Magnetic Hybrid Nanosorbents for the Uptake of Paraquat from Water
Abstract
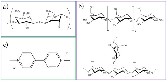
:1. Introduction
2. Results and Discussion
2.1. Materials Synthesis and Characterization
2.2. Uptake of Paraquat from Water
2.2.1. Effect of Shell Chemical Composition
2.2.2. Effect of Contact Time and Paraquat Concentration
2.2.3. Kinetic Modelling
2.2.4. Effect of pH on Adsorption in Aqueous Medium
2.2.5. Isotherm Studies and Thermodynamic Parameters
2.2.6. Desorption and Reuse
2.2.7. Comparison with Other Sorbents
3. Materials and Methods
3.1. Chemicals
3.2. Synthesis of Hybrids
3.3. Quantification of Paraquat
3.4. Removal of Paraquat from Water
3.4.1. Effect of pH
3.4.2. Effect of Contact Time
3.4.3. Equilibrium Isotherms Experiments
3.4.4. Regeneration Experiments
3.5. Instrumentation
4. Conclusions
Supplementary Materials
Acknowledgments
Author Contributions
Conflicts of Interest
References
- Casida, J.E.; Durkin, K.A. Pesticide chemical research in toxicology: Lessons from nature. Chem. Res. Toxicol. 2017, 30, 94–104. [Google Scholar] [CrossRef] [PubMed]
- Burns, I.G.; Hayes, M.H.B. Some physico-chemical principles involved in the adsorption of the organic cation paraquat by soil humic materials. In Residue Reviews: Residues of Pesticides and Other Contaminants in the Total Environment; Gunther, F.A., Ed.; Springer: New York, NY, USA, 1974; pp. 117–146. [Google Scholar]
- Ritter, L.; Solomon, K.; Sibley, P.; Hall, K.; Keen, P.; Mattu, G.; Linton, B. Sources, pathways, and relative risks of contaminants in surface water and groundwater: A perspective prepared for the walkerton inquiry. J. Toxicol. Environ. Health Part A 2002, 65, 1–142. [Google Scholar] [PubMed]
- Vidal, J.L.M.; Vega, A.B.; López, F.J.S.; Frenich, A.G. Application of internal quality control to the analysis of quaternary ammonium compounds in surface and groundwater from andalusia (Spain) by liquid chromatography with mass spectrometry. J. Chromatogr. A 2004, 1050, 179–184. [Google Scholar] [CrossRef] [PubMed]
- Amondham, W.; Parkpian, P.; Polprasert, C.; Delaune, R.D.; Jugsujinda, A. Paraquat adsorption, degradation, and remobilization in tropical soils of thailand. J. Environ. Sci. Health Part B 2006, 41, 485–507. [Google Scholar] [CrossRef] [PubMed]
- Ikpesu, T.O. Assessment of occurrence and concentrations of paraquat dichloride in water, sediments and fish from Warri River Basin, Niger Delta, Nigeria. Environ. Sci. Pollut. Res. 2015, 22, 8517–8525. [Google Scholar] [CrossRef] [PubMed]
- Pateiro-Moure, M.; Pérez-Novo, C.; Arias-Estévez, M.; Rial-Otero, R.; Simal-Gándara, J. Effect of organic matter and iron oxides on quaternary herbicide sorption-desorption in vineyard-devoted soils. J. Colloid Interface Sci. 2009, 333, 431–438. [Google Scholar] [CrossRef] [PubMed]
- Santos, M.S.F.; Schaule, G.; Alves, A.; Madeira, L.M. Adsorption of paraquat herbicide on deposits from drinking water networks. Chem. Eng. J. 2013, 229, 324–333. [Google Scholar] [CrossRef]
- Kervégant, M.; Merigot, L.; Glaizal, M.; Schmitt, C.; Tichadou, L.; de Haro, L. Paraquat poisonings in France during the european ban: Experience of the poison control center in marseille. J. Med. Toxicol. 2013, 9, 144–147. [Google Scholar] [CrossRef] [PubMed]
