Graphitic Carbon Nitride Nanomaterials-Based Electrochemical Sensing Interfaces for Monitoring Heavy Metal Ions in Aqueous Environments
Abstract
1. Introduction
2. The Performance Characteristics of C3N4
2.1. The Crystal Structure of C3N4
2.2. The Electronic Properties of C3N4
2.3. Surface Physicochemical Properties of C3N4
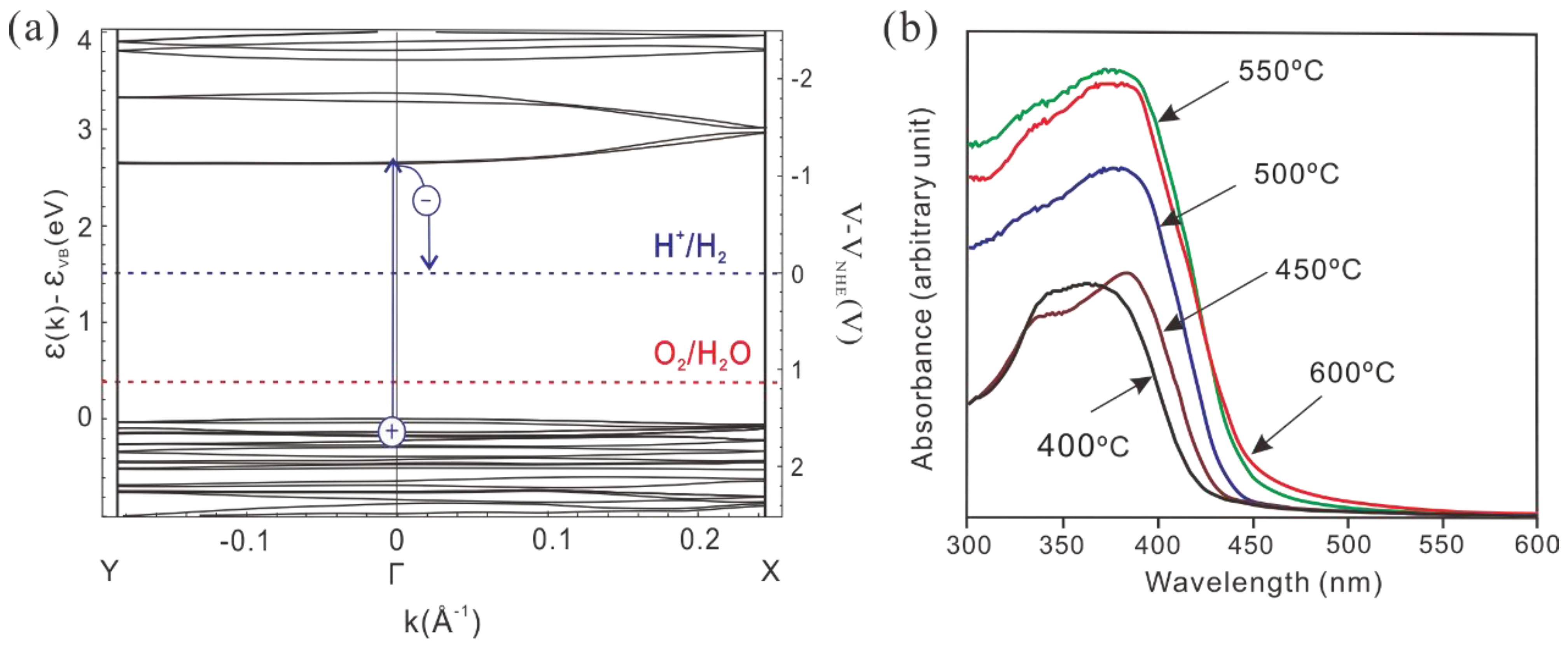
2.4. Photoelectrochemical Properties of C3N4
2.5. Electrochemical Properties of C3N4
3. Electrochemical Detection of Heavy Metal Ions
3.1. Electrochemical Detection Methods
3.2. Possible Mechanisms of Heavy Metal Ion Detection Based on g-C3N4 Nanomaterials
4. Application of g-C3N4 in Heavy Metal Detection
4.1. g-C3N4 Nanofibers/Tubes
4.2. g-C3N4 Nanosheets

4.3. The Mesopores g-C3N4
4.4. g-C3N4-Based Nanocomposites
4.4.1. Metal Nanoparticles/g-C3N4 Nanocomposites
4.4.2. Metal Oxide Nanomaterials/g-C3N4 Nanocomposites
4.4.3. Carbonaceous Nanomaterials/g-C3N4 Nanocomposites
4.4.4. Conductive Polymer/g-C3N4 Nanocomposites
- (1)
- Enhanced photocatalytic performance
- (2)
- Improved conductivity and charge transfer capability
- (3)
- Improved thermal and chemical stability
5. Conclusions and Prospects
Funding
Data Availability Statement
Conflicts of Interest
References
- Lei, P.; Zhou, Y.; Zhao, S.; Dong, C.; Shuang, S. Carbon-supported X-manganate (XNi, Zn, and Cu) nanocomposites for sensitive electrochemical detection of trace heavy metal ions. J. Hazard. Mater. 2022, 435, 129036. [Google Scholar] [CrossRef]
- Venkateswara Raju, C.; Hwan Cho, C.; Mohana Rani, G.; Manju, V.; Umapathi, R.; Suk Huh, Y.; Pil Park, J. Emerging insights into the use of carbon-based nanomaterials for the electrochemical detection of heavy metal ions. Coord. Chem. Rev. 2023, 476, 214920. [Google Scholar] [CrossRef]
- Meng, R.; Zhu, Q.; Long, T.; He, X.; Luo, Z.; Gu, R.; Wang, W.; Xiang, P. The innovative and accurate detection of heavy metals in foods: A critical review on electrochemical sensors. Food Control. 2023, 150, 109743. [Google Scholar] [CrossRef]
- Tian, Y.; Liu, J.; Qiao, J.; Ge, F.; Yang, Y.; Zhang, Q. Advancements in Electrochemical Sensing Technology for Heavy Metal Ions Detection. Food Chem. X 2025, 25, 102204. [Google Scholar] [CrossRef]
- Shrivastava, R.; Sharma, N.; Swami, S.; Nair, R.; Singh, A.P. Graphene derived electrochemical sensor for sensing of heavy metal ions: A current overview. Microchem. J. 2025, 209, 112729. [Google Scholar] [CrossRef]
- Zhang, H.; Song, J.; Wang, S.; Song, Q.; Guo, H.; Li, Z. Recent progress in macrocyclic chemosensors for lead, cadmium and mercury heavy metal ions. Dye. Pigment. 2023, 216, 111380. [Google Scholar] [CrossRef]
- Chen, X.; Ke, X.X.; Liu, Y.; Weerasooriya, R.; Li, H.; Wu, Y.C. Photocatalytically induced Au/mpg-C3N4 nanocomposites for robust electrochemical detection of Cr(VI) in tannery wastewater. J. Environ. Chem. Eng. 2021, 9, 9. [Google Scholar] [CrossRef]
- Nayan Kumar, H.N.; Nagaraju, D.H.; Yhobu, Z.; Shivakumar, P.; Manjunatha Kumara, K.S.; Budagumpi, S.; Praveen, B.M. Recent advances in on-site monitoring of heavy metal ions in the environment. Microchem. J. 2022, 182, 107894. [Google Scholar] [CrossRef]
- Zounr, R.A.; Tuzen, M.; Deligonul, N.; Khuhawar, M.Y. A highly selective and sensitive ultrasonic assisted dispersive liquid phase microextraction based on deep eutectic solvent for determination of cadmium in food and water samples prior to electrothermal atomic absorption spectrometry. Food Chem. 2018, 253, 277–283. [Google Scholar] [CrossRef]
- Luo, X.L.; Zhang, W.G.; Han, Y.; Chen, X.M.; Zhu, L.; Tang, W.Z.; Wang, J.L.; Yue, T.L.; Li, Z.H. N,S co-doped carbon dots based fluorescent “on-off-on” sensor for determination of ascorbic acid in common fruits. Food Chem. 2018, 258, 214–221. [Google Scholar] [CrossRef]
- Swanston, T.; Varney, T.; Coulthard, I.; George, G.N.; Pickering, I.J.; Murphy, R.; Cooper, D.M.L. Synchrotron X-ray fluorescence imaging evidence of biogenic mercury identified in a burial in colonial Antigua. J. Archaeol. Sci. 2015, 58, 26–30. [Google Scholar] [CrossRef]
- Nehzati, S.; Dolgova, N.V.; Young, C.G.; James, A.K.; Cotelesage, J.J.H.; Sokaras, D.; Kroll, T.; Qureshi, M.; Pickering, I.J.; George, G.N. Mercury Lα1 High Energy Resolution Fluorescence Detected X-ray Absorption Spectroscopy: A Versatile Speciation Probe for Mercury. Inorg. Chem. 2022, 61, 5201–5214. [Google Scholar] [CrossRef]
- Guo, H.; Niu, C.G.; Zhang, L.; Wen, X.J.; Liang, C.; Zhang, X.G.; Guan, D.L.; Tang, N.; Zeng, G.M. Construction of Direct Z-Scheme AgI/Bi2Sn2O7 Nanojunction System with Enhanced Photocatalytic Activity: Accelerated Interfacial Charge Transfer Induced Efficient Cr(VI) Reduction, Tetracycline Degradation and Escherichia coli Inactivation. Acs Sustain. Chem. Eng. 2018, 6, 8003–8018. [Google Scholar] [CrossRef]
- Sulthana, S.F.; Iqbal, U.M.; Suseela, S.B.; Anbazhagan, R.; Chinthaginjala, R.; Chitathuru, D.; Ahmad, I.; Kim, T.-h. Electrochemical Sensors for Heavy Metal Ion Detection in Aqueous Medium: A Systematic Review. ACS Omega 2024, 9, 25493–25512. [Google Scholar] [CrossRef] [PubMed]
- Zhang, S.; Wang, J.; Zhang, Y.; Ma, J.; Huang, L.; Yu, S.; Chen, L.; Song, G.; Qiu, M.; Wang, X. Applications of water-stable metal-organic frameworks in the removal of water pollutants: A review. Environ. Pollut. 2021, 291, 118076. [Google Scholar] [CrossRef] [PubMed]
- Zhang, Y.; Xu, Y.; Ma, Y.; Luo, H.; Hou, J.; Hou, C.; Huo, D. Ultra-sensitive electrochemical sensors through self-assembled MOF composites for the simultaneous detection of multiple heavy metal ions in food samples. Anal. Chim. Acta 2024, 1289, 342155. [Google Scholar] [CrossRef]
- Kastro, K.C.; Seo, M.J.; Jeong, H.; Kim, J. Effect of Nanostructures of Au Electrodes on the Electrochemical Detection of As. J. Electrochem. Sci. Technol. 2019, 10, 206–213. [Google Scholar] [CrossRef]
- Sun, Y.; Wang, X.; Zhang, H. Sensitive and Stable Electrochemical Sensor for Folic Acid Determination Using a ZIF-67/AgNWs Nanocomposite. Biosensors 2022, 12, 382. [Google Scholar] [CrossRef]
- Bai, X.; Gao, K.; Huang, X.; Qin, C.D.; Zhang, Y.; Han, X. Electrochemical Sensing Characteristics of 3D TiO2 Nanostructures with Different Crystal Structures and Morphologies. J. Electrochem. Soc. 2018, 165, D663–D669. [Google Scholar] [CrossRef]
