Chromium-for-Aluminum Substitution in Synthetic Serpentine
Abstract
1. Introduction
2. Methods
2.1. Gel Preparation
2.2. Hydrothermal Syntheses
2.3. Characterizations
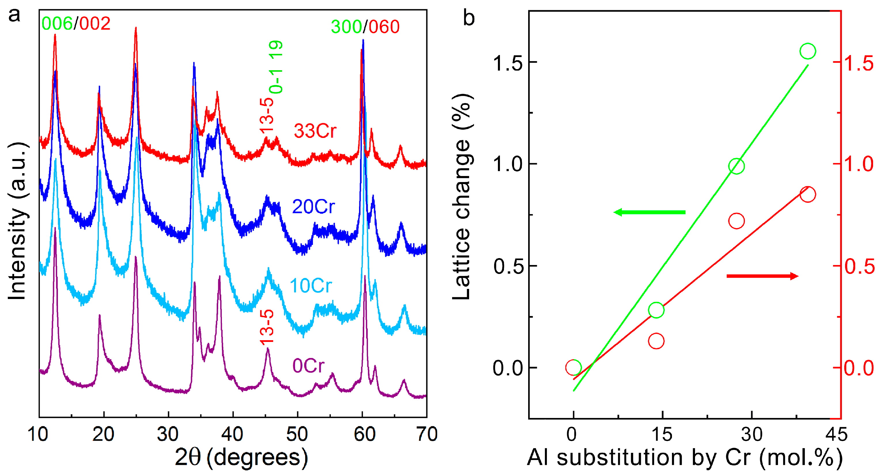
3. Results
4. Conclusions
Author Contributions
Funding
Data Availability Statement
Acknowledgments
Conflicts of Interest
References
- Dedzo, G.K.; Detellier, C. Clay Minerals—Ionic Liquids, Nanoarchitectures, and Applications. Adv. Funct. Mater. 2018, 28, 1703845. [Google Scholar] [CrossRef]
- Stöter, M.; Rosenfeldt, S.; Breu, J. Tunable Exfoliation of Synthetic Clays. Annu. Rev. Mater. Res. 2015, 45, 129–151. [Google Scholar] [CrossRef]
- Evans, B.W.; Hattori, K.; Baronnet, A. Serpentinite: What, Why, Where? Elements 2013, 9, 99–106. [Google Scholar] [CrossRef]
- Brigatti, M.F.; Galan, E.; Theng, B.K.G. Chapter 2 Structures and Mineralogy of Clay Minerals. In Developments in Clay Science; Bergaya, F., Theng, B.K.G., Lagaly, G., Eds.; Elsevier: Amsterdam, The Netherlands, 2006; Volume 1, pp. 19–86. [Google Scholar]
- Carmignano, O.; Vieira, S.; Brandão, P.R.; Bertoli, A.; Lago, R. Serpentinites: Mineral Structure, Properties and Technological Applications. J. Braz. Chem. Soc. 2020, 31, 2–14. [Google Scholar] [CrossRef]
- Zhang, J.; Zhou, C.H.; Petit, S.; Zhang, H. Hectorite: Synthesis, Modification, Assembly and Applications. Appl. Clay Sci. 2019, 177, 114–138. [Google Scholar] [CrossRef]
- Carniato, F.; Gatti, G.; Bisio, C. An Overview of the Recent Synthesis and Functionalization Methods of Saponite Clay. New J. Chem. 2020, 44, 9969–9980. [Google Scholar] [CrossRef]
- Kwak, S.; Yoo, J.-C.; Moon, D.H.; Baek, K. Role of Clay Minerals on Reduction of Cr(VI). Geoderma 2018, 312, 1–5. [Google Scholar] [CrossRef]
- Zhou, S.; Howard, E.S.; Liu, J.; Bashian, N.H.; Nolan, K.; Krishnamoorthy, S.; Rangel, G.M.; Sougrati, M.-T.; Prakash, G.K.S.; Page, K.; et al. Hydrothermal Preparation, Crystal Chemistry, and Redox Properties of Iron Muscovite Clay. ACS Appl. Mater. Interfaces 2017, 9, 34024–34032. [Google Scholar] [CrossRef]
- Sugiura, M.; Sueyoshi, M.; Seike, R.; Hayashi, T.; Okada, T. Hydrated Silicate Layer Formation on Mica-Type Crystals. Langmuir 2020, 36, 4933–4941. [Google Scholar] [CrossRef]
- Ji, X.; Kang, Y.; Ouyang, J.; Chen, Y.; Artzi, D.; Zeng, X.; Xiao, Y.; Feng, C.; Qi, B.; Kim, N.Y.; et al. Synthesis of Ultrathin Biotite Nanosheets as an Intelligent Theranostic Platform for Combination Cancer Therapy. Adv. Sci. 2019, 6, 1901211. [Google Scholar] [CrossRef]
- Joussein, E.; Petit, S.; Churchman, J.; Theng, B.; Righi, D.; Delvaux, B. Halloysite Clay Minerals—A Review. Clay Miner. 2005, 40, 383–426. [Google Scholar] [CrossRef]
- Cao, C.-Y.; Liang, C.-H.; Yin, Y.; Du, L.-Y. Thermal Activation of Serpentine for Adsorption of Cadmium. J. Hazard. Mater. 2017, 329, 222–229. [Google Scholar] [CrossRef] [PubMed]
- Fatnassi, M.; Solterbeck, C.-H.; Es-Souni, M. Clay Nanomaterial Thin Film Electrodes for Electrochemical Energy Storage Applications. RSC Adv. 2014, 4, 46976–46979. [Google Scholar] [CrossRef]
