Giant Self-Kerr Nonlinearity in the Metal Nanoparticles-Graphene Nanodisks-Quantum Dots Hybrid Systems Under Low-Intensity Light Irradiance
Abstract
1. Introduction
2. Theoretical Formalism
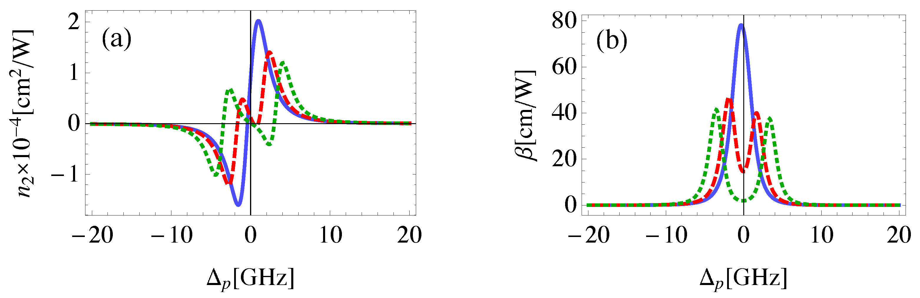
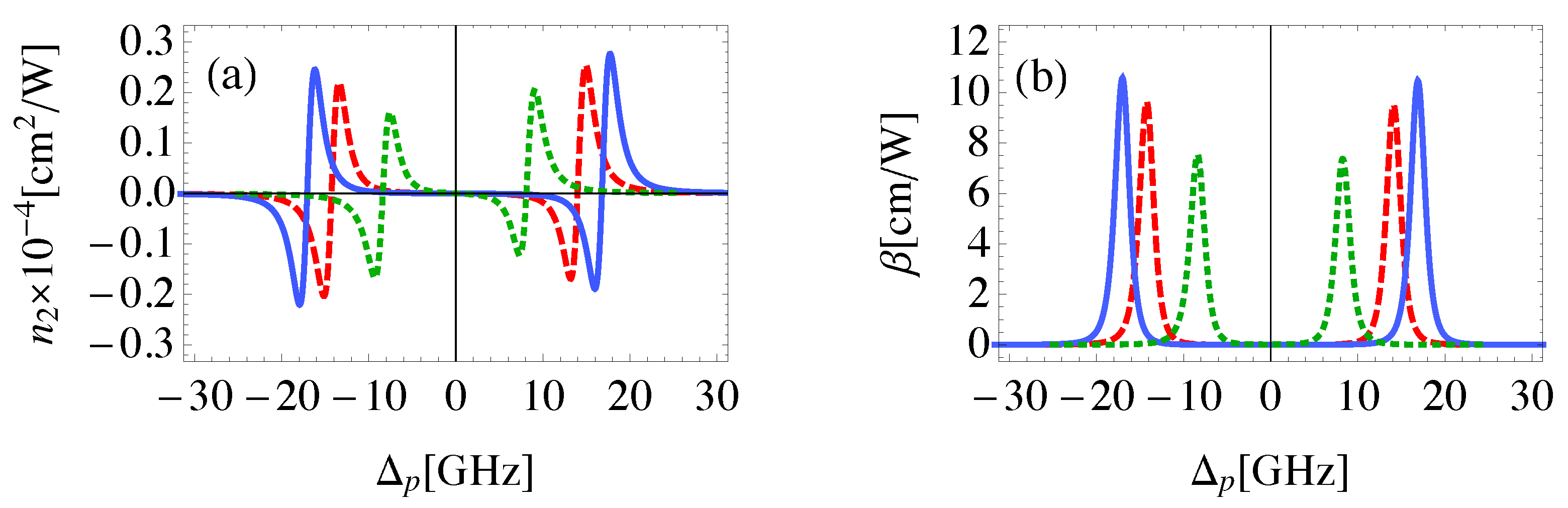
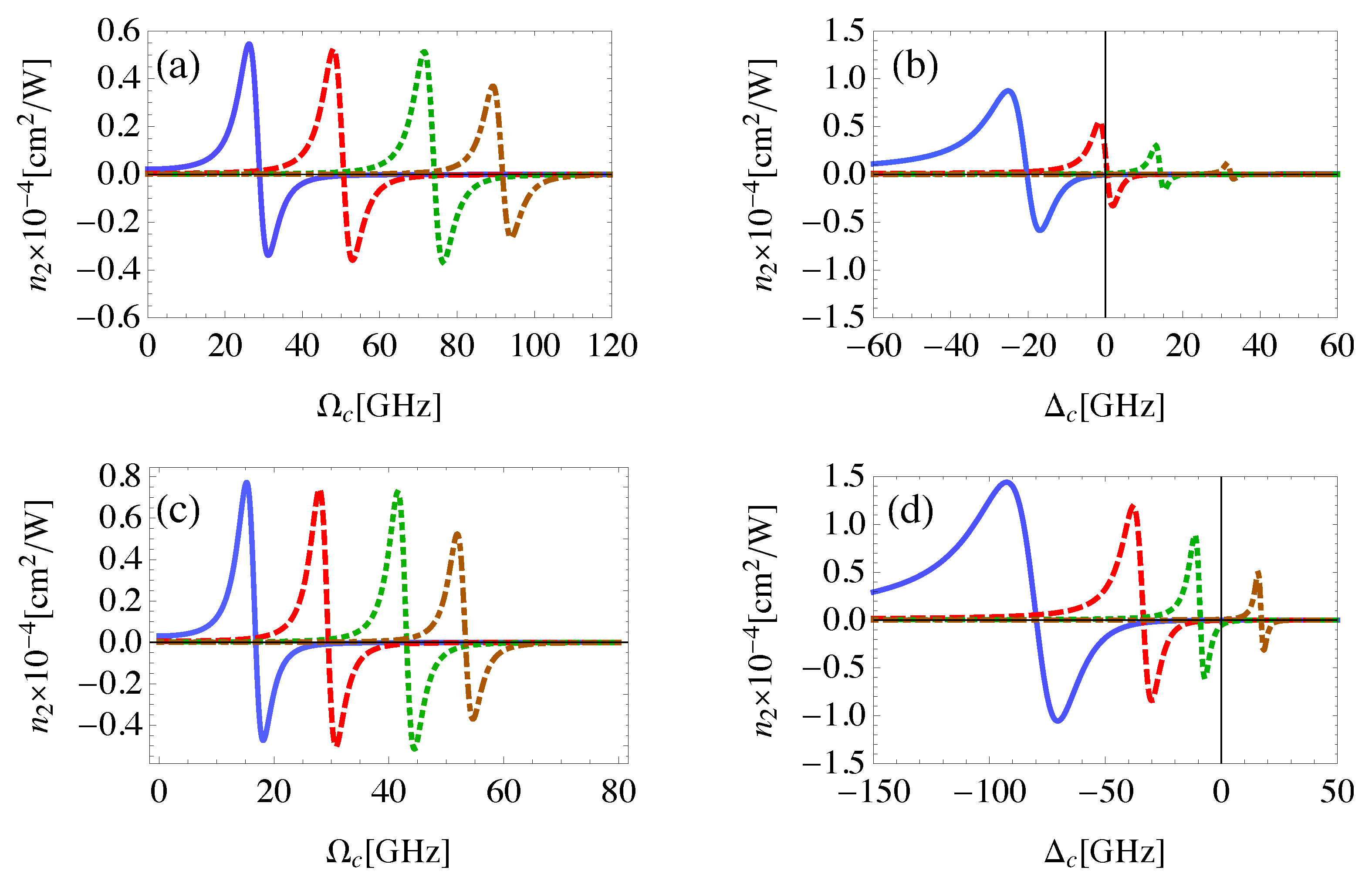
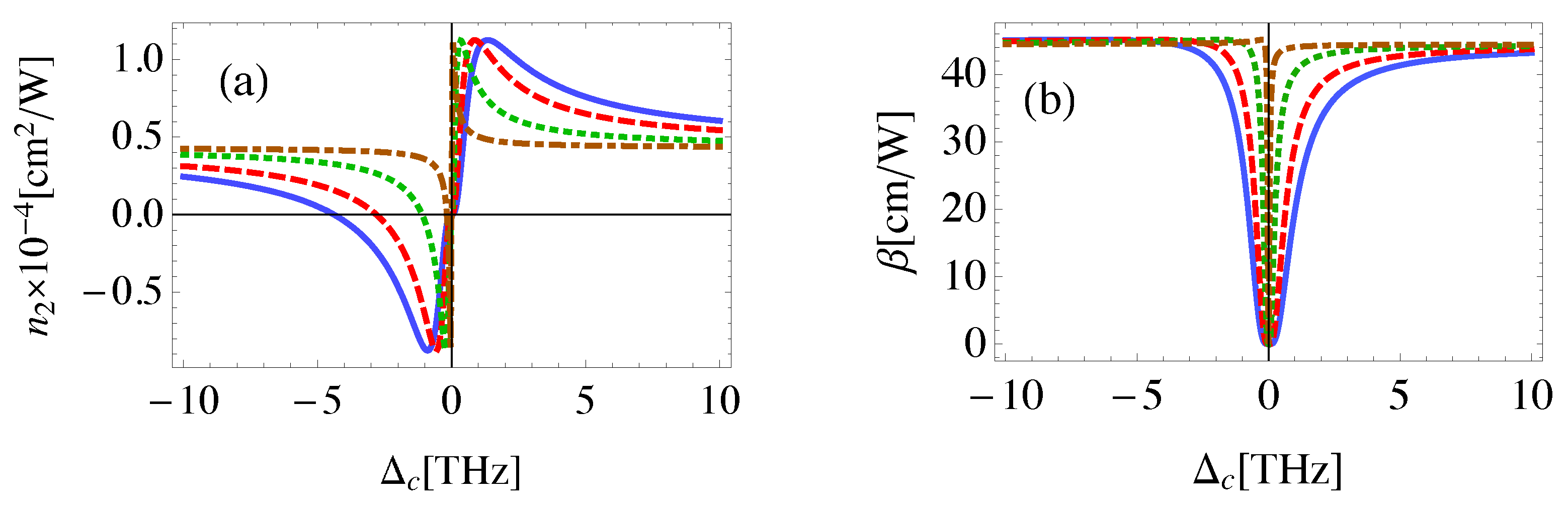
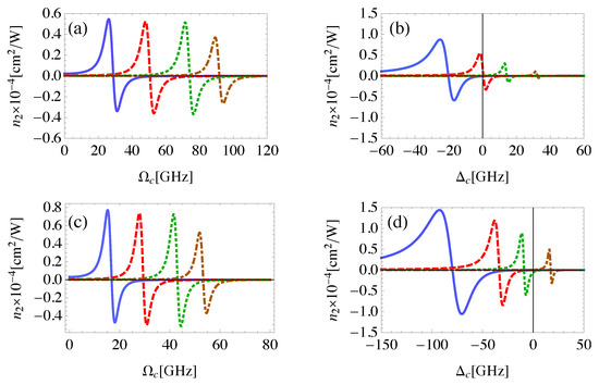
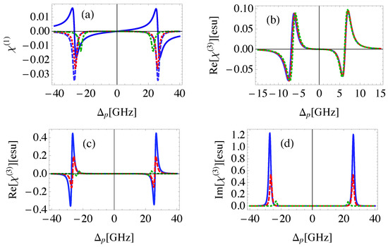
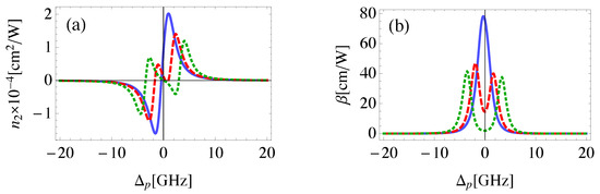
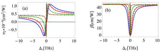
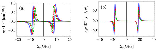
3. Analysis of Self-Kerr Nonlinearity
4. Conclusions
Author Contributions
Funding
Acknowledgments
Conflicts of Interest
References
- Fejer, M.M. Nonlinear optical frequency conversion. Phys. Today 1994, 47, 25–33. [Google Scholar] [CrossRef]
- Cerullo, G.; De Silvestri, S. Ultrafast optical parametric amplifiers. Rev. Sci. Instrum. 2003, 74, 1–18. [Google Scholar] [CrossRef]
- Sugioka, K. Progress in ultrafast laser processing and future prospects. Nanophotonics 2017, 6, 393–413. [Google Scholar] [CrossRef]
- Juraschek, D.M.; Fechner, M.; Spaldin, N.A. Ultrafast structure switching through nonlinear phononics. Phys. Rev. Lett. 2017, 118, 054101. [Google Scholar] [CrossRef] [PubMed]
- Potma, E.O.; De Boeij, W.P.; Wiersma, D.A. Nonlinear coherent four-wave mixing in optical microscopy. JOSA B 2000, 17, 1678–1684. [Google Scholar] [CrossRef]
- Boyd, R.W. Nonlinear Optics; Academic Press: Cambridge, MA, USA, 2003. [Google Scholar]
- Zayats, A.V.; Smolyaninov, I.I.; Maradudin, A.A. Nano-optics of surface plasmon polaritons. Phys. Rep. 2005, 408, 131–314. [Google Scholar] [CrossRef]