- Goswami, B.; Mahanta, D. Fe3O4-Polyaniline Nanocomposite for Non-enzymatic Electrochemical Detection of 2,4-Dichlorophenoxyacetic Acid. Acs Omega 2021, 6, 17239–17246. [Google Scholar] [CrossRef]
- Wei, C.; Wang, Z.; Hu, Y.; Huang, J.; Zhang, Y.; Wang, H.; Liu, Q.; Yu, Z. Layer-by-layer growth of Cu3(HHTP)2 films on Cu(OH)2 nanowire arrays for high performance ascorbic acid sensing. Biosens. Bioelectron. 2024, 255, 116256. [Google Scholar] [CrossRef]
- Rajaji, U.; Chen, T.W.; Chinnapaiyan, S.; Chen, S.M.; Govindasamy, M. Two-dimensional binary nanosheets (Bi2Te3@g-C3N4): Application toward the electrochemical detection of food toxic chemical. Anal. Chim. Acta 2020, 1125, 220–230. [Google Scholar] [CrossRef] [PubMed]
- Zheng, H.T.; Ntuli, L.; Mbanjwa, M.; Palaniyandy, N.; Smith, S.; Modibedi, M.; Land, K.; Mathe, M. The Effect of g-C3N4 Materials on Pb(II) and Cd(II) Detection Using Disposable Screen-Printed Sensors. Electrocatalysis 2019, 10, 149–155. [Google Scholar] [CrossRef]
- Liu, Y.; Wen, G.L.; Chen, X.; Weerasooriya, R.; Hong, Z.Y.; Wang, L.C.; Huang, Z.J.; Wu, Y.C. Construction of electrochemical sensing interface towards Cd(II) based on activated g-C3N4 nanosheets: Considering the effects of exfoliation and protonation treatment. Anal. Bioanal. Chem. 2020, 412, 343–353. [Google Scholar] [CrossRef]
- Chen, Z.; Zhang, Y.; Yang, Y.; Shi, X.; Zhang, L.; Jia, G. Hierarchical nitrogen-doped holey graphene as sensitive electrochemical sensor for methyl parathion detection. Sens. Actuators B Chem. 2021, 336, 129721. [Google Scholar] [CrossRef]
- Amin, H.M.A.; El-Kady, M.F.; Atta, N.F.; Galal, A. Gold Nanoparticles Decorated Graphene as a High Performance Sensor for Determination of Trace Hydrazine Levels in Water. Electroanalysis 2018, 30, 1757–1766. [Google Scholar] [CrossRef]
- Patel, M.; Bisht, N.; Prabhakar, P.; Sen, R.K.; Kumar, P.; Dwivedi, N.; Ashiq, M.; Mondal, D.P.; Srivastava, A.K.; Dhand, C. Ternary nanocomposite-based smart sensor: Reduced graphene oxide/polydopamine/alanine nanocomposite for simultaneous electrochemical detection of Cd2+, Pb2+, Fe2+, and Cu2+ ions. Environ. Res. 2023, 221, 115317. [Google Scholar] [CrossRef]
- Tan, Z.; Wu, W.; Feng, C.; Wu, H.; Zhang, Z. Simultaneous determination of heavy metals by an electrochemical method based on a nanocomposite consisting of fluorinated graphene and gold nanocage. Microchim. Acta 2020, 187, 414. [Google Scholar] [CrossRef]
- Cao, Q.; Kumru, B.; Antonietti, M.; Schmidt, B. Graphitic carbon nitride and polymers: A mutual combination for advanced properties. Mater. Horiz. 2020, 7, 762–786. [Google Scholar] [CrossRef]
- Li, W.; Liu, J.; Zhong, Y.; Li, P.; Zhu, X.; Zhang, Y.; Liu, M.; Yao, S. Single-atom iron nanoatalysts facilitate electrochemiluminescence of graphitic carbon nitride for copper ion sensing. Sens. Actuators B Chem. 2024, 417, 136201. [Google Scholar] [CrossRef]
- Kamble, B.B.; Sharma, K.K.; Sonawane, K.D.; Tayade, S.N.; Grammatikos, S.; Reddy, Y.V.M.; Reddy, S.L.; Shin, J.H.; Park, J.P. Graphitic carbon nitride-based electrochemical sensors: A comprehensive review of their synthesis, characterization, and applications. Adv. Colloid Interface Sci. 2024, 333, 103284. [Google Scholar] [CrossRef]
- Ishak, N.; Jeyalakshmi, V.; Setka, M.; Grandcolas, M.; Devadas, B.; Šoóš, M. Upgrading of g-C3N4 semiconductor by a Nitrogen-doped carbon material: A photocatalytic degradation application. J. Environ. Chem. Eng. 2023, 11, 109381. [Google Scholar] [CrossRef]
- Qian, W.; Fang, Y.; Liu, H.; Deng, Y.; Li, Y.; Zhang, Y.; Diao, Z.; Li, M. Photocatalytic Degradation of Tetracycline Hydrochloride by Mn/g-C3N4/BiPO4 and Ti/g-C3N4/BiPO4 Composites: Reactivity and Mechanism. Catalysts 2023, 13, 1398. [Google Scholar] [CrossRef]
- Yan, Y.; Meng, Q.; Tian, L.; Cai, Y.; Zhang, Y.; Chen, Y. Engineering of g-C3N4 for Photocatalytic Hydrogen Production: A Review. Int. J. Mol. Sci. 2024, 25, 8842. [Google Scholar] [CrossRef] [PubMed]
- Xu, Y.; Wang, X.; Zhu, L.; An, R.; Qi, Z.; Wu, H.; Miao, T.; Li, L.; Fu, X. Construction and performance of a simple and efficient g-C3N4 photocatalytic hydrogen production system. RSC Adv. 2021, 11, 36034–36041. [Google Scholar] [CrossRef] [PubMed]
- Tong, Z.; Hai, Y.; Wang, B.; Lv, F.; Zhong, Z.; Xiong, R. Activated g-C3N4 Photocatalyst with Defect Engineering for Efficient Reduction of CO2 in Water. J. Phys. Chem. C 2023, 127, 11067–11075. [Google Scholar] [CrossRef]
- Jiang, P.; Wang, K.; Liu, W.; Song, Y.; Zheng, R.; Chen, L.; Su, B. Hot Electrons Induced by Localized Surface Plasmon Resonance in Ag/g-C3N4 Schottky Junction for Photothermal Catalytic CO2 Reduction. Polymers 2024, 16, 2317. [Google Scholar] [CrossRef] [PubMed]
- Vinoth, S.; Subramani, K.; Ong, W.J.; Sathish, M.; Pandikumar, A. CoS2 engulfed ultra-thin S-doped g-C3N4 and its enhanced electrochemical performance in hybrid asymmetric supercapacitor. J. Colloid Interface science 2021, 584, 204–215. [Google Scholar] [CrossRef]
- Subbiah, M.; Radhakrishnan, A.; Tharmaraj, M.; Lakshmanan, A.; Venkatachalam, S.; Srinivasan, N. Facile synthesis of mesoporous Co3O4 anchoring on the g-C3N4 nanosheets for high performance supercapacitor. J. Alloys Compd. 2024, 1008, 176689. [Google Scholar] [CrossRef]
- Wang, X.X.; Li, X.; Wang, J.Q.; Zhu, H.T. Recent Advances in Carbon Nitride-based Nanomaterials for the Removal of Heavy Metal Ions from Aqueous Solution. J. Inorg. Mater. 2020, 35, 260–270. [Google Scholar] [CrossRef]
- Ayodhya, D. A review on recent advances in selective and sensitive detection of heavy toxic metal ions in water using g-C3N4-based heterostructured composites. Mater. Chem. Front. 2022, 6, 2610–2650. [Google Scholar] [CrossRef]
- Amor, C.; Lucas, M.S.; Garcia, J.; Dominguez, J.R.; Beltran De Heredia, J.; Peres, J.A. Combined treatment of olive mill wastewater by Fenton's reagent and anaerobic biological process. J. Environ. Sci. Health Part A-Toxic/Hazard. Subst. Environ. Eng. 2015, 50, 161–168. [Google Scholar] [CrossRef]
