Colorimetric Method for Sensitive Detection of Microcystin-LR Using Surface Copper Nanoparticles of Polydopamine Nanosphere as Turn-On Probe
Abstract
1. Introduction
2. Materials and Methods
2.1. Materials
2.2. Equipment
2.3. Label Preparation
2.4. Preparation of Magnetic Probes
2.5. Sensor Fabrication
3. Results and Discussion
3.1. Characterization of Magnetic Beads and PDA/CuNP Hybrids
3.2. Proof of Concept for Proposed Sensor
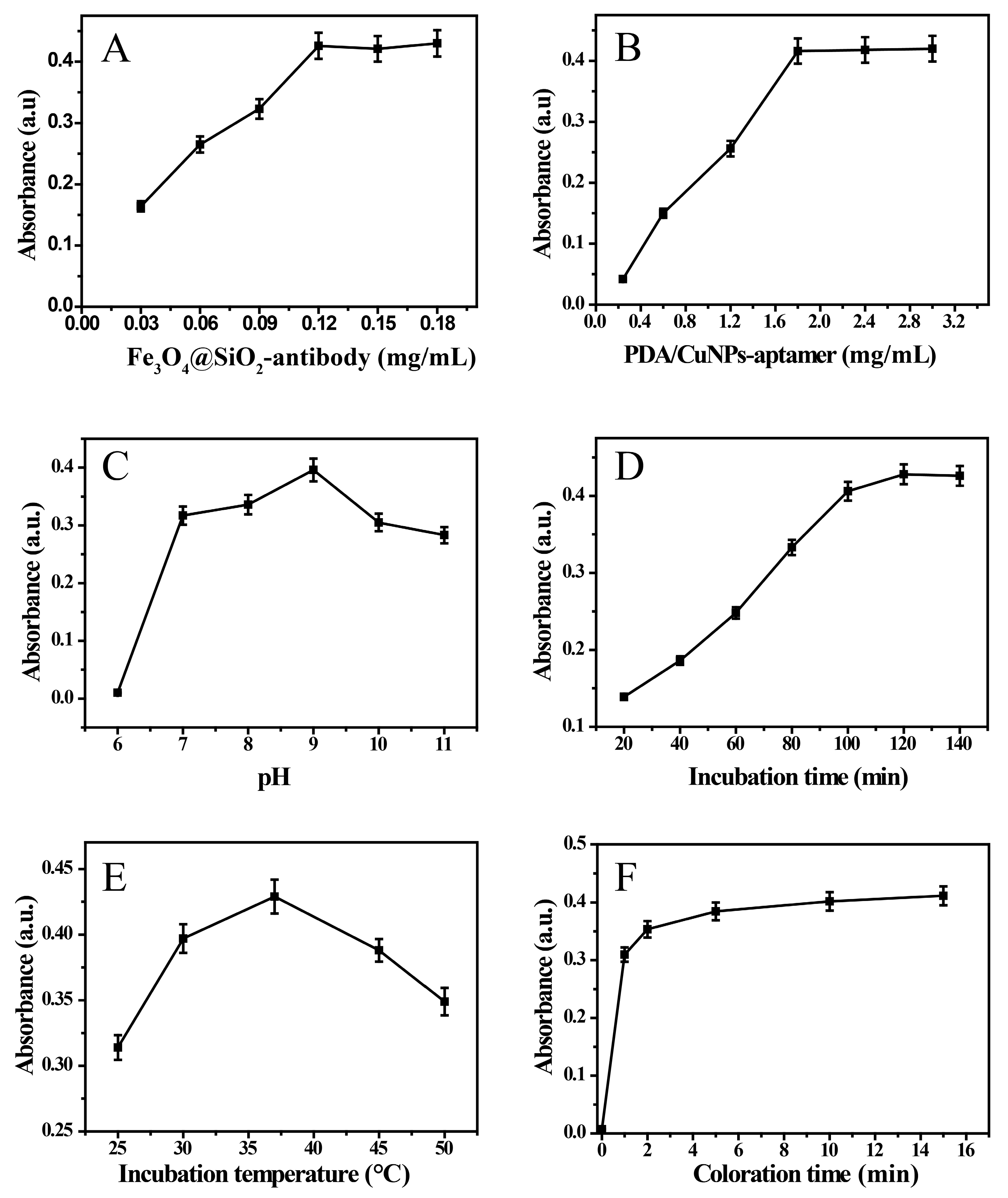
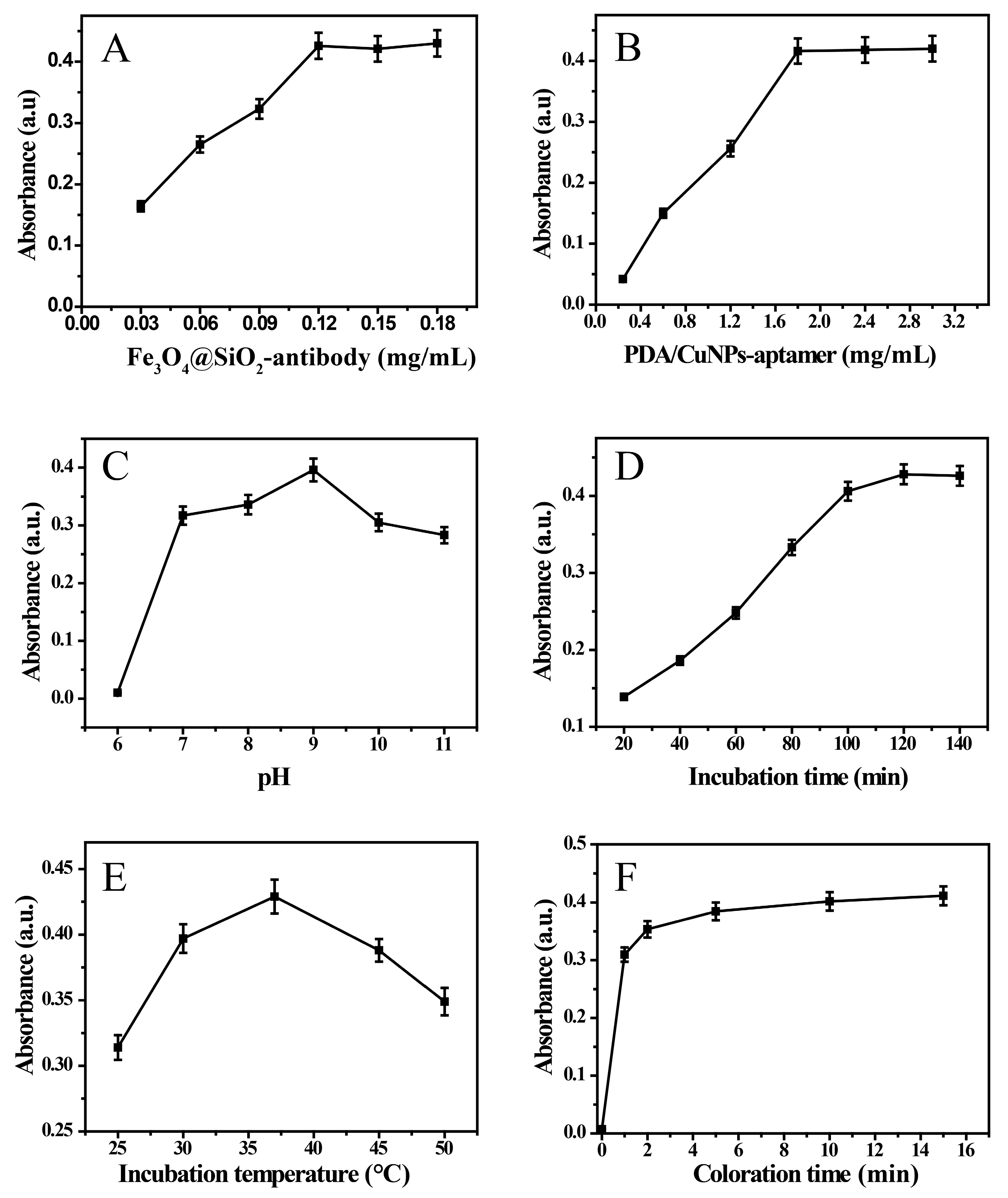
3.3. Optimization of Conditions
4. Analytical Performance of MC-LR Sensor
4.1. Calibration Curves
4.2. Selectivity, Reproducibility and Stability of MC-LR Sensor
4.3. Analytical Application of Fabricated Sensor
4.4. Comparison of Analytical Performance
5. Conclusions
Author Contributions
Funding
Conflicts of Interest
References
- Fischer, W.J.; Dietrich, D.R. Toxicity of the cyanobacterial cyclic heptapeptide toxins microcystin-LR and -RR in early life-stages of the African clawed frog (Xenopus laevis). Aquat. Toxicol. 2000, 49, 189–198. [Google Scholar] [CrossRef]
- Singh, S.; Srivastava, A.; Oh, H.M.; Ahn, C.Y.; Choi, G.G.; Asthana, R.K. Recent trends in development of biosensors for detection of microcystin. Toxicon 2012, 60, 878–894. [Google Scholar] [CrossRef] [PubMed]
- Li, X.; Cheng, R.; Shi, H.; Tang, B.; Xiao, H.; Zhao, G. A simple highly sensitive and selective aptamer-based colorimetric sensor for environmental toxins microcystin-LR in water samples. J. Hazard. Mater. 2016, 304, 474–480. [Google Scholar] [CrossRef] [PubMed]
- Preece, E.P.; Hardy, F.J.; Moore, B.C.; Bryan, M. A review of microcystin detections in Estuarine and Marine waters: Environmental implications and human health risk. Harmful Algae 2017, 61, 31–45. [Google Scholar] [CrossRef]
- Eissa, S.; Ng, A.; Siaj, M.; Zourob, M. Label-free voltammetric aptasensor for the sensitive detection of microcystin-LR using graphene-modified electrodes. Anal. Chem. 2014, 86, 7551–7557. [Google Scholar] [CrossRef] [PubMed]