- Genevet, P.; Tetienne, J.P.; Gatzogiannis, E.; Blanchard, R.; Kats, M.A.; Scully, M.O.; Capasso, F. Large enhancement of nonlinear optical phenomena by plasmonic nanocavity gratings. Nano Lett. 2010, 10, 4880–4883. [Google Scholar] [CrossRef] [PubMed]
- Cai, W.; Vasudev, A.P.; Brongersma, M.L. Electrically controlled nonlinear generation of light with plasmonics. Science 2011, 333, 1720–1723. [Google Scholar] [CrossRef] [PubMed]
- Marinica, D.; Kazansky, A.; Nordlander, P.; Aizpurua, J.; Borisov, A. Quantum plasmonics: Nonlinear effects in the field enhancement of a plasmonic nanoparticle dimer. Nano Lett. 2012, 12, 1333–1339. [Google Scholar] [CrossRef] [PubMed]
- Paspalakis, E.; Evangelou, S.; Kosionis, S.G.; Terzis, A.F. Strongly modified four-wave mixing in a coupled semiconductor quantum dot-metal nanoparticle system. J. Appl. Phys. 2014, 115, 083106. [Google Scholar] [CrossRef]
- Palomba, S. Ultimate Performance of Kerr Nonlinear Plasmonics Waveguides; Nonlinear Optics Paper NW1A.4; Optical Society of America: Washington, DC, USA, 2017. [Google Scholar]
- Carreño, F.; Antón, M.; Yannopapas, V.; Paspalakis, E. Resonance fluorescence spectrum of a Λ-type quantum emitter close to a metallic nanoparticle. Phys. Rev. A 2016, 94, 013834. [Google Scholar] [CrossRef]
- Carreño, F.; Antón, M.; Yannopapas, V.; Paspalakis, E. Control of the absorption of a four-level quantum system near a plasmonic nanostructure. Phys. Rev. B 2017, 95, 195410. [Google Scholar] [CrossRef]
- Yannopapas, V.; Paspalakis, E. Optical properties of hybrid spherical nanoclusters containing quantum emitters and metallic nanoparticles. Phys. Rev. B 2018, 97, 205433. [Google Scholar] [CrossRef]
