Bi2Se3/n-Si Schottky Junctions for Near-Infrared Photodetectors
Abstract
1. Introduction
2. Materials and Methods
3. Results and Discussion
3.1. Structural Properties
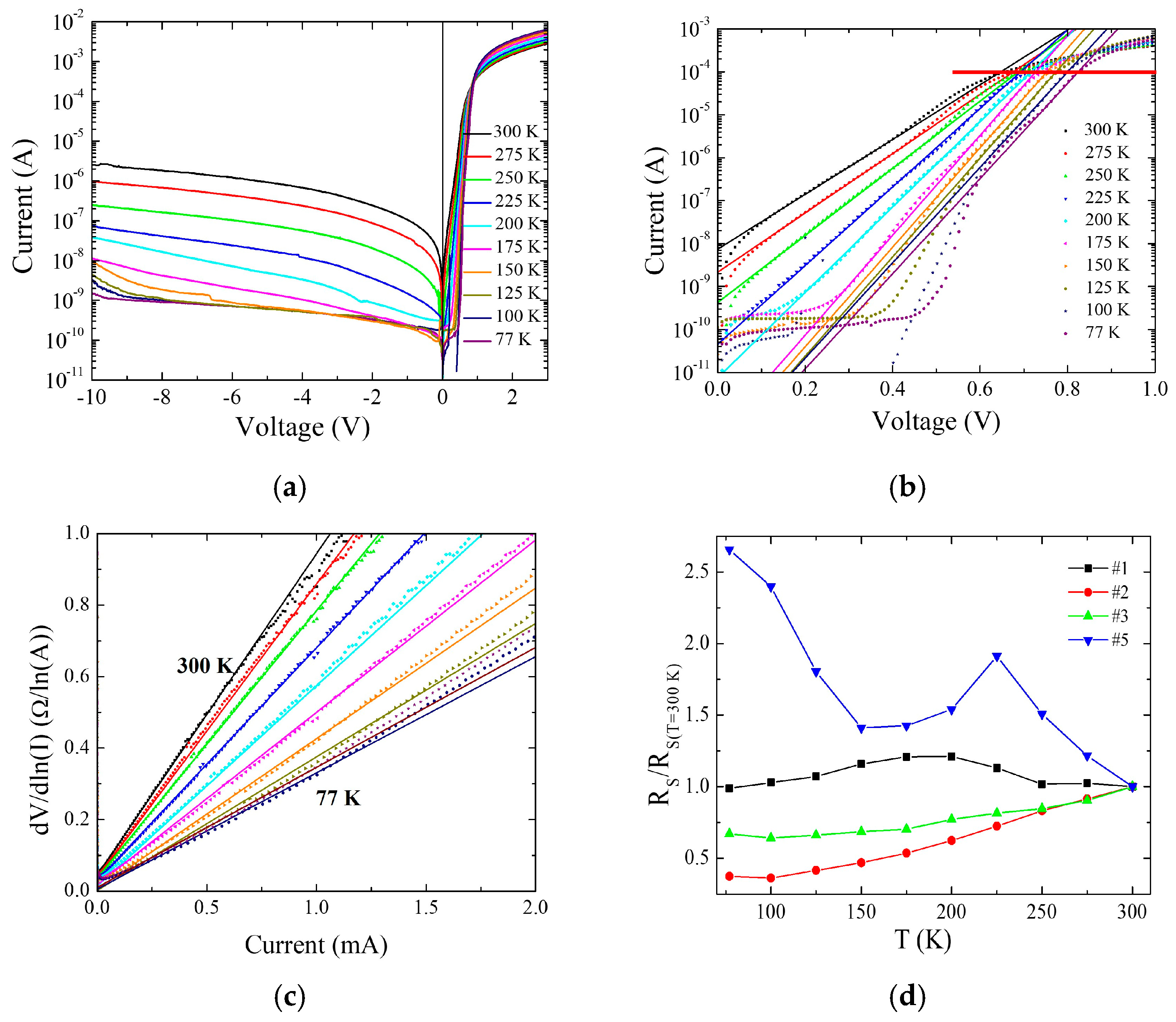
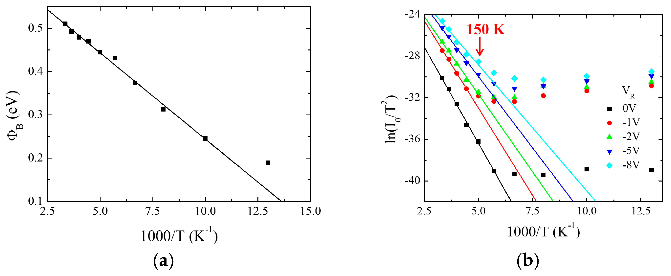
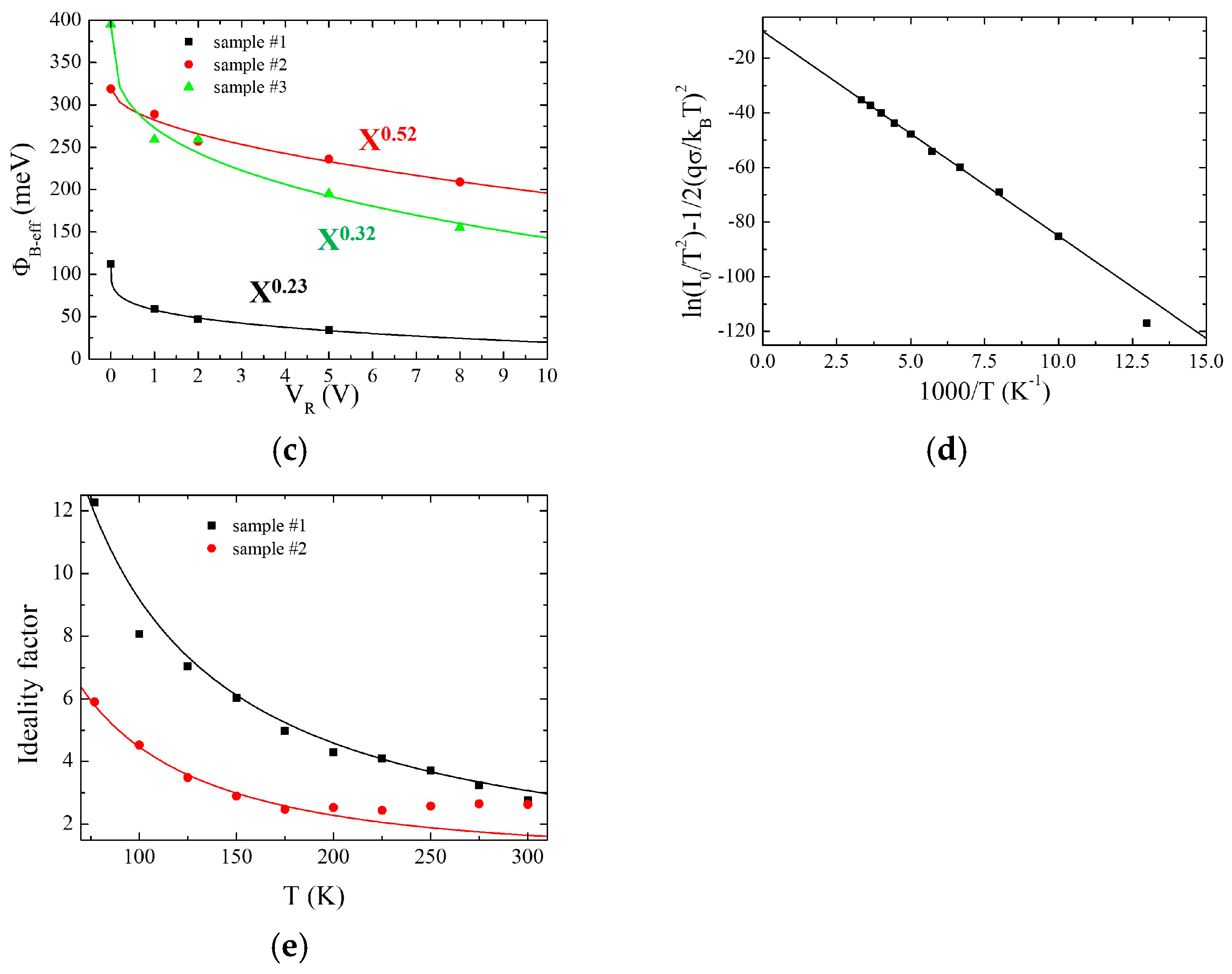
3.2. Charge Transport Mechanism
3.3. Optical Properties
4. Conclusions
Supplementary Materials
Author Contributions
Funding
Data Availability Statement
Conflicts of Interest
Abbreviations
| IR | Infrared |
| XRD | X-ray diffraction |
| SEM | Scanning electron microscope |
| AFM | Atomic force microscopy |
| M/S | Metal/semiconducting |
References
- Eng, P.-C.; Song, S.; Ping, B. State-of-the-art photodetectors for optoelectronic integration at telecommunication wavelength. Nanophotonics 2015, 4, 277–302. [Google Scholar] [CrossRef]
- Wei, Y.; Lan, C.; Zhou, S.; Li, C. Recent Advances in Photodetectors Based on Two-Dimensional Material/Si Heterojunctions. Appl. Sci. 2023, 13, 11037. [Google Scholar] [CrossRef]
- Geim, A.K.; Grigorieva, I.V. Van der Waals heterostructures. Nature 2013, 499, 419. [Google Scholar] [CrossRef] [PubMed]
- Liu, Y.; Weiss, N.O.; Duan, X.; Cheng, H.-C.; Huang, Y.; Duan, X. Van der Waals heterostructures and devices. Nat. Rev. Mater. 2016, 1, 16042. [Google Scholar] [CrossRef]
- Lemme, M.C.; Akinwande, D.; Huyghebaert, C.; Stampfer, C. 2D materials for future heterogeneous electronics. Nat. Commun. 2022, 13, 1392. [Google Scholar] [CrossRef] [PubMed]
- Fiori, G.; Bonaccorso, F.; Iannaccone, G.; Palacios, T.; Neumaier, D.; Seabaugh, A.; Banerjee, S.K.; Colombo, L. Electronics based on two-dimensional materials. Nat. Nanotechnol. 2014, 9, 768. [Google Scholar] [CrossRef] [PubMed]
- Kumar, A.; Viscardi, L.; Faella, E.; Giubileo, F.; Intonti, K.; Pelella, A.; Sleziona, A.; Kharsha, O.; Schleberger, M.; Di Bartolomeo, A. Temperature dependent black phosphorus transistor and memory. Nano Express 2023, 4, 014001. [Google Scholar] [CrossRef]
- Ahn, J.; Yeon, E.; Hwang, D.K. Recent Progress in 2D Heterostructures for High-Performance Photodetectors and Their Applications. Adv. Opt. Mater. 2025, 13, 2403412. [Google Scholar] [CrossRef]