- Tsai, W.T. A review on environmental exposure and health risks of herbicide paraquat. Toxicol. Environ. Chem. 2013, 95, 197–206. [Google Scholar] [CrossRef]
- Zhang, X.F.; Thompson, M.; Xu, Y.H. Multifactorial theory applied to the neurotoxicity of paraquat and paraquat-induced mechanisms of developing Parkinson‘s disease. Lab. Investig. 2016, 96, 496–507. [Google Scholar] [CrossRef] [PubMed]
- Nandipati, S.; Litvan, I. Environmental exposures and Parkinson’s disease. Int. J. Environ. Res. Public Health 2016, 13, 881–899. [Google Scholar] [CrossRef] [PubMed]
- Hodgeson, J.W.; Bashe, W.J.; Eichelberger, J.W. Determination of Diquat and Paraquat in Drinking Water by Liquid-Solid Extraction and High Performance Liquid Chromatography with Ultraviolet Detection; Revision 1.0; EPA: Cincinnati, OH, USA, 1997. [Google Scholar]
- Fobbe, R.; Kuhlmann, B.; Nolte, J.; Preuß, G.; Skark, C.; Zullei-Seibert, N. Polar Herbicides and Metabolites. In Organic Pollutants in the Water Cycle: Properties, Occurrence, Analysis and Environmental Relevance of Polar Compounds; Reemtsma, T., Jekel, M., Eds.; Wiley: Wienheim, Germany, 2006; pp. 121–149. [Google Scholar]
- Taka, A.L.; Pillay, K.; Mbianda, X.Y. Nanosponge cyclodextrin polyurethanes and their modification with nanomaterials for the removal of pollutants from waste water: A review. Carbohydr. Polym. 2017, 159, 94–107. [Google Scholar] [CrossRef] [PubMed]
- Santos, M.S.F.; Alves, A.; Madeira, L.M. Paraquat removal from water by oxidation with Fenton‘s reagent. Chem. Eng. J. 2011, 175, 279–290. [Google Scholar] [CrossRef]
- Oliveira, C.; Alves, A.; Madeira, L.M. Treatment of water networks (waters and deposits) contaminated with chlorfenvinphos by oxidation with Fenton’s reagent. Chem. Eng. J. 2014, 241, 190–199. [Google Scholar] [CrossRef]
- Marien, C.B.D.; Marchal, C.; Koch, A.; Robert, D.; Drogui, P. Sol-gel synthesis of TiO2 nanoparticles: Effect of pluronic p123 on particle’s morphology and photocatalytic degradation of paraquat. Environ. Sci. Pollut. Res. 2016, 1–7. [Google Scholar] [CrossRef] [PubMed]
- Huang, Y.; Li, C.; Lin, Z. EDTA-induced self-assembly of 3D graphene and its superior adsorption ability for paraquat using a teabag. ACS Appl. Mater. Interfaces 2014, 6, 19766–19773. [Google Scholar] [CrossRef] [PubMed]
- Ajmal, M.; Siddiq, M.; Aktas, N.; Sahiner, N. Magnetic Co-Fe bimetallic nanoparticle containing modifiable microgels for the removal of heavy metal ions, organic dyes and herbicides from aqueous media. RSC Adv. 2015, 5, 43873–43884. [Google Scholar] [CrossRef]
- Zhao, R.; Wang, Y.; Li, X.; Sun, B.; Li, Y.; Ji, H.; Qiu, J.; Wang, C. Surface activated hydrothermal carbon-coated electrospun PAN fiber membrane with enhanced adsorption properties for herbicide. ACS Sustain. Chem. Eng. 2016, 4, 2584–2592. [Google Scholar] [CrossRef]
- Foo, K.Y.; Hammed, B.H. Insights into the modeling of adsorption isotherm systems. Chem. Eng. J. 2010, 156, 2–10. [Google Scholar] [CrossRef]
- Mehta, D.; Mazumdar, S.; Singh, S.K. Magnetic adsorbents for the treatment of water/wastewater—A review. J. Water Process Eng. 2015, 7, 244–265. [Google Scholar] [CrossRef]