- MacDonald, K.F.; Sámson, Z.L.; Stockman, M.I.; Zheludev, N.I. Ultrafast active plasmonics. Nat. Photonics 2009, 3, 55. [Google Scholar] [CrossRef]
- Kelly, K.L.; Coronado, E.; Zhao, L.L.; Schatz, G.C. The optical properties of metal nanoparticles: The influence of size, shape, and dielectric environment. J. Phys. Chem. B 2003, 107, 668–677. [Google Scholar] [CrossRef]
- Neto, A.C.; Guinea, F.; Peres, N.M.; Novoselov, K.S.; Geim, A.K. The electronic properties of graphene. Rev. Mod. Phys. 2009, 81, 109. [Google Scholar] [CrossRef]
- Koppens, F.H.; Chang, D.E.; Garcia de Abajo, F.J. Graphene plasmonics: A platform for strong light–matter interactions. Nano Lett. 2011, 11, 3370–3377. [Google Scholar] [CrossRef] [PubMed]
- Liu, Z.; Zhang, X.; Yan, X.; Chen, Y.; Tian, J. Nonlinear optical properties of graphene-based materials. Chin. Sci. Bull. 2012, 57, 2971–2982. [Google Scholar] [CrossRef]
- Manjavacas, A.; Nordlander, P.; García de Abajo, F.J. Plasmon blockade in nanostructured graphene. ACS Nano 2012, 6, 1724–1731. [Google Scholar] [CrossRef] [PubMed]
- Smirnova, D.A.; Noskov, R.E.; Smirnov, L.A.; Kivshar, Y.S. Dissipative plasmon solitons in graphene nanodisk arrays. Phys. Rev. B 2015, 91, 075409. [Google Scholar] [CrossRef]
- Kauranen, M.; Zayats, A.V. Nonlinear plasmonics. Nat. Photonics 2012, 6, 737. [Google Scholar] [CrossRef]
- Baron, A.; Larouche, S.; Gauthier, D.J.; Smith, D.R. Scaling of the nonlinear response of the surface plasmon polariton at a metal/dielectric interface. JOSA B 2015, 32, 9–14. [Google Scholar] [CrossRef]
- Kim, H.S.; Lee, M.H.; Jeong, N.C.; Lee, S.M.; Rhee, B.K.; Yoon, K.B. Very high third-order nonlinear optical activities of intrazeolite PbS quantum dots. J. Am. Chem. Soc. 2006, 128, 15070–15071. [Google Scholar] [CrossRef] [PubMed]