- Sehnert, J.; Baerwinkel, K.; Senker, J. Ab Initio Calculation of Solid-State NMR Spectra for Different Triazine and Heptazine Based Structure Proposals of g-C3N4. J. Phys. Chem. B 2007, 111, 10671–10680. [Google Scholar] [CrossRef] [PubMed]
- Khabashesku, V.N.; Zimmerman, J.L.; Margrave, J.L. Powder Synthesis and Characterization of Amorphous Carbon Nitride. Chem. Mater. 2000, 12, 3264–3270. [Google Scholar] [CrossRef]
- Iqbal, O.; Ali, H.; Li, N.; Al-Sulami, A.I.; F Alshammari, K.; Abd-Rabboh, H.S.M.; Al-Hadeethi, Y.; Din, I.U.; Alharthi, A.I.; Altamimi, R.; et al. A review on the synthesis, properties, and characterizations of graphitic carbon nitride (g-C3N4) for energy conversion and storage applications. Mater. Today Phys. 2023, 34, 101080. [Google Scholar] [CrossRef]
- Jiang, R.; Li, W.; Zhu, K.; Ye, W.; Zhu, G.; Jia, G.; Xu, F.; Wang, J.; Tao, T.; Wang, Y.; et al. TiO2/β-C3N4 for sunlight-driven overall water splitting. J. Alloys Compd. 2022, 920, 166045. [Google Scholar] [CrossRef]
- Zhou, X.; Xu, D.; Huang, J.; Tong, S.; Qiao, P.; Zhang, Z. Cryo-Electrochemical Deposition of Gold Single Atoms on G-C3N4 for Photoelectrochemical Water Reduction. Adv. Funct. Mater. 2024. [Google Scholar] [CrossRef]
- Zhang, S.; Gu, P.; Ma, R.; Luo, C.; Wen, T.; Zhao, G.; Cheng, W.; Wang, X. Recent developments in fabrication and structure regulation of visible-light-driven g-C3N4-based photocatalysts towards water purification: A critical review. Catal. Today 2019, 335, 65–77. [Google Scholar] [CrossRef]
- Liu, J.; Hua, E. High Photocatalytic Activity of Heptazine-Based g-C3N4/SnS2 Heterojunction and Its Origin: Insights from Hybrid DFT. J. Phys. Chem. C 2017, 121, 25827–25835. [Google Scholar] [CrossRef]
- Fanchini, G.; Tagliaferro, A.; Conway, N.M.J.; Godet, C. Role of lone-pair interactions and local disorder in determining the interdependency of optical constants of a-CN:H thin films. Phys. Rev. B (Condens. Matter Mater. Phys.) 2002, 66, 195411–195419. [Google Scholar] [CrossRef]
- Abd El-kader, F.H.; Moharram, M.A.; Khafagia, M.G.; Mamdouh, F. Influence of the nitrogen content on the optical properties of CNx films. Spectrochim. Acta Part A Mol. Biomol. Spectrosc. 2012, 97, 1115–1119. [Google Scholar] [CrossRef]
- Wang, X.; Maeda, K.; Thomas, A.; Takanabe, K.; Xin, G.; Carlsson, J.M.; Domen, K.; Antonietti, M. A metal-free polymeric photocatalyst for hydrogen production from water under visible light. Nat. Mater. 2009, 8, 76–80. [Google Scholar] [CrossRef]
- Mittal, D.; Dutta, D.P. Synthesis, structure, and selected photocatalytic applications of graphitic carbon nitride: A review. J. Mater. Sci. Mater. Electron. 2021, 32, 18512–18543. [Google Scholar] [CrossRef]
- Xue, B.; Chen, Y.; Hong, Y.; Ma, D.-Y.; Xu, J.; Li, Y.-X. Facile synthesis of Fe-containing graphitic carbon nitride materials and their catalytic application in direct hydroxylation of benzene to phenol. Chin. J. Catal. 2018, 39, 1263–1271. [Google Scholar] [CrossRef]
- Zhu, J.; Xiao, P.; Li, H.; Carabineiro, S.A.C. Graphitic Carbon Nitride: Synthesis, Properties, and Applications in Catalysis. ACS Appl. Mater. Interfaces 2014, 6, 16449–16465. [Google Scholar] [CrossRef] [PubMed]
- Sun, X.; Shi, Y.; Lu, J.; Shi, W.; Guo, F. Template-free self-assembly of three-dimensional porous graphitic carbon nitride nanovesicles with size-dependent photocatalytic activity for hydrogen evolution. Appl. Surf. Sci. 2022, 606, 154841. [Google Scholar] [CrossRef]
- Yang, F.; Ding, G.; Wang, J.; Liang, Z.; Gao, B.; Dou, M.; Xu, C.; Li, S. Self-cleaning, antimicrobial, and antifouling membrane via integrating mesoporous graphitic carbon nitride into polyvinylidene fluoride. J. Membr. Sci. 2020, 606, 118146. [Google Scholar] [CrossRef]
- Zhu, C.; Wang, Y.; Jiang, Z.; Xu, F.; Xian, Q.; Sun, C.; Tong, Q.; Zou, W.; Duan, X.; Wang, S. CeO2 nanocrystal-modified layered MoS2/g-C3N4 as 0D/2D ternary composite for visible-light photocatalytic hydrogen evolution: Interfacial consecutive multi-step electron transfer and enhanced H2O reactant adsorption. Appl. Catal. B Environ. 2019, 259, 118072. [Google Scholar] [CrossRef]
- Wang, N.; Cheng, L.; Liao, Y.; Xiang, Q. Effect of Functional Group Modifications on the Photocatalytic Performance of g-C3N4. Small 2023, 19, 2300109. [Google Scholar] [CrossRef]
- Shen, Y.; Shi, J.; Wang, Y.; Shi, Y.; Shan, P.; Zhang, S.; Hou, J.; Guo, F.; Li, C.; Shi, W. Incorporation of hydroxyl groups and π-rich electron domains into g-C3N4 framework for boosted sacrificial agent-free photocatalytic H2O2 production. Chem. Eng. J. 2024, 498, 155774. [Google Scholar] [CrossRef]
- Thomas, A.; Fischer, A.; Goettmann, F.; Antonietti, M.; Muller, J.O.; Schlogl, R.; Carlsson, J.M. Graphitic carbon nitride materials: Variation of structure and morphology and their use as metal-free catalysts. J. Mater. Chem. 2008, 18, 4893–4908. [Google Scholar] [CrossRef]
- Reddy, I.N.; Jayashree, N.; Manjunath, V.; Kim, D.; Shim, J. Photoelectrochemical Studies on Metal-Doped Graphitic Carbon Nitride Nanostructures under Visible-Light Illumination. Catalysts 2020, 10, 983. [Google Scholar] [CrossRef]
- Karimi-Nazarabad, M.; Goharshadi, E.K.; Mahdizadeh, S.J. Efficient Photoelectrocatalytic Water Oxidation by Palladium Doped g-C3N4 Electrodeposited Thin Film. J. Phys. Chem. C 2019, 123, 26106–26115. [Google Scholar] [CrossRef]
- Yuan, Y.J.; Shen, Z.K.; Wu, S.T.; Su, Y.B.; Pei, L.; Ji, Z.G.; Ding, M.Y.; Bai, W.F.; Chen, Y.F.; Yu, Z.T.; et al. Liquid exfoliation of g-C3N4 nanosheets to construct 2D-2D MoS2/g-C3N4 photocatalyst for enhanced photocatalytic H2 production activity. Appl. Catal. B-Environ. 2019, 246, 120–128. [Google Scholar] [CrossRef]
- Zhang, S.; Liu, Y.; Gu, P.; Ma, R.; Wen, T.; Zhao, G.; Li, L.; Ai, Y.; Hu, C.; Wang, X. Enhanced photodegradation of toxic organic pollutants using dual-oxygen-doped porous g-C3N4: Mechanism exploration from both experimental and DFT studies. Appl. Catal. B-Environ. 2019, 248, 1–10. [Google Scholar] [CrossRef]
- Wang, L.Q.; Tong, Y.Y.; Feng, J.M.; Hou, J.G.; Li, J.; Hou, X.G.; Liang, J. G-C3N4-based films: A rising star for photoelectrochemical water splitting. Sustain. Mater. Technol. 2019, 19, 20. [Google Scholar] [CrossRef]