- Zhang, J.; Lei, J.; Xu, C.; Ding, L.; Ju, H. Carbon nanohorn sensitized electrochemical immunosensor for rapid detection of microcystin-LR. Anal. Chem. 2010, 82, 1117–1122. [Google Scholar] [CrossRef] [PubMed]
- Zhang, J.; Xiong, Z.; Chen, Z. Ultrasensitive electrochemical microcystin-LR immunosensor using gold nanoparticle functional polypyrrole microsphere catalyzed silver deposition for signal amplification. Sens. Actuators B Chem. 2017, 246, 623–630. [Google Scholar] [CrossRef]
- Gan, C.; Wang, B.; Huang, J.; Qileng, A.; He, Z.; Lei, H.; Liu, W.; Liu, Y. Multiple amplified enzyme-free electrochemical immunosensor based on G-quadruplex/hemin functionalized mesoporous silica with redox-active intercalators for microcystin-LR detection. Biosens. Bioelectron. 2017, 98, 126–133. [Google Scholar] [CrossRef] [PubMed]
- Pang, P.; Teng, X.; Chen, M.; Zhang, Y.; Wang, H.; Yang, C.; Yang, W.; Barrow, C.J. Ultrasensitive enzyme-free electrochemical immunosensor for microcystin-LR using molybdenum disulfide/gold nanoclusters nanocomposites as platform and Au@Pt core-shell nanoparticles as signal enhancer. Sens. Actuat. B Chem. 2018, 266, 400–407. [Google Scholar] [CrossRef]
- Wei, J.; Qileng, A.; Yan, Y.; Lei, H.; Zhang, S.; Liu, W.; Liu, Y. A novel visible-light driven photoelectrochemical immunosensor based on multi-amplification strategy for ultrasensitive detection of microcystin-LR. Anal. Chim. Acta 2017, 994, 82–91. [Google Scholar] [CrossRef] [PubMed]
- Chen, J.; Gao, P.; Wang, H.; Han, L.; Zhang, Y.; Wang, P.; Jia, N. PPy/Cu2O molecular imprinting composite film based visible light-responsive photoelectrochemical sensor for microcystin-LR. J. Mater. Chem. C 2018, 6, 3937–3944. [Google Scholar] [CrossRef]
- Qileng, A.; Cai, Y.; Wei, J.; Lei, H.; Liu, W.; Zhang, S.; Liu, Y. Construction of CdS/B-TiO2 nanorods photoelectrochemical immunosensor for the detection of microcystin-LR using SiO2 @G-quadruplex as multi-amplifier. Sens. Actuators B Chem. 2018, 254, 727–735. [Google Scholar] [CrossRef]