- Fang, L.B.; Pan, W.; Zhong, S.H.; Shen, W.Z. Nonresonant and Resonant Nonlinear Absorption of CdSe-Based Nanoplatelets. Chin. Phys. Lett. 2017, 34, 098101. [Google Scholar] [CrossRef]
- Boller, K.J.; Imamoğlu, A.; Harris, S.E. Observation of electromagnetically induced transparency. Phys. Rev. Lett. 1991, 66, 2593. [Google Scholar] [CrossRef] [PubMed]
- Lukin, M.; Imamoğlu, A. Controlling photons using electromagnetically induced transparency. Nature 2001, 413, 273. [Google Scholar] [CrossRef] [PubMed]
- Harris, S.; Hau, L.V. Nonlinear optics at low light levels. Phys. Rev. Lett. 1999, 82, 4611. [Google Scholar] [CrossRef]
- Schmidt, H.; Imamoglu, A. Giant Kerr nonlinearities obtained by electromagnetically induced transparency. Opt. Lett. 1996, 21, 1936–1938. [Google Scholar] [CrossRef] [PubMed]
- Wang, H.; Goorskey, D.; Xiao, M. Enhanced Kerr nonlinearity via atomic coherence in a three-level atomic system. Phys. Rev. Lett. 2001, 87, 073601. [Google Scholar] [CrossRef] [PubMed]
- Tang, B.; Dai, L.; Jiang, C. Electromagnetically induced transparency in hybrid plasmonic-dielectric system. Opt. Express 2011, 19, 628–637. [Google Scholar] [CrossRef] [PubMed]
- Evangelou, S.; Yannopapas, V.; Paspalakis, E. Transparency and slow light in a four-level quantum system near a plasmonic nanostructure. Phys. Rev. A 2012, 86, 053811. [Google Scholar] [CrossRef]
- Evangelou, S.; Yannopapas, V.; Paspalakis, E. Modification of Kerr nonlinearity in a four-level quantum system near a plasmonic nanostructure. J. Mod. Opt. 2014, 61, 1458–1464. [Google Scholar] [CrossRef]