- Du, J.Y.; Fan, Y.F.; Gan, X.R.; Dang, X.M.; Zhao, H.M. Three-dimension branched crystalline carbon nitride: A high efficiency photoelectrochemical sensor of trace Cu2+ detection. Electrochim. Acta 2020, 330, 135336. [Google Scholar] [CrossRef]
- Bu, Y.; Chen, Z.; Yu, J.; Li, W. A novel application of g-C3N4 thin film in photoelectrochemical anticorrosion. Electrochim. Acta 2013, 88, 294–300. [Google Scholar] [CrossRef]
- Su, F.; Mathew, S.C.; Lipner, G.; Fu, X.; Antonietti, M.; Blechert, S.; Wang, X. mpg-C3N4-Catalyzed Selective Oxidation of Alcohols Using O2 and Visible Light. J. Am. Chem. Soc. 2010, 132, 16299–16301. [Google Scholar] [CrossRef]
- Cui, M.; Cui, K.; Liu, X.; Shi, J.; Chen, X.; Chen, Y. Synergistic effect of mesoporous graphitic carbon nitride and peroxydisulfate in visible light-induced degradation of atenolol: A combined experimental and theoretical study. Chem. Eng. J. 2021, 412, 127979. [Google Scholar] [CrossRef]
- Cai, W.; Shi, Y.; Wu, D.; Li, J.; Xu, L.; Kong, Y. A dual-signal ECL-RET immunosensor based on VC-g-C3N4 and Ru-Zr-MOF for the detection of β2-MG. Microchem. J. 2024, 201, 110539. [Google Scholar] [CrossRef]
- Wang, M.; Fu, R.; Jin, C.; Li, Z.; Sun, J.; Yu, P.; You, M. The facile fabrication of g-C3N4 ultrathin nanosheets with higher specific surface areas for highly sensitive detection of trace cadmium. Measurement 2019, 140, 548–556. [Google Scholar] [CrossRef]
- GadelHak, Y.; Hafez, S.H.M.; Mohamed, H.F.M.; Abdel-Hady, E.E.; Mahmoud, R. Nanomaterials-modified disposable electrodes and portable electrochemical systems for heavy metals detection in wastewater streams: A review. Microchem. J. 2023, 193, 109043. [Google Scholar] [CrossRef]
- Bansod, B.; Kumar, T.; Thakur, R.; Rana, S.; Singh, I. A review on various electrochemical techniques for heavy metal ions detection with different sensing platforms. Biosens Bioelectron 2017, 94, 443–455. [Google Scholar] [CrossRef] [PubMed]
- Cao, R.; Liu, X.; Yang, C.; Wu, J. Detection of Trace Hg(II) in Cosmetics and Aqueous Solution by a Gold Nanospikes Electrochemical Sensor. J. Electrochem. Soc. 2023, 170, 037510. [Google Scholar] [CrossRef]
- Liu, Y.; Lv, X.-X.; Bao, Q.-X.; Cui, K.-P.; Chen, X. Carbon-coated Fe3O4 derived from metal-organic frameworks on reduced graphene as electrochemical sensor platform for Hg(II) determination. Microchem. J. 2024, 205, 111355. [Google Scholar] [CrossRef]
- Cui, L.; Wu, J.; Ju, H. Electrochemical sensing of heavy metal ions with inorganic, organic and bio-materials. Biosens. Bioelectron. 2015, 63, 276–286. [Google Scholar] [CrossRef]
- Abbas, A.; Amin, H.M.A. Silver nanoparticles modified electrodes for electroanalysis: An updated review and a perspective. Microchem. J. 2022, 175, 107166. [Google Scholar] [CrossRef]
- Chen, Z.S.; Zhang, S.; Liu, Y.; Alharbi, N.S.; Rabah, S.O.; Wang, S.H.; Wang, X.X. Synthesis and fabrication of g-C3N4-based materials and their application in elimination of pollutants. Sci. Total Environ. 2020, 731, 139054. [Google Scholar] [CrossRef]
- Shen, C.; Chen, C.; Wen, T.; Zhao, Z.; Wang, X.; Xu, A. Superior adsorption capacity of g-C3N4 for heavy metal ions from aqueous solutions. J. Colloid Interface Sci. 2015, 456, 7–14. [Google Scholar] [CrossRef]
- Hu, J.; Li, Z.; Zhai, C.; Zeng, L.; Zhu, M. Photo-assisted simultaneous electrochemical detection of multiple heavy metal ions with a metal-free carbon black anchored graphitic carbon nitride sensor. Anal. Chim. Acta 2021, 1183, 338951. [Google Scholar] [CrossRef] [PubMed]
- Zheng, J.; Rahim, M.A.; Tang, J.; Allioux, F.-M.; Kalantar-Zadeh, K. Post-Transition Metal Electrodes for Sensing Heavy Metal Ions by Stripping Voltammetry. Adv. Mater. Technol. 2022, 7, 2100760. [Google Scholar] [CrossRef]
- Kumar, P.; Boukherroub, R.; Shankar, K. Sunlight-driven water-splitting using two-dimensional carbon based semiconductors. J. Mater. Chem. A 2018, 6, 12876–12931. [Google Scholar] [CrossRef]
- Li, Q.; Wen, N.; Zhang, W.; Yu, L.; Shen, J.; Li, S.; Lv, Y. Preparation of g-C3N4/TCNQ Composite and Photocatalytic Degradation of Pefloxacin. Micromachines 2023, 14, 941. [Google Scholar] [CrossRef] [PubMed]
- Oseghe, E.O.; Akpotu, S.O.; Mombeshora, E.T.; Oladipo, A.O.; Ombaka, L.M.; Maria, B.B.; Idris, A.O.; Mamba, G.; Ndlwana, L.; Ayanda, O.S.; et al. Multi-dimensional applications of graphitic carbon nitride nanomaterials—A review. J. Mol. Liq. 2021, 344, 117820. [Google Scholar] [CrossRef]
- Huang, D.; Yan, X.; Yan, M.; Zeng, G.; Zhou, C.; Wan, J.; Cheng, M.; Xue, W. Graphitic Carbon Nitride-Based Heterojunction Photoactive Nanocomposites: Applications and Mechanism Insight. ACS Appl. Mater. Interfaces 2018, 10, 21035–21055. [Google Scholar] [CrossRef]
- Wang, W.L.; Zhao, J.M.; Sun, Y.Y.; Zhang, H. Facile synthesis of g-C3N4 with various morphologies for application in electrochemical detection. Rsc Adv. 2019, 9, 7737–7746. [Google Scholar] [CrossRef]
- Gao, W.Y.; Wang, X.F.; Li, P.; Wu, Q.T.; Qi, F.; Wu, S.M.; Yu, Y.; Ding, K.J. Highly sensitive and selective detection of cadmium with a graphite carbon nitride nanosheets/Nafion electrode. Rsc Adv. 2016, 6, 113570–113575. [Google Scholar] [CrossRef]
- Mahmoudian, M.R.; Basirun, W.J.; Alias, Y.; MengWoi, P. Investigating the effectiveness of g-C3N4 on Pt/g-C3N4/polythiophene nanocomposites performance as an electrochemical sensor for Hg2+ detection. J. Environ. Chem. Eng. 2020, 8, 104204. [Google Scholar] [CrossRef]
- Hatamie, A.; Jalilian, P.; Rezvani, E.; Kakavand, A.; Simchi, A. Fast and ultra-sensitive voltammetric detection of lead ions by two-dimensional graphitic carbon nitride (g-C3N4) nanolayers as glassy carbon electrode modifier. Measurement 2019, 134, 679–687. [Google Scholar] [CrossRef]
- Zou, J.; Mao, D.; Arramel; Li, N.; Jiang, J. Reliable and selective lead-ion sensor of sulfur-doped graphitic carbon nitride nanoflakes. Appl. Surf. Sci. 2020, 506, 144672. [Google Scholar] [CrossRef]
- Hu, J.Y.; Li, Z.; Zhai, C.Y.; Wang, J.F.; Zeng, L.X.; Zhu, M.S. Plasmonic photo-assisted electrochemical sensor for detection of trace lead ions based on Au anchored on two-dimensional g-C3N4/graphene nanosheets. Rare Met. 2021, 40, 1727–1737. [Google Scholar] [CrossRef]
