γ2 | δ | κ |
|---|---|---|---|---|
| No Gra. | 2.06 | 0.09398 | 0 | 1.031 |
| 0.1 ev | 2.038 | 0.38 | 0.003 | 0.8877 |
| 0.2 ev | 2.049 | 0.613 | −0.05118 | 0.8346 |
| 0.4 ev | 2.025 | 0.9447 | −0.07163 | 0.85 |
| 0.6 ev | 2.10 | 1.62 | 0.003 | 1.091 |
| 0.8 ev | 2.17 | 2.66 | −0.02 | 1.17 |
| Structure | Working Band | Q-Factor | Modulation Depth (MD) | Group Delay | Ref and Year |
|---|---|---|---|---|---|
| a CW, a pair of SRRs integrating photoactive silicon (Si) | 0.4~1.2 THz | 0.9 to 0.3 | [8] 2012 | ||
| a rectangular graphene antenna and a continuous graphene wire | 2~5.0 THz | 14.8 | 0.8 to 0.4 | [29] 2016 | |
| a CW, asymmetric split ring (ASR) and a continuous graphene wire | 0.7~1.2 THz | 0.8 to 0.3 | 43 ps | [40] 2017 | |
| a CW, four U-shaped (USRs) and monolayer graphene sheets | 0.5~1.5 THz | 0.72 to 0 | 0.76 ps | [36] 2018 | |
| a CW, a pair of SRRs and a continuous graphene wire | 0.4~1.0 THz | 0.9 to 0.0 | 5.72 ps | [39] 2018 | |
| a CW, a pair of SRRs with graphene strips | 0.2~1.0 THz | 0.9 to 0.0 | 4.2 ps | [35] 2019 | |
| a CW, a SR resonator and a continuous graphene wire | 0.8~2.3 THz | 0.8 to 0.2 | [38] 2019 |
© 2019 by the authors. Licensee MDPI, Basel, Switzerland. This article is an open access article distributed under the terms and conditions of the Creative Commons Attribution (CC BY) license (http://creativecommons.org/licenses/by/4.0/).
Share and Cite
Wang, X.; Meng, H.; Deng, S.; Lao, C.; Wei, Z.; Wang, F.; Tan, C.; Huang, X. Hybrid Metal Graphene-Based Tunable Plasmon-Induced Transparency in Terahertz Metasurface. Nanomaterials 2019, 9, 385. https://doi.org/10.3390/nano9030385
Wang X, Meng H, Deng S, Lao C, Wei Z, Wang F, Tan C, Huang X. Hybrid Metal Graphene-Based Tunable Plasmon-Induced Transparency in Terahertz Metasurface. Nanomaterials. 2019; 9(3):385. https://doi.org/10.3390/nano9030385
Chicago/Turabian StyleWang, Xianjun, Hongyun Meng, Shuying Deng, Chaode Lao, Zhongchao Wei, Faqiang Wang, Chunhua Tan, and Xuguang Huang. 2019. "Hybrid Metal Graphene-Based Tunable Plasmon-Induced Transparency in Terahertz Metasurface" Nanomaterials 9, no. 3: 385. https://doi.org/10.3390/nano9030385
APA StyleWang, X., Meng, H., Deng, S., Lao, C., Wei, Z., Wang, F., Tan, C., & Huang, X. (2019). Hybrid Metal Graphene-Based Tunable Plasmon-Induced Transparency in Terahertz Metasurface. Nanomaterials, 9(3), 385. https://doi.org/10.3390/nano9030385