- Chen, H.; Ren, J.; Gu, Y.; Zhao, D.; Zhang, J.; Gong, Q. Nanoscale Kerr nonlinearity enhancement using spontaneously generated coherence in plasmonic nanocavity. Sci. Rep. 2015, 5, 18315. [Google Scholar] [CrossRef] [PubMed]
- Ren, J.; Chen, H.; Gu, Y.; Zhao, D.; Zhou, H.; Zhang, J.; Gong, Q. Plasmon-enhanced Kerr nonlinearity via subwavelength-confined anisotropic Purcell factors. Nanotechnology 2016, 27, 425205. [Google Scholar] [CrossRef] [PubMed]
- Lu, Z.; Zhu, K.D. Enhancing Kerr nonlinearity of a strongly coupled exciton–plasmon in hybrid nanocrystal molecules. J. Phys. B 2008, 41, 185503. [Google Scholar] [CrossRef]
- Kim, N.C.; Ko, M.C.; Im, S.J.; Hao, Z.H. Exciton-Plasmon Coupling Effects on the Nonlinear Optical Susceptibility of Hybrid Quantum Dot-Metallic Nanoparticle System. arXiv, 2013; arXiv:1307.5648. [Google Scholar]
- Terzis, A.; Kosionis, S.; Boviatsis, J.; Paspalakis, E. Nonlinear optical susceptibilities of semiconductor quantum dot–metal nanoparticle hybrids. J. Mod. Opt. 2016, 63, 451–461. [Google Scholar] [CrossRef]
- Tohari, M.; Lyras, A.; AlSalhi, M. Ultrafast Energy Transfer in the Metal Nanoparticles-Graphene Nanodisks-Quantum Dots Hybrid Systems. Plasmonics 2018. [Google Scholar] [CrossRef]
- Fleischhauer, M.; Imamoglu, A.; Marangos, J.P. Electromagnetically induced transparency: Optics in coherent media. Rev. Mod. Phys. 2005, 77, 633. [Google Scholar] [CrossRef]
- Singh, J.; Williams, R.T. Excitonic and Photonic Processes in Materials; Springer: Berlin, Germany, 2016. [Google Scholar]
- Stephen, C. Nonlinear and Quantum Optics Using the Density Matrix; Oxford University Press: Oxford, UK, 2010. [Google Scholar]