- Chen, X.; Liu, Y.; Ke, X.X.; Weerasooriya, R.; Li, H.; Wang, L.C.; Wu, Y.C. A green method to synthesize AuNPs/mpg-C3N4 nanocomposites for constructing anti-interference electrochemical sensing interface toward methylmercury. J. Alloys Compd. 2021, 853, 157365. [Google Scholar] [CrossRef]
- Chen, X.; Sun, X.T.; Cui, M.S.; Liu, Y.; Cui, K.P.; Weerasooriya, R. Electrochemical determination of methylmercury via modulating bandgap of sulfur doped graphitic carbon nitride. J. Environ. Chem. Eng. 2021, 9, 105510. [Google Scholar] [CrossRef]
- Wang, J.; Yu, P.; Kan, K.; Lv, H.; Liu, Z.; Sun, B.; Bai, X.; Chen, J.; Zhang, Y.; Shi, K. Efficient ultra-trace electrochemical detection of Cd2+, Pb2+ and Hg2+ based on hierarchical porous S-doped C3N4 tube bundles/graphene nanosheets composite. Chem. Eng. J. 2021, 420, 130317. [Google Scholar] [CrossRef]
- Zhai, Y.; Shi, Y.; Feng, Y.; Chen, S.; Wang, S. An Electrochemical Sensor Based On 2D Graphitic-phase Carbon Nitride Nanosheets Doped With FeP-C Nanospheres for the Detection of Cu2+ in Meat. Food Anal. Methods 2024. [Google Scholar] [CrossRef]
- Chen, S.; Yu, J.; Chen, Z.; Huang, Z.; Song, Y. Simultaneous electrochemical sensing of heavy metal ions based on a g-C3N4/CNT/NH2-MIL-88(Fe) nanocomposite. Anal. Methods 2021, 13, 5830–5837. [Google Scholar] [CrossRef] [PubMed]
- Fu, R.; Yu, P.; Wang, M.; Sun, J.; Chen, D.; Jin, C.; Li, Z. The research of lead ion detection based on rGO/g-C3N4 modified glassy carbon electrode. Microchem. J. 2020, 157, 105076. [Google Scholar] [CrossRef]
- Xiao, X.Y.; Chen, S.H.; Li, S.S.; Wang, J.; Zhou, W.Y.; Huang, X.J. Synergistic catalysis of N vacancies and similar to 5 nm Au nanoparticles promoted the highly sensitive electrochemical determination of lead(ii) using an Au/N-deficient-C3N4 nanocomposite. Environ. Sci.-Nano 2019, 6, 1895–1908. [Google Scholar] [CrossRef]
- Yang, Z.H.; Wu, X.Y.; Liu, X.C.; Xu, M.M. One-step Bridging of g-C3N4 and Graphene Oxide by Successive Electrolysis for Constructing Electrochemical Sensor of Pb2+. Chin. J. Anal. Chem. 2021, 49, e21179–e21186. [Google Scholar] [CrossRef]
- Ning, J.; Wei, J.; Huang, S.; Wang, F.; Luo, X.; Sun, C.; Chen, D.; Wei, R.; Sha, L.; Liu, Y. A high performance Pb(ii) electrochemical sensor based on spherical CuS nanoparticle anchored g-C3N4. Anal. Methods 2021, 13, 5617–5627. [Google Scholar] [CrossRef]
- Akhtar, M.; Sohail, M.; Farooq Warsi, M.; Ibrahim, M.M.; Amin, M.A.; Shahid, M. Fe3O4 nanochips loaded MXenes/g-C3N4 nanocomposite for ultrasensitive electrochemical detection of zinc (II), cadmium (II), lead (II), copper (II) and mercury (II) metal ions. FlatChem 2023, 41, 100537. [Google Scholar] [CrossRef]
- Han, J.; Fu, R.; Jin, C.; Li, Z.; Wang, M.; Yu, P.; Xie, Y. Highly sensitive detection of trace Hg2+ via PdNPs/g-C3N4 nanosheet-modified electrodes using DPV. Microchem. J. 2020, 152, 104356. [Google Scholar] [CrossRef]
- Chen, J.; Zhao, J.; Feng, R.; Ma, H.; Wang, H.; Ren, X.; Wei, Q.; Ju, H. Competitive photoelectrochemical aptamer sensor based on a Z-scheme Fe2O3/g-C3N4 heterojunction for sensitive detection of lead ions. J. Hazard. Mater. 2023, 459, 132122. [Google Scholar] [CrossRef]
- Wang, Y.; Nie, Z.G.; Li, X.Y.; Zhao, Y.; Wang, H. Highly sensitive and selective electrochemical sensor based on porous graphitic carbon nitride/CoMn2O4 nanocomposite toward heavy metal ions. Sens. Actuators B-Chem. 2021, 346, 130539. [Google Scholar] [CrossRef]
- Wu, W.; Ali, A.; Jamal, R.; Abdulla, M.; Bakri, T.; Abdiryim, T. A bromine-catalysis-synthesized poly(3,4-ethylenedioxythiophene)/graphitic carbon nitride electrochemical sensor for heavy metal ion determination. Rsc Adv. 2019, 9, 34691–34698. [Google Scholar] [CrossRef]
- Ramalingam, M.; Ponnusamy, V.K.; Sangilimuthu, S.N. A nanocomposite consisting of porous graphitic carbon nitride nanosheets and oxidized multiwalled carbon nanotubes for simultaneous stripping voltammetric determination of cadmium(II), mercury(II), lead(II) and zinc(II). Microchim. Acta 2019, 186, 69. [Google Scholar] [CrossRef]
- Lv, X.; Pei, F.; Feng, S.; Wu, Y.; Chen, S.-M.; Han, Q.; Lei, W. Facile Synthesis of Protonated Carbon Nitride/Ti3C2Tx Nanocomposite for Simultaneous Detection of Pb2+ and Cd2+. J. Electrochem. Soc. 2020, 167, 067509. [Google Scholar] [CrossRef]
- Lv, H.; Teng, Z.; Wang, S.; Feng, K.; Wang, X.; Wang, C.; Wang, G. Voltammetric simultaneous ion flux measurements platform for Cu2+, Pb2+ and Hg2+ near rice root surface: Utilizing carbon nitride heterojunction film modified carbon fiber microelectrode. Sens. Actuators B Chem. 2018, 256, 98–106. [Google Scholar] [CrossRef]
- Eswaran, M.; Tsai, P.C.; Wu, M.T.; Ponnusamy, V.K. Novel nano-engineered environmental sensor based on polymelamine/graphitic-carbon nitride nanohybrid material for sensitive and simultaneous monitoring of toxic heavy metals. J. Hazard. Mater. 2021, 418, 126267. [Google Scholar] [CrossRef]
- Ding, S.; Ali, A.; Jamal, R.; Xiang, L.; Zhong, Z.P.; Abdiryim, T. An Electrochemical Sensor of Poly(EDOT-pyridine-EDOT)/Graphitic Carbon Nitride Composite for Simultaneous Detection of Cd2+ and Pb2+. Materials 2018, 11, 16. [Google Scholar] [CrossRef] [PubMed]
- Singh, G.; Maria Ruban, A.; Kaur, H.; Patel, V.; Ismaili, A.A.; Bahadur, R.; Vinu, A. High Surface Area Nanoporous Carbon-Ceria Composites for CO2 Capture and Enzyme-Mimicking Action. Chem. Asian J. 2024, 19, e202400994. [Google Scholar] [CrossRef] [PubMed]
- Kasare, P.K.; Wang, S.-F. Hydrothermally Synthesized Cerium Phosphate with Functionalized Carbon Nanofiber Nanocomposite for Enhanced Electrochemical Detection of Hypoxanthine. Chemosensors 2024, 12, 84. [Google Scholar] [CrossRef]
- Ge, M.; Jia, Z.; Jiang, Q.; Ying, G.; Yang, Y.; Wu, S.; Goto, T.; Zhang, J. Highly-permeable and antifouling thin-film nanocomposite reverse osmosis membrane: Beneficial effects of 1D/2D g-C3N4 nanohybrids. J. Environ. Chem. Eng. 2022, 10, 108902. [Google Scholar] [CrossRef]
- Shin, H.; Jung, W.G.; Kim, D.H.; Jang, J.S.; Kim, Y.H.; Koo, W.T.; Bae, J.; Park, C.; Cho, S.H.; Kim, B.J.; et al. Single-Atom Pt Stabilized on One-Dimensional Nanostructure Support via Carbon Nitride/SnO2 Heterojunction Trapping. ACS Nano 2020, 14, 11394–11405. [Google Scholar] [CrossRef]