- Mellini, M.; Zanazzi, P.F. Crystal Structures of Lizardite-1T and Lizardite-2H1 from Coli, Italy. Am. Mineral. 1987, 72, 943–948. [Google Scholar]
- Brigatti, M.F.; Galli, E.; Medici, L.; Poppi, L. Crystal Structure Refinement of Aluminian Lizardite-2H2. Am. Mineral. 1997, 82, 931–935. [Google Scholar] [CrossRef]
- Anderson, C.S.; Bailey, S.W. A New Cation Ordering Pattern in Amesite-2H2. Am. Mineral. 1981, 66, 185–195. [Google Scholar]
- Mackenzie, K.J.D.; Bowden, M.E. Thermal and Mössbauer Studies of Iron-Containing Hydrous Silicates. IV. Amesite. Thermochim. Acta 1983, 64, 83–106. [Google Scholar] [CrossRef]
- Wiewiora, A.; Rausell-Colom, J.A.; Garcia-Gonzalez, M.T. The Crystal Structure of Amesite from Mount Sobotka: A Nonstandard Polytype. Am. Mineral. 1991, 76, 647–652. [Google Scholar]
- Zheng, H.; Bailey, S.W. Refinement of an Amesite-2H1 Polytype from Postmasburg, South Africa. Clays Clay Miner. 1997, 45, 301–310. [Google Scholar] [CrossRef]
- Zhang, H.; Zarzycki, P.; Gilbert, B.; Banfield, J.F. Polytypism in Semi-Disordered Lizardite and Amesite by Low-Dose HAADF-STEM. Am. Mineral. 2022, 107, 221–232. [Google Scholar] [CrossRef]
- Oze, C.; Fendorf, S.; Bird, D.K.; Coleman, R.G. Chromium Geochemistry of Serpentine Soils. Int. Geol. Rev. 2004, 46, 97–126. [Google Scholar] [CrossRef]
- Oze, C.; Fendorf, S.; Bird, D.K.; Coleman, R.G. Chromium Geochemistry in Serpentinized Ultramafic Rocks and Serpentine Soils from the Franciscan Complex of California. Am. J. Sci. 2004, 304, 67–101. [Google Scholar] [CrossRef]
- Mitsis, I.; Godelitsas, A.; Göttlicher, J.; Steininger, R.; Gamaletsos, P.N.; Perraki, M.; Abad-Ortega, M.M.; Stamatakis, M. Chromium-Bearing Clays in Altered Ophiolitic Rocks from Crommyonia (Soussaki) Volcanic Area, Attica, Greece. Appl. Clay Sci. 2018, 162, 362–374. [Google Scholar] [CrossRef]
- Maksimović, Z.; White, J.L.; Logar, M. Chromium-Bearing Dickite and Chromium-Bearing Kaolinite from Teslić, Yugoslavia. Clays Clay Miner. 1981, 29, 213–218. [Google Scholar] [CrossRef]
- Maksimovic, Z.; Brindley, G.W. Hydrothermal Alteration of a Serpentinite near Takovo, Yugoslavia, to Chromium-Bearing Illite/Smectite, Kaolinite, Tosudite, and Halloysite. Clays Clay Miner. 1980, 28, 295–302. [Google Scholar] [CrossRef]
- Khoury, H.N.; Al-Zoubi, A.S. Origin and Characteristics of Cr-Smectite from Suweileh Area, Jordan. Appl. Clay Sci. 2014, 90, 43–52. [Google Scholar] [CrossRef]
- Dzene, L.; Brendlé, J.; Limousy, L.; Dutournié, P.; Martin, C.; Michau, N. Synthesis of Iron-Rich Tri-Octahedral Clay Minerals: A Review. Appl. Clay Sci. 2018, 166, 276–287. [Google Scholar] [CrossRef]
- Zhou, C.H.; Zhou, Q.; Wu, Q.Q.; Petit, S.; Jiang, X.C.; Xia, S.T.; Li, C.S.; Yu, W.H. Modification, Hybridization and Applications of Saponite: An Overview. Appl. Clay Sci. 2019, 168, 136–154. [Google Scholar] [CrossRef]
- Petit, S.; Baron, F.; Decarreau, A. Synthesis of Nontronite and Other Fe-Rich Smectites: A Critical Review. Clay Miner. 2017, 52, 469–483. [Google Scholar] [CrossRef]
