Effect of Nano-SiO2 on the Hydration and Microstructure of Portland Cement
Abstract
:1. Introduction
2. Materials and Methods
2.1. Materials and Mix Proportions
2.1.1. Materials
2.1.2. Sample Preparation for Nano-SiO2 and Ca(OH)2 Reaction Test
2.1.3. Preparation of Cement Mortar
2.2. Testing Procedures
3. Results and Discussion
3.1. Activity of Nano-SiO2
3.2. Compressive and Flexural Strength of Cement Mortar
3.3. Effect of Nano-SiO2 on the Hydration Heat of Cement
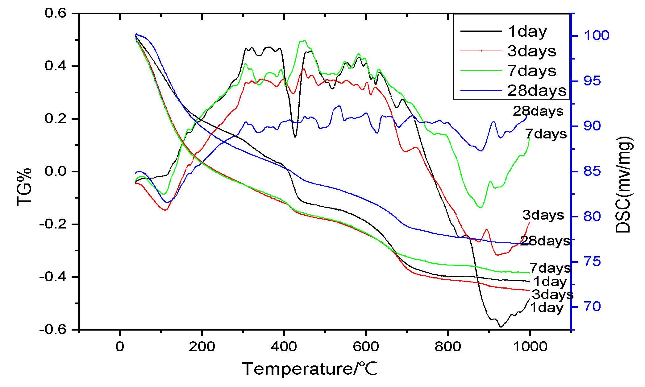
3.4. Effect of Nano-SiO2 on Products of Cement Hydration
3.5. Effect of Nano-SiO2 on Microstructure of the Cement Paste
3.6. Effect of Nano-SiO2 on Pore Structure of Cement Paste
4. Conclusions
- (1)
- The reaction between nano-SiO2 and Ca(OH)2 started within 1 h, and the reaction rate was faster in the three day period, and the C–S–H gel was formed.
- (2)
- When the content of nano-SiO2 was 3%, the compressive strength increased by 33.2%, 29.1%, and 18.5% at three days, seven days, and 28 days, respectively. The compressive strength increased by 44.9%, 29.7%, and 10.6% at 3 days, 7 days, and 28 days, respectively, when the dosage of nano-SiO2 was 5%. Nano-SiO2 had the most obvious effect on compressive strength at 3 days, followed by 7 days and 28 days. Taking this into account, 3% was the best dosage of nano-SiO2.
- (3)
- Nano-SiO2 promoted the hydration heat of cement paste. The effect was obvious when the dosages of nano-SiO2 were 3% and 5%, and the heat release rate of hydration heat of the second exothermic peak was increased 0.002 W/g, 0.003 W/g respectively. The second exothermic peak appeared approximately 2.5 h earlier. The cumulative heat release of the paste increased with the adding of nano-SiO2.
- (4)
- The content of Ca(OH)2 of cement paste with 3% nano-SiO2 was decreased by 0.27%, 0.82%, 2.24%, and 3.95% at one day, three days, seven days, and 28 days, respectively. The Ca(OH)2 diffraction peak intensity increased by −32.24% and −13.07%, but the tricalcium silicate (C3S) and dicalcium silicate (C2S) diffraction peak intensity increased by −31.40% and −3.24% at three days and 28 days, respectively. The addition of nano-SiO2 promoted the formation of C–S–H gel, and the promotion effect mainly occurred in three days.
- (5)
- The total porosity of cement paste decreased 2.21%, 5.51%, 2.95%, and 5.4% at one day, three days, seven days, and 28 day, respectively, when the dosage of nano-SiO2 was 3%. Nano-SiO2 optimized the pore structure of cement paste, and much-detrimental pores and detrimental pores decreased while less harmful pores and innocuous pores increased.