- Kharissova, O.V.; Dias, H.V.R.; Kharisov, B.I. Magnetic adsorbents based on micro- and nano-structured materials. RSC Adv. 2015, 5, 6695–6719. [Google Scholar] [CrossRef]
- Cocenza, D.S.; de Moraes, M.A.; Beppu, M.M.; Fraceto, L.F. Use of biopolymeric membranes for adsorption of paraquat herbicide from water. Water Air Soil Pollut. 2012, 223, 3093–3104. [Google Scholar] [CrossRef]
- Girginova, P.I.; Daniel-da-Silva, A.L.; Lopes, C.B.; Figueira, P.; Otero, M.; Amaral, V.S.; Pereira, E.; Trindade, T. Silica coated magnetite particles for magnetic removal of Hg2+ from water. J. Colloid Interface Sci. 2010, 345, 234–240. [Google Scholar] [CrossRef] [PubMed]
- Tavares, D.S.; Daniel-da-Silva, A.L.; Lopes, C.B.; Silva, N.J.O.; Amaral, V.S.; Rocha, J.; Pereira, E.; Trindade, T. Efficient sorbents based on magnetite coated with siliceous hybrid shells for removal of mercury ions. J. Mater. Chem. A. 2013, 1, 8134–8143. [Google Scholar] [CrossRef]
- Salgueiro, A.M.; Daniel-da-Silva, A.L.; Girão, A.V.; Pinheiro, P.C.; Trindade, T. Unusual dye adsorption behavior of κ-carrageenan coated superparamagnetic nanoparticles. Chem. Eng. J. 2013, 229, 276–284. [Google Scholar] [CrossRef]
- Lopes, C.B.; Figueira, P.; Tavares, D.S.; Lin, Z.; Daniel-da-Silva, A.L.; Duarte, A.C.; Rocha, J.; Trindade, T.; Pereira, E. Core–shell magnetite-silica dithiocarbamate-derivatised particles achieve the Water Framework Directive quality criteria for mercury in surface waters. Environ. Sci. Pollut. Res. 2013, 20, 5963–5974. [Google Scholar] [CrossRef] [PubMed]
- Pinheiro, P.C.; Tavares, D.S.; Daniel-da-Silva, A.L.; Lopes, C.B.; Pereira, E.; Araújo, J.P.; Sousa, C.T.; Trindade, T. Ferromagnetic sorbents based on nickel nanowires for efficient uptake of mercury from water. ACS Appl. Mater. Interfaces. 2014, 6, 8274–8280. [Google Scholar] [CrossRef] [PubMed]
- Carvalho, R.S.; Daniel-da-Silva, A.L.; Trindade, T. Uptake of Europium(III) from Water using Magnetite Nanoparticles. Part. Part. Syst. Charact. 2016, 33, 150–157. [Google Scholar] [CrossRef]
- Daniel-da-Silva, A.L.; Salgueiro, A.M.; Creaney, B.; Oliveira-Silva, R.; Silva, N.J.O.; Trindade, T. Carrageenan-grafted magnetite nanoparticles as recyclable sorbents for dye removal. J. Nanopart. Res. 2015, 17, 302–316. [Google Scholar] [CrossRef]
- Soares, S.F.; Simões, T.R.; António, M.; Trindade, T.; Daniel-da-Silva, A.L. Hybrid nanoadsorbents for the magnetically assisted removal of metoprolol from water. Chem. Eng. J. 2016, 302, 560–569. [Google Scholar] [CrossRef]
- Soares, S.F.; Simões, T.R.; Trindade, T.; Daniel-da-Silva, A.L. Highly efficient removal of dye from water using magnetiuc carrageenan/silica hybrid nano-adsorbents. Water Air Soil Pollut. 2017, 228, 87–97. [Google Scholar] [CrossRef]
- Oliveira-Silva, R.; Pinto da Costa, J.; Vitorino, R.; Daniel-da-Silva, A.L. Magnetic chelating nanoprobes for enrichment and selective recovery of metalloproteases from human saliva. J. Mater. Chem. B 2015, 3, 238–249. [Google Scholar] [CrossRef]
- Joint Committee for Powder Diffraction Studies, JCPDS, Card No. 19-0629, The international centre for diffraction data (ICDD): Newtown Square, PA, USA.