- Zhang, D.; Zhou, C.-H.; Lin, C.-X.; Tong, D.-S.; Yu, W.-H. Synthesis of Clay Minerals. Appl. Clay Sci. 2010, 50, 1–11. [Google Scholar] [CrossRef]
- Bentabol, M.; Ruiz Cruz, M.D. Chemistry, Morphology and Structural Characteristics of Synthetic Al–Ni and Al–Co-Lizardites. Appl. Clay Sci. 2013, 77–78, 68–78. [Google Scholar] [CrossRef]
- Huertas, F.J.; Huertas, F.; Linares, J. Hydrothermal Synthesis of Kaolinite: Method and Characterization of Synthetic Materials. Appl. Clay Sci. 1993, 7, 345–356. [Google Scholar] [CrossRef]
- Bentabol, M.; Ruiz Cruz, M.D.; Huertas, F.J. Hydrothermal Synthesis (200 °C) of Co–Kaolinite and Al–Co–Serpentine. Appl. Clay Sci. 2009, 42, 649–656. [Google Scholar] [CrossRef]
- Hall, S.H.; Bailey, S.W. Cation Ordering Pattern in Amesite. Clays Clay Miner. 1979, 27, 241–247. [Google Scholar] [CrossRef]
- Bailey, S.W. Polytypism of Trioctahedral 1:1 Layer Silicates. Clays Clay Miner. 1969, 17, 355–371. [Google Scholar] [CrossRef]
- Serna, C.J.; Velde, B.; White, J.L. Infrared Evidence of Order-Disorder in Amesites. Am. Mineral. 1977, 62, 296–303. [Google Scholar]
- Balan, E.; Saitta, A.M.; Mauri, F.; Lemaire, C.; Guyot, F. First-Principles Calculation of the Infrared Spectrum of Lizardite. Am. Mineral. 2002, 87, 1286–1290. [Google Scholar] [CrossRef]
- Fuchs, Y.; Linares, J.; Mellini, M. Mössbauer and Infrared Spectrometry of Lizardite-1T from Monte Fico, Elba. Phys. Chem. Miner. 1998, 26, 111–115. [Google Scholar] [CrossRef]
- Elgayyar, T.; Azzolina-Jury, F.; Thibault-Starzyk, F. Infrared spectroscopy at the surface of carbonates. Phys. Chem. Chem. Phys. 2025, 27, 22871–22879. [Google Scholar] [CrossRef]
- Cheng, H.; Frost, R.L.; Yang, J.; Liu, Q.; He, J. Infrared and infrared emission spectroscopic study of typical chinese kaolinite and halloysite. Spectrochim. Acta Part A Mol. Biomol. Spectrosc. 2010, 77, 1014–1020. [Google Scholar] [CrossRef]
- Dódony, I.; Pósfai, M.; Buseck, P.R. Revised Structure Models for Antigorite: An HRTEM Study. Am. Mineral. 2002, 87, 1443–1457. [Google Scholar] [CrossRef]
- Wang, Y.; Ohishi, Y.; Shishido, T.; Zhang, Q.; Yang, W.; Guo, Q.; Wan, H.; Takehira, K. Characterizations and catalytic properties of Cr-MCM-41 prepared by direct hydrothermal synthesis and template-ion exchange. J. Catal. 2003, 220, 347–357. [Google Scholar] [CrossRef]
- Weckhuysen, B.M.; Wachs, I.E.; Schoonheydt, R.A. Surface Chemistry and Spectroscopy of Chromium in Inorganic Oxides. Chem. Rev. 1996, 96, 3327–3350. [Google Scholar] [CrossRef] [PubMed]
- Garvie, L.A.J.; Craven, A.J.; Brydson, R. Use of Electron-Energy Loss Near-Edge Fine Structure in the Study of Minerals. Am. Mineral. 1994, 79, 411–425. [Google Scholar]
- Zhang, H.; Gilbert, B.; Banfield, J.F. Atomic Perspective on the Serpentine–Chlorite Solid-State Transformation. Chem. Mater. 2021, 33, 6338–6345. [Google Scholar] [CrossRef]
- Cardelli, A.; Cibin, G.; Benfatto, M.; Della Longa, S.; Brigatti, M.F.; Marcelli, A. A Crystal-Chemical Investigation of Cr Substitution in Muscovite by XANES Spectroscopy. Phys. Chem. Miner. 2003, 30, 54–58. [Google Scholar] [CrossRef]