- Chen, P.; Huang, T.; Wei, T.; Ding, B.; Dou, H.; Zhang, X. Enhanced Transformation Kinetics of Polysulfides Enabled by Synergistic Catalysis of Functional Graphitic Carbon Nitride for High-Performance Li-S Batteries. Adv. Funct. Mater. 2024. [Google Scholar] [CrossRef]
- Wang, Y.; Yang, X.; Tian, T.; Liu, Y.; Chen, Y.; Xu, G.; Gu, L.; Li, H.; Yuan, Y. Chitosan-assisted synthesis of 1D g-C3N4 nanorods for enhanced photocatalysis. Chem. Commun. 2023, 59, 10528–10531. [Google Scholar] [CrossRef]
- Lv, J.; Feng, S.; Ding, Y.; Chen, C.; Zhang, Y.; Lei, W.; Hao, Q.; Chen, S.M. A high-performance fluorescent probe for dopamine detection based on g-C3N4 nanofibers. Spectrochim Acta A Mol Biomol Spectrosc 2019, 212, 300–307. [Google Scholar] [CrossRef] [PubMed]
- Tian, J.; Liu, Q.; Asiri, A.M.; Sun, X.; He, Y. Ultrathin graphitic C3N4 nanofibers: Hydrolysis-driven top-down rapid synthesis and application as a novel fluorosensor for rapid, sensitive, and selective detection of Fe3+. Sens. Actuators B Chem. 2015, 216, 453–460. [Google Scholar] [CrossRef]
- Zheng, Y.; Lin, L.; Ye, X.; Guo, F.; Wang, X. Helical graphitic carbon nitrides with photocatalytic and optical activities. Angew. Chem. Int. Ed. Engl. 2014, 53, 11926–11930. [Google Scholar] [CrossRef]
- Das, D.; Banerjee, D.; Das, N.S.; Das, B.; Ghorai, U.K.; Chattopadhyay, K.K. Low temperature synthesis of graphitic carbon nitride nanorods for heavy metal ions sensing. Solid State Sci. 2018, 82, 99–105. [Google Scholar] [CrossRef]
- Eid, K.; Lu, Q.; Abdel-Azeim, S.; Soliman, A.; Abdullah, A.M.; Abdelgwad, A.M.; Forbes, R.P.; Ozoemena, K.I.; Varma, R.S.; Shibl, M.F. Highly exfoliated Ti3C2Tx MXene nanosheets atomically doped with Cu for efficient electrochemical CO2 reduction: An experimental and theoretical study. J. Mater. Chem. A 2022, 10, 1965–1975. [Google Scholar] [CrossRef]
- Maślana, K.; Kaleńczuk, R.J.; Zielińska, B.; Mijowska, E. Synthesis and Characterization of Nitrogen-doped Carbon Nanotubes Derived from g-C3N4. Materials 2020, 13, 1349. [Google Scholar] [CrossRef] [PubMed]
- Fang, W.; Huang, L.; Zaman, S.; Wang, Z.; Han, Y.; Xia, B.Y. Recent Progress on Two-dimensional Electrocatalysis. Chem. Res. Chin. Univ. 2020, 36, 611–621. [Google Scholar] [CrossRef]
- Wang, Y.; Liu, L.; Ma, T.; Zhang, Y.; Huang, H. 2D Graphitic Carbon Nitride for Energy Conversion and Storage. Adv. Funct. Mater. 2021, 31, 2102540. [Google Scholar] [CrossRef]
- Jing, W.; Zhou, Y.; Wang, J.; Zhu, Y.; Lv, Y.; Bi, W.; Chen, D.D.Y. Sorbent and solvent co-enhanced direct analysis in real time-mass spectrometry for high-throughput determination of trace pollutants in water. Talanta 2020, 208, 120378. [Google Scholar] [CrossRef]
- Tan, C.; Cao, X.; Wu, X.-J.; He, Q.; Yang, J.; Zhang, X.; Chen, J.; Zhao, W.; Han, S.; Nam, G.-H.; et al. Recent Advances in Ultrathin Two-Dimensional Nanomaterials. Chem. Rev. 2017, 117, 6225–6331. [Google Scholar] [CrossRef] [PubMed]
- Yang, S.B.; Gong, Y.J.; Zhang, J.S.; Zhan, L.; Ma, L.L.; Fang, Z.Y.; Vajtai, R.; Wang, X.C.; Ajayan, P.M. Exfoliated Graphitic Carbon Nitride Nanosheets as Efficient Catalysts for Hydrogen Evolution Under Visible Light. Adv. Mater. 2013, 25, 2452–2456. [Google Scholar] [CrossRef]
- Choi, H.; Surendran, S.; Sim, Y.; Je, M.; Janani, G.; Choi, H.; Kim, J.K.; Sim, U. Enhanced electrocatalytic full water-splitting reaction by interfacial electric field in 2D/2D heterojunction. Chem. Eng. J. 2022, 450, 137789. [Google Scholar] [CrossRef]
- Zhang, J.L.; Zhu, Z.W.; Di, J.W.; Long, Y.M.; Li, W.F.; Tu, Y.F. A Sensitive Sensor for trace Hg2+ Determination Based on Ultrathin g-C3N4 Modified Glassy Carbon Electrode. Electrochim. Acta 2015, 186, 192–200. [Google Scholar] [CrossRef]
- Sadhukhan, M.; Barman, S. Bottom-up fabrication of two-dimensional carbon nitride and highly sensitive electrochemical sensors for mercuric ions. J. Mater. Chem. A 2013, 1, 2752–2756. [Google Scholar] [CrossRef]
- She, X.; Xu, H.; Xu, Y.; Yan, J.; Xia, J.; Xu, L.; Song, Y.; Jiang, Y.; Zhang, Q.; Li, H. Exfoliated graphene-like carbon nitride in organic solvents: Enhanced photocatalytic activity and highly selective and sensitive sensor for the detection of trace amounts of Cu2+. J. Mater. Chem. A 2014, 2, 2563–2570. [Google Scholar] [CrossRef]
- Vinu, A.; Ariga, K.; Mori, T.; Nakanishi, T.; Hishita, S.; Golberg, D.; Bando, Y. Preparation and characterization of well-ordered hexagonal mesoporous carbon nitride. Adv. Mater. 2005, 17, 1648–1652. [Google Scholar] [CrossRef]
- Nazari, M.; Rahmanifar, M.S.; Noori, A.; Li, W.; Zhang, C.; Mousavi, M.F. The ordered mesoporous carbon nitride-graphene aerogel nanocomposite for high-performance supercapacitors. J. Power Sources 2021, 494, 229741. [Google Scholar] [CrossRef]
- Lakhi, K.S.; Cha, W.S.; Joseph, S.; Wood, B.J.; Aldeyab, S.S.; Lawrence, G.; Choy, J.-H.; Vinu, A. Cage type mesoporous carbon nitride with large mesopores for CO2 capture. Catal. Today 2015, 243, 209–217. [Google Scholar] [CrossRef]
- Mane, G.P.; Dhawale, D.S.; Anand, C.; Ariga, K.; Ji, Q.; Wahab, M.A.; Mori, T.; Vinu, A. Selective sensing performance of mesoporous carbon nitride with a highly ordered porous structure prepared from 3-amino-1,2,4-triazine. J. Mater. Chem. A 2013, 1, 2913–2920. [Google Scholar] [CrossRef]
- Hartmann, M.; Vinu, A. Mechanical Stability and Porosity Analysis of Large-Pore SBA-15 Mesoporous Molecular Sieves by Mercury Porosimetry and Organics Adsorption. Langmuir 2002, 18, 8010–8016. [Google Scholar] [CrossRef]
- Li, H.; Wang, L.; Liu, Y.; Lei, J.; Zhang, J. Mesoporous graphitic carbon nitride materials: Synthesis and modifications. Res. Chem. Intermed. 2016, 42, 3979–3998. [Google Scholar] [CrossRef]
- Wang, Z.W.; Liu, H.J.; Li, C.Y.; Chen, X.; Weerasooriya, R.; Wei, J.; Lv, J.; Lv, P.; Wu, Y.C. Mesoporous g-C3N4/beta-CD nanocomposites modified glassy carbon electrode for electrochemical determination of 2,4,6-trinitrotoluene. Talanta 2020, 208, 120410. [Google Scholar] [CrossRef]
- Zhao, S.; Zhang, Y.; Zhou, Y.; Wang, Y.; Qiu, K.; Zhang, C.; Fang, J.; Sheng, X. Facile one-step synthesis of hollow mesoporous g-C3N4 spheres with ultrathin nanosheets for photoredox water splitting. Carbon 2018, 126, 247–256. [Google Scholar] [CrossRef]