- Chen, P.N.; Ahmed, T.; Kuo, C.; Lu, C.-C.; Lien, D.-H.; Liu, H.C. Emerging 2D Materials and Van der Waals Heterostructures for Advanced NIR, SWIR, and MWIR Emitters. Small 2025, 9, 2401550. [Google Scholar] [CrossRef]
- Kushwaha, A.; Raj, M.; Kumar, R.; Goel, N. Van der Waals heterostructures for advanced infrared photodetection: Innovations in stability and spectral range. Mater. Today Nano 2025, 29, 100582. [Google Scholar] [CrossRef]
- Guo, H.-W.; Hu, Z.; Liu, Z.-B.; Tian, J.-G. Stacking of 2D materials. Adv. Funct. Mater. 2021, 31, 2007810. [Google Scholar] [CrossRef]
- Hong, X.; Shen, J.; Tang, X.; Xie, Y.; Su, M.; Tai, G.; Yao, J.; Fu, Y.; Ji, J.; Liu, X.; et al. High-performance broadband photodetector with in-situ-grown Bi2Se3 film on micropyramidal Si substrate. Opt. Mater. 2021, 117, 111118. [Google Scholar] [CrossRef]
- Zhang, H.; Liu, C.-X.; Qi, X.-L.; Dai, X.; Fang, Z.; Zhang, S.-C. Topological insulators in Bi2Se3, Bi2Te3 and Sb2Te3 with a single Dirac cone on the surface. Nat. Phys. 2009, 5, 438. [Google Scholar] [CrossRef]
- Tkachov, G. Topological Insulators: The Physics of Spin Helicity in Quantum Transport; Taylor and Francis Version; Pan Stanford Publishing: Singapore, 2016; ISBN 978-981-4613-26-2. [Google Scholar]
- Liang, X.; Zhang, S.-C. The quantum spin Hall effect and topological insulators. Phys. Today 2010, 63, 33. [Google Scholar] [CrossRef]
- Yang, M.; Han, Q.; Liu, X.; Han, J.; Zhao, Y.; He, L.; Gou, J.; Wu, Z.; Wang, X.; Wang, J. Ultrahigh Stability 3D TI Bi2Se3/MoO3 Thin Film Heterojunction Infrared Photodetector at Optical Communication Waveband. Adv. Funct. Mater. 2020, 30, 1909659. [Google Scholar] [CrossRef]
- Walsh, L.A.; Hinkle, C.L. van der Waals epitaxy: 2D materials and topological insulators. Appl. Mater. Today 2017, 9, 504–515. [Google Scholar] [CrossRef]
- Wang, B.; Zhong, S.; Xu, P.; Zhang, H. Recent development and advances in Photodetectors based on two-dimensional topological insulators. J. Mater. Chem. C 2020, 8, 15526. [Google Scholar] [CrossRef]