- Wang, H.; Goorskey, D.; Xiao, M. Atomic coherence induced Kerr nonlinearity enhancement in Rb vapour. J. Mod. Opt. 2002, 49, 335–347. [Google Scholar] [CrossRef]
- Gaponenko, S.V. Introduction to Nanophotonics; Cambridge University Press: Cambridge, UK, 2010. [Google Scholar]
- Mackowski, S.; Gurung, T.; Jackson, H.; Smith, L.; Furdyna, J.; Dobrowolska, M. Optical orientation of excitons in CdSe self-assembled quantum dots. arXiv, 2004; arXiv:cond-mat/0411036. [Google Scholar]
- Wang, J.S.; Chiu, K.P.; Lin, C.Y.; Tsai, Y.H.; Yuan, C.T. Modification of Spontaneous Emission Rates of Self-assembled CdSe Quantum Dots by Coupling to Hybrid Optical Nanoantennas. Plasmonics 2017, 12, 433–438. [Google Scholar] [CrossRef]
- Khan, S.; Bharti, V.; Natarajan, V. Role of dressed-state interference in electromagnetically induced transparency. Phys. Lett. A 2016, 380, 4100–4104. [Google Scholar] [CrossRef]
- Sadeghi, S. Gain without inversion in hybrid quantum dot–metallic nanoparticle systems. Nanotechnology 2010, 21, 455401. [Google Scholar] [CrossRef] [PubMed]
- Zhao, D.; Gu, Y.; Wu, J.; Zhang, J.; Zhang, T.; Gerardot, B.D.; Gong, Q. Quantum-dot gain without inversion: Effects of dark plasmon-exciton hybridization. Phys. Rev. B 2014, 89, 245433. [Google Scholar] [CrossRef]
- Harris, S.E.; Field, J.; Imamoğlu, A. Nonlinear optical processes using electromagnetically induced transparency. Phys. Rev. Lett. 1990, 64, 1107. [Google Scholar] [CrossRef] [PubMed]
- Fu, M.; Wang, K.; Long, H.; Yang, G.; Lu, P.; Hetsch, F.; Susha, A.S.; Rogach, A.L. Resonantly enhanced optical nonlinearity in hybrid semiconductor quantum dot–metal nanoparticle structures. Appl. Phys. Lett. 2012, 100, 063117. [Google Scholar] [CrossRef]