- Du, X.; Jiang, D.; Li, H.; Hao, N.; You, T.; Wang, K. An intriguing signal-off responsive photoelectrochemical aptasensor for ultrasensitive detection of microcystin-LR and its mechanism study. Sens. Actuators B Chem. 2018, 259, 316–324. [Google Scholar] [CrossRef]
- Hu, C.; Gan, N.; Chen, Y.; Bi, L.; Zhang, X.; Song, L. Detection of microcystins in environmental samples using surface plasmon resonance biosensor. Talanta 2009, 80, 407–410. [Google Scholar] [CrossRef] [PubMed]
- Lv, J.; Zhao, S.; Wu, S.; Wang, Z. Upconversion nanoparticles grafted molybdenum disulfide nanosheets platform for microcystin-LR sensing. Biosens. Bioelectron. 2017, 90, 203–209. [Google Scholar] [CrossRef] [PubMed]
- Lvova, L.; Guanais, C.G.; Prodi, L.; Lombardo, M.; Zaccheroni, N.; Viaggiu, E.; Congestri, R.; Guzzella, L.; Pozzoni, F.; Di, C.N. Non-enzymatic portable optical sensors for microcystin-LR. Chem. Commun. 2018, 54, 2747–2750. [Google Scholar] [CrossRef] [PubMed]
- Zhu, Y.; Xu, L.; Ma, W.; Chen, W.; Yan, W.; Kuang, H.; Wang, L.; Xu, C. G-quadruplex DNAzyme-based microcystin-LR (toxin) determination by a novel immunosensor. Biosens. Bioelectron. 2011, 26, 4393–4398. [Google Scholar] [CrossRef] [PubMed]
- Abnous, K.; Danesh, N.M.; Ramezani, M.; Taghdisi, S.M. Colorimetric determination of the microcystin leucine-arginine based on the use of a hairpin aptamer, graphene oxide and Methylene Blue acting as an optical probe. Microchim. Acta 2017, 184, 4451–4457. [Google Scholar] [CrossRef]
- Neumann, A.C.; Wang, X.; Niessner, R.; Knopp, D. Determination of microcystin-LR in surface water by a magnetic bead-based colorimetric immunoassay using antibody-conjugated gold nanoparticles. Anal. Method 2016, 8, 57. [Google Scholar] [CrossRef]
- Oztekin, Y.; Tok, M.; Bilici, E.; Mikoliunaite, L.; Yazicigil, Z.; Ramanaviciene, A.; Ramanavicius, A. Copper nanoparticle modified carbon electrode for determination of dopamine. Electrochim. Acta 2012, 76, 201–207. [Google Scholar] [CrossRef]