- Salvato, M.; Scagliotti, M.; De Crescenzi, M.; Castrucci, P.; De Matteis, F.; Crivellari, M.; Pelli Cresi, S.; Catone, D.; Bauch, T.; Lombardi, F. Stoichiometric Bi2Se3 topological insulator ultrathin films obtained through a new fabrication process for optoelectronic applications. Nanoscale 2020, 12, 12405–12415. [Google Scholar] [CrossRef]
- Bagolini, A.; Boscardin, M.; Conci, P.; Crivellari, M.; Giacomini, G.; Mattedi, F. Design and experimental characterization of microstructured silicon radiation sensors. In Proceedings of the XVIII AISEM Annual Conference, Trento, Italy, 3–5 February 2015; pp. 1–4. [Google Scholar]
- Dang, W.; Peng, H.; Li, H.; Wang, P.; Liu, Z. Epitaxial Heterostructures of Ultrathin Topological Insulator Nanoplate and Graphene. Nano Lett. 2010, 10, 2870–2876. [Google Scholar] [CrossRef]
- Cullity, B.D. Elements of X-Ray Diffraction, 2nd ed.; Addison-Wesley Publishing Company: Boston, MA, USA, 1978; ISBN 0-201-01174-3. [Google Scholar]
- Di Bartolomeo, A.; Giubileo, F.; Luongo, G.; Iemmo, L.; Martucciello, N.; Niu, G.; Fraschke, M.; Skibitzki, O.; Schroeder, T.; Lupina, G. Tunable Schottky barrier and high responsivity in graphene/Sinanotip optoelectronic device. 2D Mater. 2017, 4, 015024. [Google Scholar] [CrossRef]
- Kunakova, G.; Bauch, T.; Palermo, X.; Salvato, M.; Andzane, J.; Erts, D.; Lombardi, F. High-Mobility Ambipolar Magnetotransport in Topological Insulator Bi2Se3 Nanoribbons. Phys. Rev. Appl. 2021, 16, 024038. [Google Scholar] [CrossRef]
- Salvato, M.; Lucci, M.; Ottaviani, I.; Cirillo, M.; Tamburri, E.; Orlanducci, S.; Terranova, L.M.; Notarianni, M.; Young, C.C.; Behabtu, N.; et al. Transport mechanism in granular Ni deposited on carbon nanotubes fibers. Phys. Rev. B 2012, 86, 115117. [Google Scholar] [CrossRef]
- Sze, S.M.; Kwok, K.N.G. Physics of Semiconducting Devices, 3rd ed.; Wiley-Interscience: Hoboken, NJ, USA, 2007; ISBN 978-0-471-14323-9. [Google Scholar]
- Tung, R.T. The physics and chemistry of the Schottky barrier height. Appl. Phys. Rev. 2014, 1, 011304. [Google Scholar] [CrossRef]