- Solati, E.; Dorranian, D. Nonlinear optical properties of the mixture of ZnO nanoparticles and graphene nanosheets. Appl. Phys. B 2016, 122, 76. [Google Scholar] [CrossRef]
- Jablan, M.; Chang, D.E. Multiplasmon absorption in graphene. Phys. Rev. Lett. 2015, 114, 236801. [Google Scholar] [CrossRef] [PubMed]









© 2018 by the authors. Licensee MDPI, Basel, Switzerland. This article is an open access article distributed under the terms and conditions of the Creative Commons Attribution (CC BY) license (http://creativecommons.org/licenses/by/4.0/).
Share and Cite
Tohari, M.M.; Lyras, A.; AlSalhi, M.S. Giant Self-Kerr Nonlinearity in the Metal Nanoparticles-Graphene Nanodisks-Quantum Dots Hybrid Systems Under Low-Intensity Light Irradiance. Nanomaterials 2018, 8, 521. https://doi.org/10.3390/nano8070521
Tohari MM, Lyras A, AlSalhi MS. Giant Self-Kerr Nonlinearity in the Metal Nanoparticles-Graphene Nanodisks-Quantum Dots Hybrid Systems Under Low-Intensity Light Irradiance. Nanomaterials. 2018; 8(7):521. https://doi.org/10.3390/nano8070521
Chicago/Turabian StyleTohari, Mariam M., Andreas Lyras, and Mohamad S. AlSalhi. 2018. "Giant Self-Kerr Nonlinearity in the Metal Nanoparticles-Graphene Nanodisks-Quantum Dots Hybrid Systems Under Low-Intensity Light Irradiance" Nanomaterials 8, no. 7: 521. https://doi.org/10.3390/nano8070521
APA StyleTohari, M. M., Lyras, A., & AlSalhi, M. S. (2018). Giant Self-Kerr Nonlinearity in the Metal Nanoparticles-Graphene Nanodisks-Quantum Dots Hybrid Systems Under Low-Intensity Light Irradiance. Nanomaterials, 8(7), 521. https://doi.org/10.3390/nano8070521