- Tang, L.; Wang, Y.; Yu, W.; Dong, Y.; Hasebe, Y. Silver nanoparticles doped three-dimensional hydrogel for electrochemical simultaneous sensing of heavy metal ions. Microchem. J. 2025, 208, 112304. [Google Scholar] [CrossRef]
- Jiang, W.; Dionysiou, D.D.; Kong, M.; Liu, Z.; Sui, Q.; Lyu, S. Utilization of formic acid in nanoscale zero valent iron-catalyzed Fenton system for carbon tetrachloride degradation. Chem. Eng. J. 2020, 380, 122537. [Google Scholar] [CrossRef]
- Tang, C.; Ling, L.; Zhang, W.-x. Pb(II) deposition-reduction-growth onto iron nanoparticles induced by graphitic carbon nitride. Chem. Eng. J. 2020, 387, 124088. [Google Scholar] [CrossRef]
- Sha, H.; Zhang, Y.; Wang, Y.; Ke, H.; Xiong, X.; Jia, N. Electrochemiluminescence resonance energy transfer biosensor between the glucose functionalized MnO2 and g-C3N4 nanocomposites for ultrasensitive detection of concanavalin A. Biosens. Bioelectron. 2019, 124–125, 59–65. [Google Scholar] [CrossRef] [PubMed]
- Yin, J.H.; Chen, X.H.; Chen, Z.D. Quenched electrochemiluminescence sensor of ZnO@g-C3N4 modified glassy carbon electrode for fipronil determination. Microchem. J. 2019, 145, 295–300. [Google Scholar] [CrossRef]
- Zou, J.; Wu, S.; Liu, Y.; Sun, Y.; Cao, Y.; Hsu, J.P.; Shen Wee, A.T.; Jiang, J. An ultra-sensitive electrochemical sensor based on 2D g-C3N4/CuO nanocomposites for dopamine detection. Carbon 2018, 130, 652–663. [Google Scholar] [CrossRef]
- Ponnaiah, S.K.; Prakash, P.; Vellaichamy, B.; Paulmony, T.; Selvanathan, R. Picomolar-level electrochemical detection of thiocyanate in the saliva samples of smokers and non-smokers of tobacco using carbon dots doped Fe3O4 nanocomposite embedded on g-C3N4 nanosheets. Electrochim. Acta 2018, 283, 914–921. [Google Scholar] [CrossRef]
- Zarei, M. Sensitive visible light-driven photoelectrochemical aptasensor for detection of tetracycline using ZrO2/g-C3N4 nanocomposite. Sens. Int. 2020, 1, 100029. [Google Scholar] [CrossRef]
- Song, J.; Huang, M.; Jiang, N.; Zheng, S.; Mu, T.; Meng, L.; Liu, Y.; Liu, J.; Chen, G. Ultrasensitive detection of amoxicillin by TiO2-g-C3N4@AuNPs impedimetric aptasensor: Fabrication, optimization, and mechanism. J. Hazard. Mater. 2020, 391, 122024. [Google Scholar] [CrossRef]
- Alaghmandfard, A.; Ghandi, K. A Comprehensive Review of Graphitic Carbon Nitride (g-C3N4)–Metal Oxide-Based Nanocomposites: Potential for Photocatalysis and Sensing. Nanomaterials 2022, 12, 294. [Google Scholar] [CrossRef]
- Wang, Z.H.; Chen, L.; Du, X.R.; Zou, G.J.; Wang, X.L. A “pillared” process to construct graphitic carbon nitride based functionalized mesoporous materials. RSC Adv. 2016, 6, 15605–15609. [Google Scholar] [CrossRef]
- Atacan, K.; Özacar, M. Construction of a non-enzymatic electrochemical sensor based on CuO/g-C3N4 composite for selective detection of hydrogen peroxide. Mater. Chem. Phys. 2021, 266, 124527. [Google Scholar] [CrossRef]
- Alshaikh, H.; Shawky, A.; Roselin, L.S. Templated synthesis of CuCo2O4-modified g-C3N4 heterojunctions for enhanced photoreduction of Hg2+ under visible light. J. Taiwan Inst. Chem. Eng. 2021, 132, 104114. [Google Scholar] [CrossRef]
- Li, H.N.; He, R.J.; Liu, N.; Feng, L.Y.; Chen, S.W.; Wang, H.; Lv, C.; Chen, X.Y.; Liu, G.; Zhao, G. ZnO/g-C3N4 photocatalyst activated by low-pressure ultraviolet for restoring the SWASV signals: A fast pretreatment method for electrochemically detecting Cd2+ and Pb2+ in soil extracts. Environ. Pollut. 2024, 354, 124183. [Google Scholar] [CrossRef] [PubMed]
- dos Santos, W.T.P.; Amin, H.M.A.; Compton, R.G. A nano-carbon electrode optimized for adsorptive stripping voltammetry: Application to detection of the stimulant selegiline in authentic saliva. Sens. Actuators B Chem. 2019, 279, 433–439. [Google Scholar] [CrossRef]
- Dong, H.; Lu, M.; Wang, Y.; Tang, H.L.; Wu, D.; Sun, X.; Zhang, F.M. Covalently anchoring covalent organic framework on carbon nanotubes for highly efficient electrocatalytic CO2 reduction. Appl. Catal. B Environ. 2022, 303, 120897. [Google Scholar] [CrossRef]
- Liu, Y.M.; Zhang, X.; Wang, J.P.; Yang, P. Preparation of luminescent graphitic C3N4 NS and their composites with RGO for property controlling. Rsc Adv. 2016, 6, 112581–112588. [Google Scholar] [CrossRef]
- Chen, W.; Kong, S.; Wang, J.; Du, L.P.; Cai, W.; Wu, C.S. Enhanced fluorescent effect of graphitic C3N4@ZIF-8 nanocomposite contribute to its improved sensing capabilities. RSC Adv. 2019, 9, 3734–3739. [Google Scholar] [CrossRef]
- Perepichka, I.F.; Besbes, M.; Levillain, E.; Sallé, M.; Roncali, J. Hydrophilic Oligo(oxyethylene)-Derivatized Poly(3,4-ethylenedioxythiophenes): Cation-Responsive Optoelectroelectrochemical Properties and Solid-State Chromism. Chem. Mater. 2002, 14, 449–457. [Google Scholar] [CrossRef]
- Zhou, Q.Q.; Shi, G.Q. Conducting Polymer-Based Catalysts. J. Am. Chem. Soc. 2016, 138, 2868–2876. [Google Scholar] [CrossRef]
- Sassi, M.; Mascheroni, L.; Ruffo, R.; Salamone, M.M.; Pagani, G.A.; Mari, C.M.; D’Orazio, G.; La Ferla, B.; Beverina, L. Exomethylene-3,4-ethylenedioxythiophene (emEDOT): A New Versatile Building Block for Functionalized Electropolymerized Poly(3,4-ethylenedioxythiophenes) (PEDOTs). Org. Lett. 2013, 15, 3502–3505. [Google Scholar] [CrossRef] [PubMed]
- John, A.; Benny, L.; Cherian, A.R.; Narahari, S.Y.; Varghese, A.; Hegde, G. Electrochemical sensors using conducting polymer/noble metal nanoparticle nanocomposites for the detection of various analytes: A review. J. Nanostructure Chem. 2021, 11, 1–31. [Google Scholar] [CrossRef]
- Tajik, S.; Beitollahi, H.; Nejad, F.G.; Dourandish, Z.; Khalilzadeh, M.A.; Jang, H.W.; Venditti, R.A.; Varma, R.S.; Shokouhimehr, M. Recent Developments in Polymer Nanocomposite-Based Electrochemical Sensors for Detecting Environmental Pollutants. Ind. Eng. Chem. Res. 2021, 60, 1112–1136. [Google Scholar] [CrossRef] [PubMed]
- Teng, Z.Y.; Lv, H.Y.; Wang, L.N.; Liu, L.; Wang, C.Y.; Wang, G.X. Voltammetric Sensor Modified by EDTA-immobilized Graphene-like Carbon Nitride Nanosheets: Preparation, Characterization and Selective Determination of Ultra-Trace Pb (II) in Water Samples. Electrochim. Acta 2016, 212, 722–733. [Google Scholar] [CrossRef]