- Baniukevic, J.; Boyaci, I.H.; Bozkurt, A.G.; Tamer, U.; Ramanavicius, A.; Ramanaviciene, A. Magnetic gold nanoparticles in SERS-based sandwich immunoassay for antigen detection by well oriented antibodies. Biosens. Bioelectron. 2013, 43, 281–288. [Google Scholar] [CrossRef] [PubMed]
- Han, C.; Doepke, A.; Cho, W.; Likodimos, V.; de la Cruz, A.A.; Back, T.; Heineman, W.R.; Halsall, H.B.; Shanov, V.N.; Schulz, M.J.; et al. A Multiwalled-Carbon-Nanotube-Based Biosensor for Monitoring Microcystin-LR in Sources of Drinking Water Supplies. Adv. Funct. Mater. 2013, 23, 1807–1816. [Google Scholar] [CrossRef]
- Zanato, N.; Talamini, L.; Silva, T.R.; Vieira, I.C. Microcystin-LR label-free immunosensor based on exfoliated graphite nanoplatelets and silver nanoparticles. Talanta 2017, 175, 38–45. [Google Scholar] [CrossRef] [PubMed]
- Ng, A.; Chinnappan, R.; Eissa, S.; Liu, H.; Tlili, C.; Zourob, M. Selection, characterization and biosensing application of high affinity congener-specific microcystin-targeting aptamers. Environ. Sci. Technol. 2012, 46, 10697–10703. [Google Scholar] [CrossRef] [PubMed]
- Ai, K.; Liu, Y.; Ruan, C.; Lu, L.; Lu, G.M. Sp2 C-dominant N-doped carbon sub-micrometer spheres with a tunable size: A versatile platform for highly efficient oxygen-reduction catalysts. Adv. Mater. 2013, 25, 998–1003. [Google Scholar] [CrossRef] [PubMed]
- Young Hwan, K.; Don Keun, L.; Hyun Gil, C.; Woo, K.C.; Cheol, K.Y.; Young Soo, K. Preparation and characterization of the antibacterial Cu nanoparticle formed on the surface of SiO2 nanoparticles. J. Phys. Chem. B 2006, 110, 24923–24928. [Google Scholar]
- Cui, R.; Liu, C.; Shen, J.; Gao, D.; Zhu, J.; Chen, H. Gold Nanoparticle-Colloidal Carbon Nanosphere Hybrid Material: Preparation, Characterization and Application for an Amplified Electrochemical Immunoassay. Adv. Funct. Mater. 2008, 18, 2197–2204. [Google Scholar] [CrossRef]
- Deng, Y.; Qi, D.; Deng, C.; Zhang, X.; Zhao, D. Superparamagnetic high-magnetization microspheres with an Fe3O4@SiO2 core and perpendicularly aligned mesoporous SiO2 shell for removal of microcystins. J. Am. Chem. Soc. 2008, 130, 28–29. [Google Scholar] [CrossRef] [PubMed]