- Brigatti, M.F.; Galli, E.; Medici, L.; Poppi, L.; Cibin, G.; Marcelli, A.; Mottana, A. Chromium-Containing Muscovite: Crystal Chemistry and XANES Spectroscopy. Eur. J. Mineral. 2001, 13, 377–389. [Google Scholar] [CrossRef]
- Balan, E.; Allard, T.; Morin, G.; Calas, G. Incorporation of Cr3+ in Dickite: A Spectroscopic Study. Phys. Chem. Miner. 2002, 29, 273–279. [Google Scholar] [CrossRef]
- Yang, G.; Zhou, L. Montmorillonite-Catalyzed Conversions of Carbon Dioxide to Formic Acid: Active Site, Competitive Mechanisms, Influence Factors and Origin of High Catalytic Efficiency. J. Colloid Interface Sci. 2020, 563, 8–16. [Google Scholar] [CrossRef]








| Sample | Gel | Liquid | pH | Products |
|---|---|---|---|---|
| 0Cr-a | 1 g | 15 mL H2O | 6.32 | kaolinite, AlOOH |
| 0Cr-b | 1 g | 7.5 mL H2O, 7.5 mL 1 M KOH | 9.84 | amesite, AlOOH |
| 0Cr-c | 1 g | 5.0 mL H2O, 10.0 mL 1 M KOH | 12.52 | amesite, AlOOH |
| 0Cr-d | 1 g | 2.5 mL H2O, 12.5 mL 1 M KOH | 12.72 | amesite |
| Bands (cm−1) | Interpretation |
|---|---|
| 604 | In-plane movement of H atoms |
| 666 | Vibration of Si–O |
| 679 | Vibration of Si–O |
| 706 | Vibration of Si–O |
| 787 | Vibration of Si–O |
| 825 | Vibration of Si–O |
| 924 | Equatorial stretching modes of Si–O |
| 973 | Symmetric stretching of apical Si–O |
| 3407 | Stretching of the outer hydroxyl group |
| 3606 | Stretching of the inner hydroxyl group |
| Sample | Gel and Liquid | Al Substitution by Cr | Lattice Parameters (Å) |
|---|---|---|---|
| 10Cr | 1 g gel, 2.5 mL H2O, 12.5 mL 1 M KOH | 13.9% | a = 4.596, c = 42.66 |
| 20Cr | 0.8 g gel, 2.5 mL H2O, 12.5 mL 1 M KOH | 27.2% | a = 4.623, c = 42.90 |
| 33Cr | 0.8 g gel, 2.5 mL H2O, 12.5 mL 1 M KOH | 39.1% | a = 4.629, c = 43.20 |
| For 0Cr, a = 4.59 Å, c = 42.54 Å | |||
Disclaimer/Publisher’s Note: The statements, opinions and data contained in all publications are solely those of the individual author(s) and contributor(s) and not of MDPI and/or the editor(s). MDPI and/or the editor(s) disclaim responsibility for any injury to people or property resulting from any ideas, methods, instructions or products referred to in the content. |
© 2026 by the authors. Licensee MDPI, Basel, Switzerland. This article is an open access article distributed under the terms and conditions of the Creative Commons Attribution (CC BY) license.
Share and Cite
Lin, H.; Zhang, H.; Gilbert, B. Chromium-for-Aluminum Substitution in Synthetic Serpentine. Nanomaterials 2026, 16, 448. https://doi.org/10.3390/nano16080448
Lin H, Zhang H, Gilbert B. Chromium-for-Aluminum Substitution in Synthetic Serpentine. Nanomaterials. 2026; 16(8):448. https://doi.org/10.3390/nano16080448
Chicago/Turabian StyleLin, Huang, Hui Zhang, and Benjamin Gilbert. 2026. "Chromium-for-Aluminum Substitution in Synthetic Serpentine" Nanomaterials 16, no. 8: 448. https://doi.org/10.3390/nano16080448
APA StyleLin, H., Zhang, H., & Gilbert, B. (2026). Chromium-for-Aluminum Substitution in Synthetic Serpentine. Nanomaterials, 16(8), 448. https://doi.org/10.3390/nano16080448