- Ru, G.-P.; Van Meirhaeghe, R.L.; Forment, S.; Jiang, Y.-L.; Qu, X.-P.; Zhu, S.; Li, B.-Z. Voltage dependence of effective barrier height reduction in inhomogeneous Schottky diodes. Solid-State Electron. 2005, 49, 606–611. [Google Scholar] [CrossRef]
- Tung, R.T. Electron transport at metal–semiconductor interfaces: General theory. Phys. Rev. B 1992, 45, 13509. [Google Scholar] [CrossRef]
- Di Bartolomeo, A.; Intonti, K.; Peluso, L.; Di Marco, R.; Vocca, G.; Romeo, F.; Giubileo, F.; Grillo, A.; Orhan, E. Metal-semiconductor Schottky diode with Landauer’s formalism. Nano Express 2025, 6, 022501. [Google Scholar] [CrossRef]
- Tanrıkulu, E.E.; Berkün, O.; Ulusoy, M.; Avar, B.; Durmus, H.; Altındal, S. Evaluation of the current transport mechanism depending on the temperature of Schottky structures with Ti:DLC interlayer. Mater. Today Commun. 2024, 38, 107992. [Google Scholar] [CrossRef]
- Werner, J.H.; Güttler, H.H. Barrier inhomogeneities at Schottky contacts. J. Appl. Phys. 1991, 69, 1522. [Google Scholar] [CrossRef]
- Tung, R.T. Recent advances in Schottky barrier concepts. Mater. Sci. Eng. 2001, 35, 1–138. [Google Scholar] [CrossRef]
- Hong, S.-B.; Kim, D.-K.; Chae, J.; Kim, K.; Jeong, K.; Kim, J.; Park, H.; Yi, Y.; Cho, M.-H. Enhanced Photoinduced Carrier Generation Efficiency through Surface Band Bending in Topological Insulator Bi2Se3 Thin Films by the Oxidized Layer. ACS Appl. Mater. Interfaces 2020, 12, 26649–26658. [Google Scholar] [CrossRef] [PubMed]
- Azizinia, M.; Salvato, M.; Castrucci, P.; Amati, M.; Gregoratti, L.; Parmar, R.; Rauf, M.; Gunnella, R. Surface potential dependence of the topological insulator Bi2Se3 studied by scanning photoemission and Kelvin probe microscopy. Appl. Surf. Sci. 2024, 675, 160899. [Google Scholar] [CrossRef]
- Bianchi, M.; Guan, D.; Bao, S.; Mi, J.; Iversen, B.-B.; King, P.-D.C.; Hofmann, P. Coexistence of the topological state and a two-dimensional electron gas on the surface of Bi2Se3. Nature Comm. 2010, 1, 128. [Google Scholar] [CrossRef] [PubMed]