Acknowledgments
Author Contributions
Conflicts of Interest
References
- Subalakshmi, P.; Saraswathy, V.; Sivasankaran, S.K. Hydraulicity of mineral admixtures in cement blends. Constr. Build. Mater. 2012, 36, 648–653. [Google Scholar] [CrossRef]
- He, Z.; Liu, J.; Zhu, K. Influence of Mineral Admixtures on the Short and Long-term Performance of Steam-cured Concrete. Energy Procedia 2012, 16, 836–841. [Google Scholar]
- Wang, J.; Wang, L. Advances in the applied research of nano-material in concrete. Concrete 2004, 11, 18–21. [Google Scholar]
- Zhang, R.; Cheng, X.; Hou, P.; Ye, Z. Influences of nano-TiO2 on the properties of cement-based materials: Hydration and drying shrinkage. Constr. Build. Mater. 2015, 81, 35–41. [Google Scholar] [CrossRef]
- Meng, T.; Yu, Y.; Qian, X. Effect of nano-TiO2 on the mechanical properties of cement mortar. Constr. Build. Mater. 2012, 29, 241–245. [Google Scholar] [CrossRef]
- Senff, L.; Hotza, D.; Lucas, S.; Ferreira, V.M.; Labrincha, J.A. Effect of nano-SiO2 and nano-TiO2 addition on the rheological behavior and the hardened properties of cement mortars. Mater. Sci. Eng. A 2012, 532, 354–361. [Google Scholar] [CrossRef]
- Nazari, A.; Riahi, S. TiO2 nanoparticles effects on physical, thermal and mechanical properties of self compacting concrete with ground granulated blast furnace slag as binder. Energy Build. 2011, 43, 995–1002. [Google Scholar] [CrossRef]
- Nazari, A.; Riahi, S. The effects of TiO2 nanoparticles on physical, thermal and mechanical properties of concrete using ground granulated blast furnace slag as binder. Mater. Sci. Eng.: A 2011, 528, 2085–2092. [Google Scholar] [CrossRef]
- Kawashima, S.; Hou, P.; Corr, D.J.; Shah, S.P. Modification of cement-based materials with nanoparticles. Cem. Concr. Compos. 2013, 36, 8–15. [Google Scholar] [CrossRef]
- Liu, X.; Chen, L.; Liu, A.; Wang, X. Effect of Nano-CaCO3 on Properties of Cement Paste. Energy Procedia 2012, 16, 991–996. [Google Scholar] [CrossRef]
- Barbhuiya, S.; Mukherjee, S.; Nikraz, H. Effects of nano-Al2O3 on early-age microstructural properties of cement paste. Constr. Build. Mater. 2014, 52, 189–193. [Google Scholar] [CrossRef]
- Nazari, A.; Riahi, S. Al2O3 nanoparticles in concrete and different curing media. Energy Build. 2011, 43, 1480–1488. [Google Scholar] [CrossRef]
- Li, Z.; Wang, H.; He, S. Investigations on the preparation and mechanical properties of the nano-alumina reinforced cement composite. Mater. Lett. 2006, 60, 356–359. [Google Scholar] [CrossRef]
- Sanchez, F.; Sobolev, K. Nanotechnology in concrete—A review. Constr. Build. Mater. 2010, 24, 2060–2071. [Google Scholar] [CrossRef]
- Naji Givi, A.; Abdul Rashid, S.; Aziz, F.N.A.; Salleh, M.A.M. Experimental investigation of the size effects of SiO2 nano-particles on the mechanical properties of binary blended concrete. Compos. Part B 2010, 41, 673–677. [Google Scholar] [CrossRef]
- Zhu, J.; Feng, C.; Yin, H.; Zhang, Z.; Shah, S.P. Effects of colloidal nanoBoehmite and nanoSiO2 on fly ash cement hydration. Constr. Build. Mater. 2015, 101, 246–251. [Google Scholar] [CrossRef]
- Yu, R.; Spiesz, P.; Brouwers, H.J.H. Effect of nano-silica on the hydration and microstructure development of Ultra-High Performance Concrete (UHPC) with a low binder amount. Constr. Build. Mater. 2014, 65, 140–150. [Google Scholar] [CrossRef]