- Soares, S.F.; Trindade, T.; Daniel-da-Silva, A.L. Carrageenan–silica hybrid nanoparticles prepared by a non-emulsion method. Eur. J. Inorg. Chem. 2015, 2015, 4588–4594. [Google Scholar] [CrossRef]
- Waldron, R.D. Infrared spectra of ferrites. Phys. Rev. 1955, 99, 1727–1735. [Google Scholar] [CrossRef]
- Namduri, H.; Nasrazadani, S. Quantitative analysis of iron oxides using Fourier transform infrared spectrophotometry. Corros. Sci. 2008, 50, 2493–2497. [Google Scholar] [CrossRef]
- Kizil, R.; Irudayaraj, J.; Seetharaman, K. Characterization of irradiated starches by using FT-Raman and FTIR spectroscopy. J. Agric. Food Chem. 2002, 50, 3912–3918. [Google Scholar] [CrossRef] [PubMed]
- Pereira, L.; Sousa, A.; Coelho, H.; Amado, A.M.; Ribeiro-Claro, P.J.A. Use of FTIR, FT-Raman and 13C-NMR spectroscopy for identification of some seaweed phycocolloids. Biomol. Eng. 2003, 20, 223–228. [Google Scholar] [CrossRef]
- Gómez-Ordóñez, E.; Rupérez, P. FTIR-ATR spectroscopy as a tool for polysaccharide identification in edible brown and red seaweeds. Food Hydrocolloids 2011, 25, 1514–1520. [Google Scholar] [CrossRef]
- Pereira, L.; Gheda, S.F.; Ribeiro-Claro, P.J.A. Analysis by vibrational spectroscopy of seaweed polysaccharides with potential use in food, pharmaceutical, and cosmetic industries. Int. J. Carbohydr. Chem. 2013, 2013, 1–7. [Google Scholar] [CrossRef]
- Rocha-Santos, T.; Duarte, A.C. Analysis of Marine Samples in Search of Bioactive Compounds; Elsevier Science: Oxford, UK, 2014; pp. 125–126. [Google Scholar]
- Kirk, C.T. Quantitative analysis of the effect of disorder-induced mode coupling on infrared absorption in silica. Phys. Rev. B 1988, 38, 1255–1273. [Google Scholar] [CrossRef]
- Ning, D.-N.; Sheng, K. Hydrogen-bonding properties of segmented polyether poly(urethane urea) copolymer. Macromolecules 1997, 30, 4405–4409. [Google Scholar]
- Hu, Q.; Suzuki, H.; Gao, H.; Araki, H.; Yang, W.; Noda, T. High-frequency FTIR absorption of SiO2/Si nanowires. Chem. Phys. Lett. 2003, 378, 299–304. [Google Scholar] [CrossRef]
- Monk, P.M.S.; Hodgkinson, N.M.; Partridge, R.D. The colours of charge-transfer complexes of methyl viologen: effects of donor, ionic strength and solvent. Dyes Pigm. 1999, 43, 241–251. [Google Scholar] [CrossRef]
- Suzuki, K.; Shiroishi, H.; Hoshino, M.; Kaneko, M. New Quasi-solid materials as a medium for photochemical reactions. J. Phys. Chem. A 2003, 107, 5523–5527. [Google Scholar] [CrossRef]
- Østergaard, J.; Khanbolouki, A.; Jensen, H.; Larsen, C. Complexation between low-molecular-weight cationic ligands and negatively charged polymers as studied by capillary electrophoresis frontal analysis. Electrophoresis 2004, 25, 3168–3175. [Google Scholar] [CrossRef] [PubMed]
- Lagergren, S. Zur theorie der sogenannten adsorption gelöster stoffe. Kungliga svenska vetenskapsakademiens. Handlingar 1889, 1–39. [Google Scholar]
- Ho, Y.S.; McKay, G. Pseudo-second order model for sorption processes. Process Biochem. 1999, 34, 451–465. [Google Scholar] [CrossRef]