- Bao, Z.; Wang, Y.; Zhang, K.; Wei, Y.; Pan, X.; Hu, Z.; Lan, S.; Zhang, Y.; Wang, X.; Fan, H.; et al. Topological materials-based photodetectors from the infrared to terahertz range. J. Semicond. 2025, 46, 081401. [Google Scholar] [CrossRef]
- Yadav, P.; Dewan, S.; Mishra, R.; Das, S. Review of recent progress, challenges, and prospects of 2D materials-based short wavelength infrared photodetectors. J. Phys. D Appl. Phys. 2022, 55, 313001. [Google Scholar] [CrossRef]
- Nandi, S.; Ghosh, K.; Meyyappan, M.; Giri, P.K. 2D MXene Electrode-Enabled High-Performance Broadband Photodetector Based on a CVD-Grown 2D Bi2Se3 Ultrathin Film on Silicon. ACS Appl. Electron. Mater. 2023, 5, 6985–6995. [Google Scholar] [CrossRef]
- Parbatani, A.; Song, E.S.; Claypoole, J.; Yu, B. High performance broadband bismuth telluride tetradymite topological insulator photodiode. Nanotechnology 2019, 30, 165201. [Google Scholar] [CrossRef]
- Zhang, Y.; Tang, L.; Teng, K.S. High performance broadband photodetectors based on Sb2Te3/n-Si heterostructure. Nanotechnology 2020, 31, 304002. [Google Scholar] [CrossRef]
- Maurya, G.K.; Gautam, V.; Ahmad, F.; Singh, R.; Kandpal, K.; Kumar, R.; Kumar, M.; Kumar, P.; Tiwari, A. Visible to near-infrared broadband photodetector employing thin film topological insulator heterojunction (p-TlBiSe2/n-Si) diode. Appl. Surf. Sci. 2023, 612, 155813. [Google Scholar] [CrossRef]
- Maurya, G.K.; Ahmad, F.; Kumar, S.; Gautam, V.; Kandpal, K.; Tiwari, A.; Kumar, P. Dual-quadrant photodetection in topological insulator and silicon-based heterojunction (n-Bi2Te2Se/p-Si). Appl. Surf. Sci. 2021, 565, 150497. [Google Scholar] [CrossRef]
- Gu, S.; Ding, K.; Pan, J.; Shao, Z.; Mao, J.; Zhang, X.; Jie, J. Self-driven, broadband and ultrafast photovoltaic detectors based on topological crystalline insulator SnTe/Si heterostructures. J. Mater. Chem. A 2017, 5, 11171–11178. [Google Scholar] [CrossRef]
- Zhao, M.; Su, J.; Zhao, Y.; Luo, P.; Wang, F.; Han, W.; Li, Y.; Zu, X.; Qiao, L.; Zhai, T. Sodium-Mediated Epitaxial Growth of 2D Ultrathin Sb2Se3 Flakes for Broadband Photodetection. Adv. Func. Mater. 2020, 30, 1909849. [Google Scholar] [CrossRef]