- Huang, Q.-S.; Li, Q.; Chu, C.; Liu, Q.; Li, Z.; Mao, S. Synergetic regulation of electronic structure of graphitic carbon nitride through phosphorus and carbon co-doping for enhanced photocatalytic CO2 reduction. Chem. Eng. J. 2024, 482, 149155. [Google Scholar] [CrossRef]
- Zhang, W.; Chen, M.; Luo, Y.; He, Y.; Liu, S.; Ye, Y.; Wang, M.; Chen, Y.; Zhu, K.; Shu, H.; et al. Utilizing 2D layered structure Cu-g-C3N4 electrocatalyst for optimizing polysulfide conversion in wide-temperature Li-S batteries. Chem. Eng. J. 2024, 486, 150411. [Google Scholar] [CrossRef]
- Du, L.; Gao, B.; Xu, S.; Xu, Q. Strong ferromagnetism of g-C3N4 achieved by atomic manipulation. Nat. Commun. 2023, 14, 2278. [Google Scholar] [CrossRef]











| Electrodes | HMIs | Methods | Range of Linearity (μM) | Sensitivity (μA·μM−1) | LOD (μM) | Ref. |
|---|---|---|---|---|---|---|
| g-C3N4/GC | Pb(II) | SWASV | 0.5~3.5 | 10.887 | 0.228 | [87] |
| Cu(II) | 0.5~4.5 | 4.794 | 0.103 | |||
| Hg(II) | 0.5~4.5 | 18.180 | 0.217 | |||
| g-C3N4/Nafion/GC | Cd(II) | DPASV | 0.001~100 | / | 0.5 × 10−3 | [88] |
| g-C3N4 nanosheet/GC | Cd(II) | SWASV | 0.05~0.7 | 22.668 | 3.94 × 10−3 | [24] |
| Ultrathin g-C3N4/GC | Cd(II) | SWASV | 0.001~0.1 | 43.9 | 0.35 × 10−3 | [72] |
| g-C3N4/Pt/PAn NCs/GC | Hg(II) | DPASV | 0.5~1 | 1.0787 | 9 × 10−3 | [89] |
| g-C3N4 nanosheet/GC | Pb(II) | DPASV | 0.0075~1.0 | 33.08 | 1 × 10−3 | [90] |
| S-g-C3N4/GC | Pb(II) | DPV | 0.075~2.5 | 0.220 | 3 × 10−3 | [91] |
| Au/g-C3N4/rGO/GC | Pb(II) | DPASV | 0~0.1 | 0.618 | 0.1 × 10−3 | [92] |
| AuNPs/mpg-C3N4/GC | Cr(VI) | LSV | 0~19.3 | 0.110 | 0.283 | [7] |
| AuNPs/mpg-C3N4/GC | MeHg(I) | DPASV | 0~0.116 | 61.4 | 0.47 × 10−3 | [93] |
| S-g-C3N4/Au electrode | MeHg(I) | DPASV | 0~0.116 | 110.0 | 0.81 × 10−3 | [94] |
| S-g-C3N4 tube bundles/graphene nanosheets | Pb(II) | SWASV | 0.025~8.5 | 21.684 | 0.78 × 10−3 | [95] |
| Hg(II) | 0.05~7.5 | 15.71 | 1.15 × 10−3 | |||
| Cd(II) | 0.05~5 | 10.132 | 2.30 × 10−3 | |||
| g-C3N4@FeP-C/GC | Cu(II) | DPASV | 0.05~20 | 0.125 | 0.0167 | [96] |
| g-C3N4/CNT/NH2-MIL-88(Fe)/GC | Cd(II) | SWSV | 0.12~6.0 | 3.66 | 39.6 × 10−3 | [97] |
| Pb(II) | 0.02~6.0 | 19.15 | 7.6 × 10−3 | |||
| Cu(II) | 0.04~6.0 | 12.15 | 11.9 × 10−3 | |||
| Hg(II) | 0.03~6.0 | 15.10 | 9.6 × 10−3 | |||
| rGO/g-C3N4/GC | Pb(II) | SWASV | 0.00001~1 | 195.22 | 1.07 × 10−6 | [98] |
| Au/N-deficient-g-C3N4/GC | Pb(II) | SWASV | 0.2~0.8 | 184.4 | 29 × 10−3 | [99] |
| g-C3N4/rGO/GC | Pb(II) | SWASV | 0.05~1.45 | 13.6 | 0.72 × 10−3 | [100] |
| CuS/g-C3N4/GC | Pb(II) | SWASV | 0.05~5.000 | 10.811 | 4 × 10−3 | [101] |
| Bi/g-C3N4/SPE | Pb(II) | SWASV | 0.267~1.067 | 4.98 | 0.156 | [23] |
| Cd(II) | 0.145~0.531 | 1.787 | 0.039 | |||
| Ti3C2(HF)/Fe3O4/g-C3N4/GC | Pb(II) | DPASV | 0.005~0.5 | 57.23 | 0.12 | [102] |
| Cd(II) | 44.14 | |||||
| Hg(II) | 48.24 | |||||
| Pd/g-C3N4/GC | Hg(II) | DPV | 0.05 × 10−3~0.025 | 42.281 | 0.45 × 10−3 | [103] |
| Fe2O3/g-C3N4/GC | Pb(II) | PEC | 3.0 × 10−4~4.8 | 40.6 | 3.8 × 10−5 | [104] |
| g-C3N4/CNT/NH2-MIL-88(Fe)/GC | Pb(II) | SWSV | 0.02~6.00 | 19.15 | 7.6 × 10−3 | [97] |
| Cu(II) | 0.04~6.00 | 12.15 | 11.9 × 10−3 | |||
| Hg(II) | 0.03~6.00 | 15.10 | 9.6 × 10−3 | |||
| Cd(II) | 0.12~6.00 | 3.66 | 39.6 × 10−3 | |||
| pg-C3N4/CoMn2O4/GC | Pb(II) | SWASV | 0.2~4.4 | 1.660 | 1.4 × 10−3 | [105] |
| Cd(II) | 0.5~7.0 | 5.178 | 2.1 × 10−3 | |||
| Pt/g-C3N4/Polythiophene/GC | Hg(II) | DPV | 0.01~5 | 76.15 | 9 × 10−6 | [89] |
| PEDOT/g-C3N4/GC | Pb(II) | DPV | 0.04~11.6 | 8.8135 | 4.21 × 10−3 | [106] |
| Cd(II) | DPV | 0.06~12 | 3.0645 | 1.4 × 10−3 | ||
| Porous-g-C3N4/O-MWCNTs/SPE | Pb(II) | DPV | 0.17 × 10−3~0.53 | / | 0.038 × 10−3 | [107] |
| Cd(II) | 0.038~2.233 | / | 0.266 × 10−3 | |||
| Zn(II) | 0.064~3.089 | / | 0.917 × 10−3 | |||
| Hg(II) | 0.024~0.459 | / | 0.199 × 10−3 | |||
| g-C3N4/CB composite electrode | Cd(II) | DPASV | 0~0.7 | 11.0 | 2.1 × 10−3 | [81] |
| Pb(II) | 0~0.3 | 9.0 | 0.26 × 10−3 | |||
| Hg(II) | 0~0.5 | 4.0 | 0.22 × 10−3 | |||
| g-C3N4/Ti3C2Tx/GC | Cd(II) | SWASV | 0.05~1.5 | 40.97 | 1 × 10−3 | [108] |
| Pb(II) | 0.05~1.5 | 49.91 | 0.6 × 10−3 | |||
| P-CN_T60/MWCNT/CFE | Cu(II) | DPSV | 6.6 × 10−6~8.5 | 0.094 | 1.0 × 10−7 | [109] |
| Pb(II) | 0.81 × 10−3~8.5 | 0.030 | 1.8 × 10−5 | |||
| Hg(II) | 0.22 × 10−6~8.5 | 0.021 | 8.0 × 10−6 | |||
| poly(melamine)/g-C3N4/SPE | Pb(II) | DPV | 0.1~1 | / | 8 × 10−3 | [110] |
| Cd(II) | 0.1~1 | / | 20 × 10−3 | |||
| poly(BPE)/g-C3N4/GC | Cd(II) | DPV | 0.12~7.2 | 7.636 | 9.7 × 10−3 | [111] |
| Pb(II) | 0.08~7.2 | 11.140 | 3.27 × 10−3 |
Disclaimer/Publisher’s Note: The statements, opinions and data contained in all publications are solely those of the individual author(s) and contributor(s) and not of MDPI and/or the editor(s). MDPI and/or the editor(s) disclaim responsibility for any injury to people or property resulting from any ideas, methods, instructions or products referred to in the content. |
© 2025 by the authors. Licensee MDPI, Basel, Switzerland. This article is an open access article distributed under the terms and conditions of the Creative Commons Attribution (CC BY) license (https://creativecommons.org/licenses/by/4.0/).
Share and Cite
Yin, C.; Liu, Y.; Hu, T.; Chen, X. Graphitic Carbon Nitride Nanomaterials-Based Electrochemical Sensing Interfaces for Monitoring Heavy Metal Ions in Aqueous Environments. Nanomaterials 2025, 15, 564. https://doi.org/10.3390/nano15070564
Yin C, Liu Y, Hu T, Chen X. Graphitic Carbon Nitride Nanomaterials-Based Electrochemical Sensing Interfaces for Monitoring Heavy Metal Ions in Aqueous Environments. Nanomaterials. 2025; 15(7):564. https://doi.org/10.3390/nano15070564
Chicago/Turabian StyleYin, Cheng, Yao Liu, Tingting Hu, and Xing Chen. 2025. "Graphitic Carbon Nitride Nanomaterials-Based Electrochemical Sensing Interfaces for Monitoring Heavy Metal Ions in Aqueous Environments" Nanomaterials 15, no. 7: 564. https://doi.org/10.3390/nano15070564
APA StyleYin, C., Liu, Y., Hu, T., & Chen, X. (2025). Graphitic Carbon Nitride Nanomaterials-Based Electrochemical Sensing Interfaces for Monitoring Heavy Metal Ions in Aqueous Environments. Nanomaterials, 15(7), 564. https://doi.org/10.3390/nano15070564