- Chien, S.; Clayton, W. Application of Elovich equation to the kinetics of phosphate release and sorption in soils. Soil Sci. Soc. Am. J. 1980, 44, 265–268. [Google Scholar] [CrossRef]
- Gautam, R.K.; Chattopadhyaya, M.C. Nanomaterials for Wastewater Remediation; Elsevier Science: Amsterdam, The Netherlands, 2016; pp. 79–105. [Google Scholar]
- Lock, E.A.; Wilks, M.F. Paraquat. In Hayes’ Handbook of Pesticide Toxicology, 3rd ed.; Krieger, R., Ed.; Academic Press: Oxford, UK, 2010; pp. 1771–1827. [Google Scholar]
- Narine, D.R.; Guy, R.D. Binding of diquat and paraquat to humic acid in aquatic environments. Soil Sci. 1982, 133, 356–363. [Google Scholar] [CrossRef]
- Lima, E.C.; Adebayo, M.A.; Machado, F.M. Kinetic and equilibrium models of adsorption. In Carbon Nanomaterials as Adsorbents for Environmental and Biological Applications; Bergmann, C.P., Machado, F.M., Eds.; Springer International Publishing: Cham, Switzerland, 2015; pp. 33–70. [Google Scholar]
- Langmuir, I. The adsorption of gases on plane surfaces of glass, mica and platinum. J. Am. Chem. Soc. 1918, 40, 1361–1403. [Google Scholar] [CrossRef]
- Freundlich, H. Über die adsorption in lösungen. Z. Phys. Chem. 1906, 57, 385–470. [Google Scholar]
- Sips, R. On the structure of a catalyst surface. J. Chem. Phys. 1948, 16, 490–495. [Google Scholar] [CrossRef]
- Toth, J. State equations of the solid gas interface layer. Acta Chem. Acad. Hung. 1971, 69, 311–317. [Google Scholar]
- Liu, Y.; Xu, H.; Yang, S.F.; Tay, J.H. A general model for biosorption of Cd2+, Cu2+ and Zn2+ by aerobic granules. J. Biotechnol. 2003, 102, 233–239. [Google Scholar] [CrossRef]
- Hill, A.V. The possible effects of the aggregation of the molecules of haemoglobin on its dissociation curves. J. Physiol. 1910, 40, 4–7. [Google Scholar]
- Ho, Y.S. Selection of optimum sorption isotherm. Carbon 2004, 42, 2115–2116. [Google Scholar] [CrossRef]
- Nanaki, S.G.; Kyzas, G.Z.; Tzereme, A.; Papageorgiou, M.; Kostoglou, M.; Bikiaris, D.N.; Lambropoulou, D.A. Synthesis and characterization of modified carrageenan microparticles for the removal of pharmaceuticals from aqueous solutions. Colloids Surf. B 2015, 127, 256–265. [Google Scholar] [CrossRef] [PubMed]
- Salvestrini, S.; Leone, V.; Iovino, P.; Canzano, S.; Capasso, S. Considerations about the correct evaluation of sorption thermodynamic parameters from equilibrium isotherms. J. Chem. Thermodyn. 2014, 68, 310–316. [Google Scholar] [CrossRef]
- Nanseu-Njiki, C.P.; Dedzo, G.K.; Ngameni, E. Study of the removal of paraquat from aqueous solution by biosorption onto Ayous (Triplochiton schleroxylon) sawdust. J. Hazard. Mater. 2010, 179, 63–71. [Google Scholar] [CrossRef] [PubMed]
- Hao, H.; Feng, J.; Chen, W.; Xiang, S.; Liu, W.; Wu, X. Adsorption behavior of herbicide paraquat from aqueous solutions using starfish particles: Kinetic, isotherm, and thermodynamic studies. Asia-Pac. J. Chem. Eng. 2015, 10, 347–355. [Google Scholar] [CrossRef]