- Liu, C.; Zhang, H.; Sun, Z.; Ding, K.; Mao, J.; Shao, Z.; Jie, J. Topological insulator Bi2Se3 nanowire/Si heterostructure photodetectors with ultrahigh responsivity and broadband response. J. Mater. Chem. C 2016, 4, 5648. [Google Scholar] [CrossRef]
- Zhang, H.; Zhang, X.; Liu, C.; Lee, S.-T.; Jie, J. High-Responsivity, High-Detectivity, Ultrafast Topological Insulator Bi2Se3/Silicon Heterostructure Broadband Photodetectors. ACS Nano 2016, 10, 5113–5122. [Google Scholar] [CrossRef] [PubMed]
- Yang, J.; Yu, W.; Pan, Z.; Yu, Q.; Yin, Q.; Guo, L.; Zhao, Y.; Sun, T.; Bao, Q.; Zhang, K. Ultra-Broadband Flexible Photodetector Based on Topological Crystalline Insulator SnTe with High Responsivity. Small 2018, 14, 1802598. [Google Scholar] [CrossRef]





| Sample | Thickness (nm) | RS(T=300 K) (kΩ) | n | ΦM (eV) | A** A/cm2K2 | E00 (meV) |
|---|---|---|---|---|---|---|
| 1 | 17.1 | 5.6 | 2.8 | 4.90 | 0.03 | 79 |
| 2 | 10.1 | 1.9 | 2.6 | 4.69 | 0.02 | 38 |
| 3 | 7.1 | 10 | 2.2 | 4.83 | 0.1 | 47 |
| 4 | 3.3 | - | - | - | - | - |
| 5 | 2.5 | 59 | 5.8 | 4.74 | 0.5 | - |
| 6 | 1.5 | >100 | - | - | - | - |
| Sample | Idark (A) | R (A/W) | D* (Jones) | Rise Time (ns) |
|---|---|---|---|---|
| 2 | 1.4 × 10−5 | 4.5 | 3.1 × 1011 | 337 |
| 3 | 1.1 × 10−6 | 0.53 | 1.4 × 1011 | - |
| 4 | 3.1 × 10−7 | 0.13 | 7.1 × 1010 | 126 |
| 5 | 2 × 10−7 | 0.24 | 1.5 × 1011 | 188 |
| 6 | 2 × 10−7 | 0.06 | 3.6 × 1010 | - |
| Material | Response Time (μs) | λ nm | R (A/W) | D* (Jones) | Processing Temperature (°C) | Structure | Ref |
|---|---|---|---|---|---|---|---|
| Bi2Se3/Si | 19.7 | 980 | 7.6 | 6.3 × 1012 | 374 | film | [39] |
| Bi2Te3/Si | 0.3 × 106 | 635 | 8.9 | 2 × 109 | film | [40] | |
| Sb2Te3/Si | 130 × 103 | 2400 | 270 | 1.3 × 1013 | 300 | film | [41] |
| TlBiSe2/Si | - | 900 | 52 | 1.6 × 1012 | - | film | [42] |
| Bi2Te2Se/Si | 458 × 103 | 650 | 19.6 | 8 × 1011 | 230 | film | [43] |
| SnTe/Si | 8 | 3.7 | 8.4 × 1012 | film | [44] | ||