- Men, H.F.; Liu, H.Q.; Zhang, Z.L.; Huang, J.; Zhang, J.; Zhai, Y.Y.; Li, L. Synthesis, properties and application research of atrazine Fe3O4@SiO2 magnetic molecularly imprinted polymer. Environ. Sci. Pollut. Res. 2012, 19, 2271–2280. [Google Scholar] [CrossRef] [PubMed]
- Hu, R.R.; Yin, Z.Z.; Zeng, Y.B.; Zhang, J.; Liu, H.Q.; Shao, Y.; Ren, S.B.; Li, L. A novel biosensor for Escherichia coli O157:H7 based on fluorescein-releasable biolabels. Biosens. Bioelectron. 2016, 78, 31–36. [Google Scholar] [CrossRef] [PubMed]
- Long, F.; He, M.; Zhu, A.N.; Shi, H.C. Portable optical immunosensor for highly sensitive detection of microcystin-LR in water samples. Biosens. Bioelectron. 2009, 24, 2346–2351. [Google Scholar] [CrossRef] [PubMed]
- Yu, H.W.; Jang, A.; Kim, L.H.; Kim, S.J.; Kim, I.S. Bead-Based Competitive Fluorescence Immunoassay for Sensitive and Rapid Diagnosis of Cyanotoxin Risk in Drinking Water. Environ. Sci. Technol. 2011, 45, 7804–7811. [Google Scholar] [CrossRef] [PubMed]
- Li, Y.; Sun, J.; Wu, L.; Ji, J.; Sun, X.; Qian, Y. Surface-enhanced fluorescence immunosensor using Au nano-crosses for the detection of microcystin-LR. Biosens. Bioelectron. 2014, 62, 255–260. [Google Scholar] [CrossRef] [PubMed]
- Zhou, L.; Zhu, A.; Lou, X.; Song, D.; Yang, R.; Shi, H.; Long, F. Universal quantum dot-based sandwich-like immunoassay strategy for rapid and ultrasensitive detection of small molecules using portable and reusable optofluidic nano-biosensing platform. Anal. Chim. Acta 2016, 905, 140–148. [Google Scholar] [CrossRef] [PubMed]
- Taghdisi, S.M.; Danesh, N.M.; Ramezani, M.; Ghows, N.; Mousavi Shaegh, S.A.; Abnous, K. A novel fluorescent aptasensor for ultrasensitive detection of microcystin-LR based on single-walled carbon nanotubes and dapoxyl. Talanta 2017, 166, 187–192. [Google Scholar] [CrossRef] [PubMed]
- Liu, L.; Zhou, X.; Wilkinson, J.S.; Hua, P.; Song, B.; Shi, H. Integrated optical waveguide-based fluorescent immunosensor for fast and sensitive detection of microcystin-LR in lakes: Optimization and Analysis. Sci. Rep.-UK 2017, 7, 3655. [Google Scholar] [CrossRef] [PubMed]