- Ghafari, E.; Costa, H.; Júlio, E. Critical review on eco-efficient ultra high performance concrete enhanced with nano-materials. Constr. Build. Mater. 2015, 101, 201–208. [Google Scholar] [CrossRef]
- Madani, H.; Bagheri, A.; Parhizkar, T.; Raisghasemi, A. Chloride penetration and electrical resistivity of concretes containing nanosilica hydrosols with different specific surface areas. Cem. Concr. Compos. 2014, 53, 18–24. [Google Scholar] [CrossRef]
- Jalal, M.; Mansouri, E.; Sharifipour, M.; Pouladkhan, A.R. Mechanical, rheological, durability and microstructural properties of high performance self-compacting concrete containing SiO2 micro and nanoparticles. Mater. Des. 2012, 34, 389–400. [Google Scholar] [CrossRef]
- Ghafari, E.; Arezoumandi, M.; Costa, H.; Júlio, E. Influence of nano-silica addition on durability of UHPC. Constr. Build. Mater. 2015, 94, 181–188. [Google Scholar] [CrossRef]
- Stefanidou, M.; Papayianni, I. Influence of nano-SiO2 on the Portland cement pastes. Compos. Part B 2012, 43, 2706–2710. [Google Scholar] [CrossRef]
- Li, H.; Xiao, H.; Ou, J. A study on mechanical and pressure-sensitive properties of cement mortar with nanophase materials. Cem. Concr. Res. 2004, 34, 435–438. [Google Scholar] [CrossRef]
- Saleh, N.J.; Ibrahim, R.I.; Salman, A.D. Characterization of nano-silica prepared from local silica sand and its application in cement mortar using optimization technique. Adv. Powder Technol. 2015, 26, 1123–1133. [Google Scholar] [CrossRef]
- Kim, K.; Heo, Y.; Kang, S.; Lee, J. Effect of sodium silicate- and ethyl silicate-based nano-silica on pore structure of cement composites. Cem. Concr. Compos. 2014, 49, 84–91. [Google Scholar] [CrossRef]
- Zhang, M.; Chang, J. Surfactant-assisted sonochemical synthesis of hollow calcium silicate hydrate (CSH) microspheres for drug delivery. Ultrson. Sonochem. 2010, 17, 789–792. [Google Scholar] [CrossRef] [PubMed]
- Li, H.; Xiao, H.; Yuan, J.; Ou, J. Microstructure of cement mortar with nano-particles. Compos. Part B 2004, 35, 185–189. [Google Scholar] [CrossRef]
- Kong, D.; Su, Y.; Du, X.; Yang, Y.; Wei, S.; Shah, S.P. Influence of nano-silica agglomeration on fresh properties of cement pastes. Constr. Build. Mater. 2013, 43, 557–562. [Google Scholar] [CrossRef]
- Ye, Q.; Zhang, Z.; Chen, R.; Ma, C. Interaction of nano-SiO2 with Portlandite at interface between hardened cement paste and aggregate. J. Chin. Ceram. Soc. 2003, 31, 517–522. [Google Scholar]
- Yang, R.; Liu, B.; Wu, Z. Study on the pore structure of hardened cement paste by SAXS. Cem. Concr. Res. 1990, 20, 385–393. [Google Scholar]














| Nano-SiO2 | Properties (Improvement) | Ages | References | ||
|---|---|---|---|---|---|
| Particle Size | Concentration | Compressive Strength | Porosity | ||
| 14 nm | 0.5% | 25% | - | 28 days | Stefanidou [22] |
| 15 nm | 1.5% | 23.88% | - | 90 days | Naji [15] |
| 15 nm | 7.5% | 12.96% | - | 90 days | Hesam [19] |
| 15 + 5 nm | 10% | 26% | - | 28 days | Li [23] |
| 30 nm | 2.5% | 16% | - | 28 days | Zhu [16] |
| 50 nm | 6% | 29.88% | - | 28 days | Najat [24] |
| 80 nm | 1.0% | 13.71% | - | 90 days | Naji [15] |
| 30–100 nm | 5% | 22.85% | −10.2% | 28 days | Kim [25] |
| 120 nm | 4% | 35.86% | −1.0% | 28 days | Yu [17] |
| Type | Density (g/cm3) | Surface Area (m2/kg) | Normal Consistency (%) | Setting Time/Min | Flexural Strength/MPa | Compressive Strength/MPa | |||