| Bi2Se3/Si | 520 560 | 635 1550 | 7.2 × 10−3 3 × 10−5 | 1.2 × 1011 1.4 × 105 | 250 | Pyramidal Si | [12] |
| Na-Sb2Se3/Si | 13.6 × 103 | 532 | 4.3 | 2.5 × 109 | film | [45] | |
| Bi2Se3/Si | 45 × 103 | 808 | 103 | 3 × 1012 | nanowire | [46] | |
| Bi2Se3/Si | 2.5 | 24.3 | 4.4 × 1012 | - | film | [47] | |
| SnTe/Si | 0.2 × 106 | 254 | 71.1 | - | nanoflakes | [48] | |
| Bi2Se3/Si | 0.126 | 633 | 4.5 | 3.1 × 1011 | <100 | film | This work |
Disclaimer/Publisher’s Note: The statements, opinions and data contained in all publications are solely those of the individual author(s) and contributor(s) and not of MDPI and/or the editor(s). MDPI and/or the editor(s) disclaim responsibility for any injury to people or property resulting from any ideas, methods, instructions or products referred to in the content. |
© 2026 by the authors. Licensee MDPI, Basel, Switzerland. This article is an open access article distributed under the terms and conditions of the Creative Commons Attribution (CC BY) license.
Share and Cite
Salvato, M.; Ciciotti, R.; Pierucci, F.; Scagliotti, M.; Rapisarda, M.; Vecchione, A.; Guarino, A.; Crivellari, M.; Castrucci, P. Bi2Se3/n-Si Schottky Junctions for Near-Infrared Photodetectors. Nanomaterials 2026, 16, 67. https://doi.org/10.3390/nano16010067
Salvato M, Ciciotti R, Pierucci F, Scagliotti M, Rapisarda M, Vecchione A, Guarino A, Crivellari M, Castrucci P. Bi2Se3/n-Si Schottky Junctions for Near-Infrared Photodetectors. Nanomaterials. 2026; 16(1):67. https://doi.org/10.3390/nano16010067
Chicago/Turabian StyleSalvato, Matteo, Riccardo Ciciotti, Filippo Pierucci, Mattia Scagliotti, Matteo Rapisarda, Antonio Vecchione, Anita Guarino, Michele Crivellari, and Paola Castrucci. 2026. "Bi2Se3/n-Si Schottky Junctions for Near-Infrared Photodetectors" Nanomaterials 16, no. 1: 67. https://doi.org/10.3390/nano16010067
APA StyleSalvato, M., Ciciotti, R., Pierucci, F., Scagliotti, M., Rapisarda, M., Vecchione, A., Guarino, A., Crivellari, M., & Castrucci, P. (2026). Bi2Se3/n-Si Schottky Junctions for Near-Infrared Photodetectors. Nanomaterials, 16(1), 67. https://doi.org/10.3390/nano16010067