- Zhang, Y.; Ding, X.L.; Guo, M.M.; Han, T.T.; Huang, Z.J.; Shang, H.T.; Huang, B. Quantitative and rapid detection of microcystin-LR using time-resolved fluorescence immunochromatographic assay based on europium nanospheres. Anal. Methods 2017, 9, 6430–6434. [Google Scholar] [CrossRef]
- Zhang, H.; Yang, S.; Beier, R.C.; Beloglazova, N.V.; Lei, H.T.; Sun, X.L.; Ke, Y.B.; Zhang, S.X.; Wang, Z.H. Simple, high efficiency detection of microcystins and nodularin-R in water by fluorescence polarization immunoassay. Anal. Chim. Acta 2017, 992, 119–127. [Google Scholar] [CrossRef] [PubMed]






| Samples | Added (nM) | Detected (nM) | RSD (%) | Recovery (%) |
|---|---|---|---|---|
| Drinking water | 0 | 0 | - | - |
| 4.00 | 4.05 | 2.10 | 101.25 | |
| 10.00 | 9.55 | 1.50 | 95.50 | |
| 20.00 | 19.12 | 2.33 | 95.60 | |
| Orange juice | 0 | 0 | - | - |
| 4.00 | 3.83 | 2.40 | 95.75 | |
| 10.00 | 10.37 | 3.10 | 103.70 | |
| 20.00 | 20.26 | 1.85 | 101.30 | |
| Milk | 0 | 0 | - | - |
| 4.00 | 3.95 | 1.36 | 98.75 | |
| 10.00 | 10.25 | 2.35 | 102.50 | |
| 20.00 | 20.89 | 2.76 | 104.45 | |
| River water | 0 | 0 | - | - |
| 4.00 | 4.20 | 1.34 | 105.00 | |
| 10.00 | 10.23 | 2.32 | 102.30 | |
| 20.00 | 19.57 | 1.84 | 97.85 |
| Detection Method | Labels | Linearity (nM) | LOD (nM) | Recovery (%) | Specificity | Reference |
|---|---|---|---|---|---|---|
| Fluorescence a | Cy5.5 | 0.1–10.1 | 0.03 | 80–110 | - | [31] |
| Fluorescence a | Quantum dots 525 | 0.42–25 | 0.03 | 94–106.9 | - | [32] |
| Fluorescence a | Cy5 | 0.02–16 | 0.007 | 98.0–102.2 | Highly | [33] |
| Fluorescence a | Cy5.5 | 0.01–10 | 0.003 | 80–120 | No significant | [34] |
| Fluorescence b | FAM–labeled Apt | 0.4–1200 | 0.138 | 88.46–112.1 | Highly | [35] |
| Fluorescence a | Cy5.5 | 0.36–2.5 | 0.21 | 84–108 | - | [36] |
| Fluorescence a | Europium nanospheres | 0.1–5 | 0.035 | 94.6–102.8 | - | [37] |