- Yuryev, V.P.; Blumenfeld, A.L.; Braudo, E.E.; Tolstoguzov, V.B. Interaction of sodium and potassium ions with κ-carrageenan. Colloid Polym. Sci. 1991, 269, 850–854. [Google Scholar] [CrossRef]
- Ait Sidhoum, D.; Socías-Viciana, M.M.; Ureña-Amate, M.D.; Derdour, A.; González-Pradas, E.; Debbagh-Boutarbouch, N. Removal of paraquat from water by an algerian bentonite. Appl. Clay Sci. 2013, 83–84, 441–448. [Google Scholar] [CrossRef]
- Hsu, S.T.; Chen, L.C.; Lee, C.C.; Pan, T.C.; You, B.X.; Yan, Q.F. Preparation of methacrylic acid-modified rice husk improved by an experimental design and application for paraquat adsorption. J. Hazard. Mater. 2009, 171, 465–470. [Google Scholar] [CrossRef] [PubMed]
- Rongchapo, W.; Sophiphun, O.; Rintramee, K.; Prayoonpokarach, S.; Wittayakun, J. Paraquat adsorption on porous materials synthesized from rice husk silica. Water Sci. Technol. 2013, 68, 863–869. [Google Scholar] [CrossRef] [PubMed]
- Hamadi, N.K.; Sri, S.; Chen, X.D. Adsorption of paraquat dichloride from aqueous solution by activated carbon derived from used tires. J. Hazard. Mater. 2004, 112, 133–141. [Google Scholar] [CrossRef] [PubMed]
- Kesari, R.; Rai, M.; Gupta, V.K. Spectrophotometric method for determination of paraquat in food and biological samples. J. AOAC Int. 1996, 80, 388–391. [Google Scholar]
- Rai, M.; Das, J.V.; Gupta, V. A sensitive determination of paraquat by spectrophotometry. Talanta 1997, 45, 343–348. [Google Scholar] [CrossRef]
- Shivhare, P.; Gupta, V. Spectrophotometric method for the determination of paraquat in water, grain and plant materials. Analyst 1991, 116, 391–393. [Google Scholar] [CrossRef] [PubMed]
- Cosa, J.; Gsponer, H.; Previtali, C. Fluorescence quenching of 1-naphthylamine by paraquat. J. Photochem. 1982, 19, 271–275. [Google Scholar] [CrossRef]
- Guijarro, E.C.; Yanez-Sedeno, P.; Diez, L.P. Determination of paraquat by flow-injection spectrophotometry. Anal. Chim. Acta 1987, 199, 203–208. [Google Scholar] [CrossRef]
- Infante, C.M.; Morales-Rubio, A.; de La Guardia, M.; Rocha, F.R. A multicommuted flow system with solenoid micro-pumps for paraquat determination in natural waters. Talanta 2008, 75, 1376–1381. [Google Scholar] [CrossRef] [PubMed]









| Sample | D: Core (nm) | T: Shell (nm) | C (%) | H (%) | N (%) | S (%) | SBET (m2·g−1) | Vp (cm3·g−1) |
|---|---|---|---|---|---|---|---|---|
| Fe3O4 | 54 ± 8 | - | 0.08 | 0.34 | 0.17 | - | 52.7 | - |
| Fe3O4@SiO2 | 54 ± 8 | 13 ± 2 | 0.23 | 0.37 | 0.01 | - | 35.8 | 0.045 |
| Fe3O4@SiO2/SiStarch | 54 ± 8 | 19 ± 4 | 27.43 | 4.68 | 1.01 | - | 42.1 | 0.022 |
| Fe3O4@SiO2/SiCRG | 54 ± 8 | 14 ± 2 | 20.39 | 3.69 | 0.48 | 4.32 | 38.4 | 0.043 |
| Assignment | Fe3O4 | Fe3O4@SiO2 | Fe3O4@SiO2/SiStarch | Fe3O4@SiO2/SiCRG |
|---|---|---|---|---|
| δ(Si–O–Si) | - | 430 (s) | - | 436 (s) |
| ν(Fe–O) | 554 (vs) | 569 (vs) | 568 (vs) | 575 (vs) |
| Pyranose ring | - | - | 500–800 (m) | - |
| νs(O–Si–O) | - | 792 (vw) | - | - |
| G4S | - | - | - | 842 (s) |
| νSi–OH | - | 946 (vw) | - | - |
| νa(Si–O–Si) | - | 1040 (vs) | - | - |