|---|---|---|---|---|---|---|---|---|---|
| Initial | Final | 3 days | 28 days | 3 days | 28 days | ||||
| PII 52.5 | 3.12 | 372 | 0.30 | 180 | 260 | 5.10 | 8.15 | 30.75 | 54.04 |
| Type | CaO | SiO2 | Al2O3 | Fe2O3 | SO3 | MgO | K2O | Ignition Loss |
|---|---|---|---|---|---|---|---|---|
| PII 52.5 | 64.95 | 18.31 | 4.21 | 2.95 | 4.22 | 0.64 | 0.788 | 3.21 |
| Type | Appearance | Mean Particle Size (nm) | Purity % | pH | Surface Area (m2/g) | Density (g/cm3) | Surface Property |
|---|---|---|---|---|---|---|---|
| TSP-H10 | White powder | 20 | >99.5 | 4–7 | 300 | 0.10 | hydrophilic |
| Number | Nano-SiO2 (g) | Ca(OH)2(g) | Water (g) |
|---|---|---|---|
| A | 100 | 54 | 230 |
| Number | Cement (g) | SiO2 (%) (by Cement Mass) | Sand (g) | Water (g) | Superplasticizer (%) |
|---|---|---|---|---|---|
| 1 | 450 | 0 | 1350 | 225 | 0 |
| 2 | 450 | 1 | 1350 | 225 | 0 |
| 3 | 450 | 3 | 1350 | 225 | 0.13% |
| 4 | 450 | 5 | 1350 | 225 | 0.26% |
| Position Number | Atom/% | ||||
|---|---|---|---|---|---|
| C | O | Si | Ca | Ca/Si | |
| 1 | 30.26 | 49.49 | 5.63 | 14.62 | 2.60 |
| 2 | 26.09 | 50.87 | 8.62 | 13.64 | 1.55 |
| 3 | 26.54 | 52.67 | 7.41 | 13.38 | 1.81 |
| 4 | 19.03 | 56.26 | 9.43 | 15.28 | 1.62 |
| Age | CH (Peak Height) 18 | Increment (%) | Relative Diffraction Peak Intensities | CH (Peak Height) 33 | Increment (%) | Relative Diffraction Peak Intensities |
|---|---|---|---|---|---|---|
| 1 h | 2551 | 0% | 100% | 3711 | 0% | 100% |
| 6 h | 2350 | −7.88% | 92.12% | 3424 | −7.73% | 92.27% |
| 12 h | 2308 | −9.53% | 90.47% | 3395 | −8.52% | 91.48% |
| 24 h | 2238 | −12.27% | 87.73% | 3316 | −10.64% | 89.36% |
| 3 days | 1297 | −49.16% | 50.84% | 1887 | −49.96% | 50.04% |
| 7 days | 732 | −71.31% | 28.69% | 1082 | −70.84% | 29.16% |
| 28 days | 686 | −73.11% | 26.89% | 1068 | −71.22% | 28.78% |
| Age | Samples | Intensity (Counts) | Increment (%) | ||
|---|---|---|---|---|---|
| CH | C3S + C2S | CH | C3S + C2S | ||
| 1 Day | Control | 983 | 1598 | 1.42 | −13.08 |
| 3% nano-SiO2 | 997 | 1389 | |||
| 3 Days | Control | 2410 | 679 | −32.24 | −31.40 |
| 3% nano-SiO2 | 1633 | 466 | |||
| 7 Days | Control | 2597 | 595 | −33.31 | −9.08 |
| 3% nano-SiO2 | 1732 | 541 | |||
| 28 Days | Control | 2410 | 446 | −13.07 | −3.24 |
| 3% nano-SiO2 | 2095 | 432 | |||
© 2016 by the authors; licensee MDPI, Basel, Switzerland. This article is an open access article distributed under the terms and conditions of the Creative Commons Attribution (CC-BY) license (http://creativecommons.org/licenses/by/4.0/).
Share and Cite
Wang, L.; Zheng, D.; Zhang, S.; Cui, H.; Li, D. Effect of Nano-SiO2 on the Hydration and Microstructure of Portland Cement. Nanomaterials 2016, 6, 241. https://doi.org/10.3390/nano6120241
Wang L, Zheng D, Zhang S, Cui H, Li D. Effect of Nano-SiO2 on the Hydration and Microstructure of Portland Cement. Nanomaterials. 2016; 6(12):241. https://doi.org/10.3390/nano6120241
Chicago/Turabian StyleWang, Liguo, Dapeng Zheng, Shupeng Zhang, Hongzhi Cui, and Dongxu Li. 2016. "Effect of Nano-SiO2 on the Hydration and Microstructure of Portland Cement" Nanomaterials 6, no. 12: 241. https://doi.org/10.3390/nano6120241
APA StyleWang, L., Zheng, D., Zhang, S., Cui, H., & Li, D. (2016). Effect of Nano-SiO2 on the Hydration and Microstructure of Portland Cement. Nanomaterials, 6(12), 241. https://doi.org/10.3390/nano6120241