| Fluorescence b | MoS2 | 0.01–50 | 0.002 | 94–112 | Good | [15] |
| Fluorescence | DCHQ–Ph | 0.1–10 | 0.05 | 98.8–118.9 | - | [16] |
| Fluorescence Polarization a | Fluorescein | - | 0.86 | 88.6–118.8 | - | [38] |
| UV–Vis a | AuNPs/ hemin–CatG4 | 0.1–10 | 0.05 | 93.33–104.5 | Highly | [17] |
| UV–Vis a | AuNPs | 0.51–11.68 | 0.38 | 88.8–117.5 | - | [19] |
| UV–Vis b | AuNPs | 0.5–7.5 × 103 | 0.37 | 98.5–102.2 | Highly | [3] |
| UV–Vis b | Methylene blue | 0.65–1000 | 0.219 | 82.9–104.9 | - | [18] |
| UV–Vis a and b | PDA/CuNPs | 0.05–25 | 0.05 | 95.50–105.00 | Excellent | This work |
© 2019 by the authors. Licensee MDPI, Basel, Switzerland. This article is an open access article distributed under the terms and conditions of the Creative Commons Attribution (CC BY) license (http://creativecommons.org/licenses/by/4.0/).
Share and Cite
Tang, X.; Yin, Z.; Lei, X.; Zeng, Y.; Zhang, Z.; Lu, Y.; Zhou, G.; Li, L.; Wu, X. Colorimetric Method for Sensitive Detection of Microcystin-LR Using Surface Copper Nanoparticles of Polydopamine Nanosphere as Turn-On Probe. Nanomaterials 2019, 9, 332. https://doi.org/10.3390/nano9030332
Tang X, Yin Z, Lei X, Zeng Y, Zhang Z, Lu Y, Zhou G, Li L, Wu X. Colorimetric Method for Sensitive Detection of Microcystin-LR Using Surface Copper Nanoparticles of Polydopamine Nanosphere as Turn-On Probe. Nanomaterials. 2019; 9(3):332. https://doi.org/10.3390/nano9030332
Chicago/Turabian StyleTang, Xiaodi, Zhengzhi Yin, Xiaoling Lei, Yanbo Zeng, Zulei Zhang, Yixia Lu, Guobao Zhou, Lei Li, and Xiaohua Wu. 2019. "Colorimetric Method for Sensitive Detection of Microcystin-LR Using Surface Copper Nanoparticles of Polydopamine Nanosphere as Turn-On Probe" Nanomaterials 9, no. 3: 332. https://doi.org/10.3390/nano9030332
APA StyleTang, X., Yin, Z., Lei, X., Zeng, Y., Zhang, Z., Lu, Y., Zhou, G., Li, L., & Wu, X. (2019). Colorimetric Method for Sensitive Detection of Microcystin-LR Using Surface Copper Nanoparticles of Polydopamine Nanosphere as Turn-On Probe. Nanomaterials, 9(3), 332. https://doi.org/10.3390/nano9030332