| DA (C–H and C–OH) | - | - | - | 930–1070 (vs) |
| νa(O=S=O) | - | - | - | 1223 (s) |
| δ(N–H), ν(C–N) | - | - | 1533 (vw) | 1540 (vw) |
| ν(C=O) urea | - | - | - | 1637 (m) |
| ν(C=O) urethane | - | - | 1701 (w) | 1700 (w) |
| C0 (μg/mL) | Pseudo 1st Order * | Pseudo 2nd Order ** | Elovich Model *** | ||||||
|---|---|---|---|---|---|---|---|---|---|
| R2 (χ2) | k1 | qe | R2 (χ2) | k2 | qe | R2 (χ2) | α | β | |
| 30 | 0.9842 (0.9490) | 1.04 | 59.29 | 0.9960 (0.2489) | 0.03 | 60.76 | 0.9406 (7.0355) | 20236.6 | 0.20 |
| 60 | 0.9666 (6.5473) | 0.52 | 118.97 | 0.9949 (0.8727) | 0.01 | 123.81 | 0.9417 (9.3153) | 20236.6 | 0.10 |
| 90 | 0.9171 (19.9320) | 0.56 | 160.35 | 0.98870 (2.2631) | 0.00 | 168.53 | 0.9703 (4.1783) | 12117.3 | 0.07 |
| Isotherm | Model Parameters | Goodness of fit | |||
|---|---|---|---|---|---|
| Langmuir | qL (mg·g−1) | KL (L·mg−1) | R2 | χ2 | |
| 242.4 | 0.6615 | 0.9645 | 16.65 | ||
| Freundlich | KF (mg(1−1/n)·L(1/n)·g−1) | 1/n | R2 | χ2 | |
| 119.0 | 0.1271 | 0.9170 | 25.46 | ||
| Sips | qmax (mg·g−1) | KS (mg·L−1)−1/nS | nS | R2 | χ2 |
| 170.6 | 0.6827 | 0.7449 | 0.9689 | 15.90 | |
| Toth | qmax (mg·g−1) | KT (mg·L−1)nT | nT | R2 | χ2 |
| 200.6 | 0.8779 | 0.9562 | 0.9745 | 14.38 | |
| Liu | qmax (mg·g−1) | Kg (L·mg−1) | nL | R2 | χ2 |
| 249.8 | 0.5990 | 0.7449 | 0.9689 | 15.90 | |
| Hill | qmax (mg·g−1) | KH ((mg·L−1)nH) | nH | R2 | χ2 |
| 249.8 | 1.4650 | 0.7449 | 0.9689 | 15.90 | |
| Sorbent | qmax (mg·g−1) | T °C | pH | Reference |
|---|---|---|---|---|
| 3D Graphene | 119/604 | 24 | 6/12 | [19] |
| Co-Fe Microgel | 190 * | RT (n.a.) | n.a. | [20] |
| Carbon fiber membranes | 437.64 | 20 | 7 | [21] |
| Sawdust | 9.47 | 25 | n.a. | [67] |
| Algerian Clays (bentonite) | 100 | 25 | n.a. | [70] |
| MAA Rice Husk | 200 | 37.5 | n.a. | [71] |
| Rice Husk Silica | 185.2 | n.a. | n.a. | [72] |
| Activated Carbon | 7.52 | 25 | 7 | [73] |
| Fe3O4@SiO2/SiCRG | 257 | 25 | 7.3 | Our work |
© 2017 by the authors. Licensee MDPI, Basel, Switzerland. This article is an open access article distributed under the terms and conditions of the Creative Commons Attribution (CC BY) license ( http://creativecommons.org/licenses/by/4.0/).
Share and Cite
Fernandes, T.; Soares, S.F.; Trindade, T.; Daniel-da-Silva, A.L. Magnetic Hybrid Nanosorbents for the Uptake of Paraquat from Water. Nanomaterials 2017, 7, 68. https://doi.org/10.3390/nano7030068
Fernandes T, Soares SF, Trindade T, Daniel-da-Silva AL. Magnetic Hybrid Nanosorbents for the Uptake of Paraquat from Water. Nanomaterials. 2017; 7(3):68. https://doi.org/10.3390/nano7030068
Chicago/Turabian StyleFernandes, Tiago, Sofia F. Soares, Tito Trindade, and Ana L. Daniel-da-Silva. 2017. "Magnetic Hybrid Nanosorbents for the Uptake of Paraquat from Water" Nanomaterials 7, no. 3: 68. https://doi.org/10.3390/nano7030068
APA StyleFernandes, T., Soares, S. F., Trindade, T., & Daniel-da-Silva, A. L. (2017). Magnetic Hybrid Nanosorbents for the Uptake of Paraquat from Water. Nanomaterials, 7(3), 68. https://doi.org/10.3390/nano7030068

