Temperature Dependence of Conduction and Magnetoresistance Properties in Co-TiO2 Non-Uniform Nanocomposite Films
Abstract
1. Introduction
2. Materials and Methods
3. Composition and Morphology
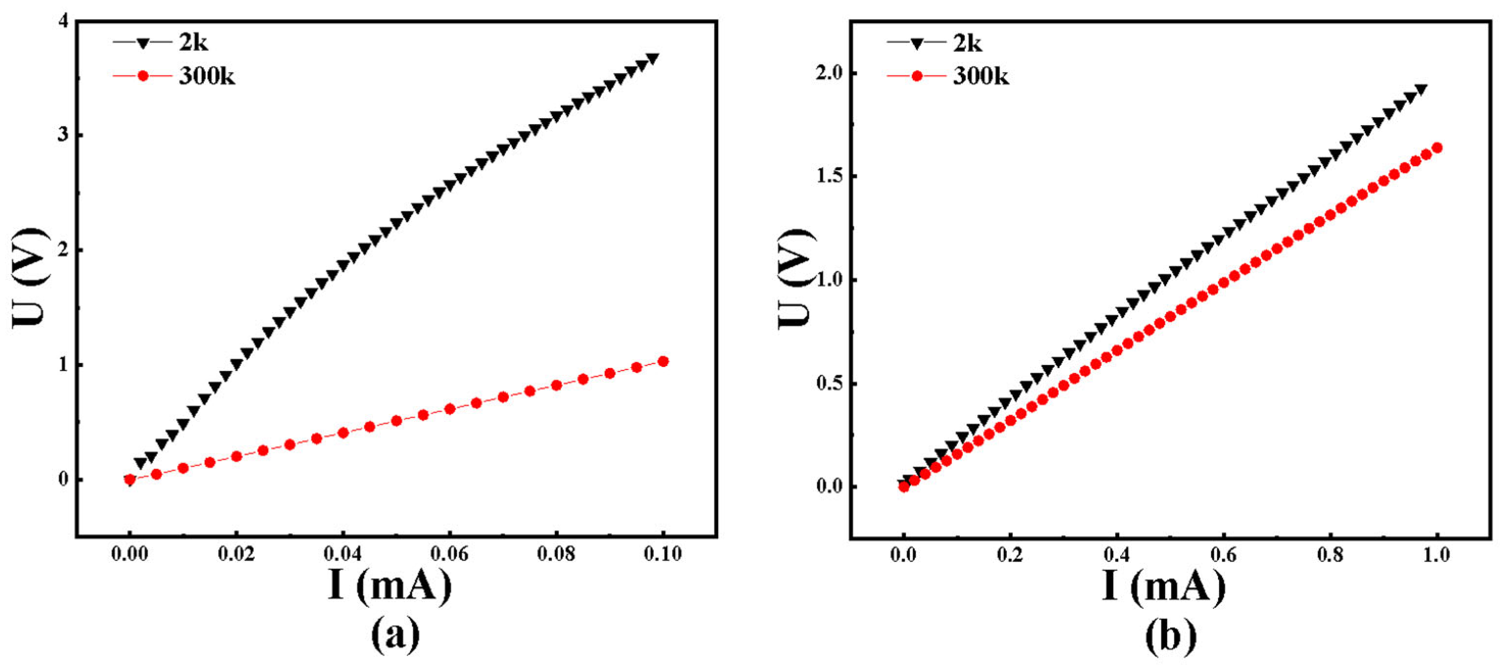
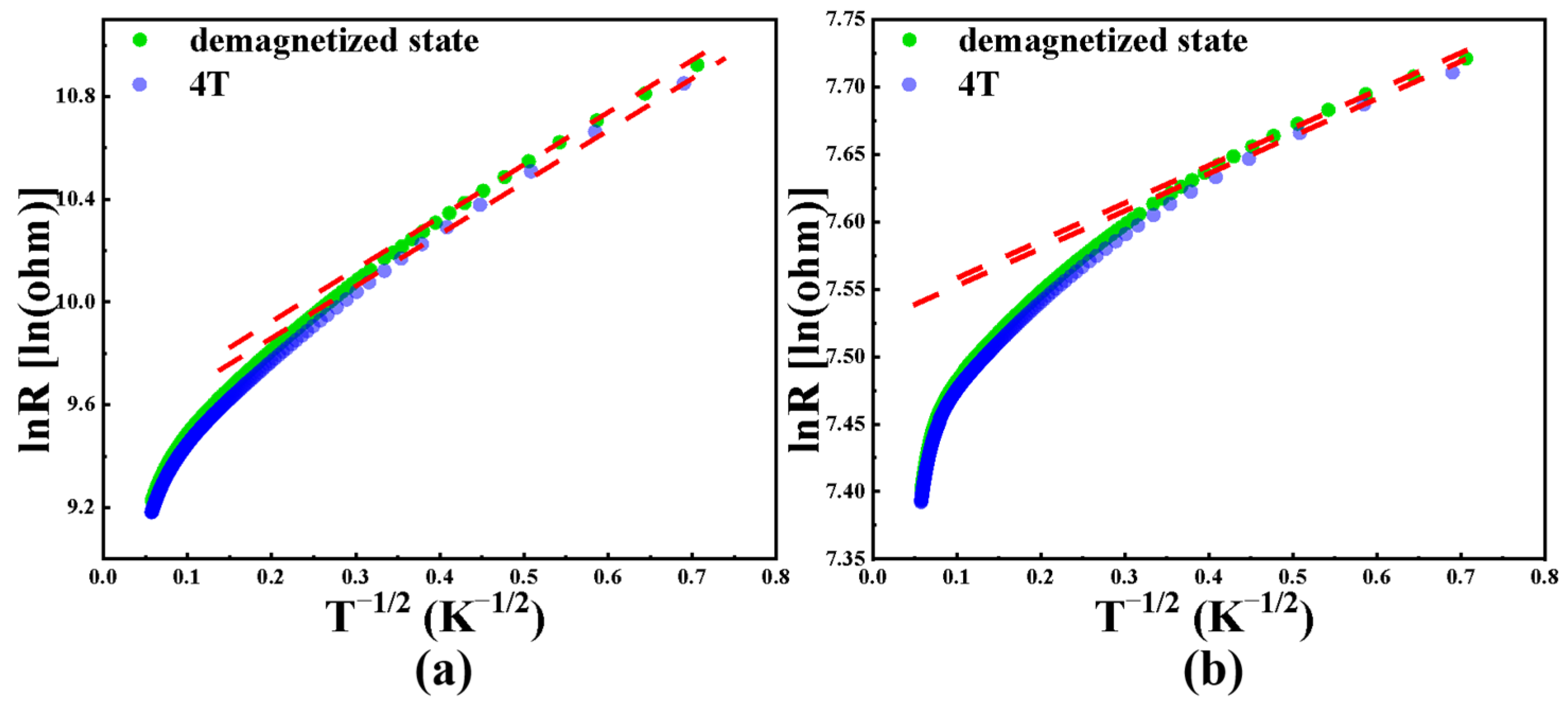
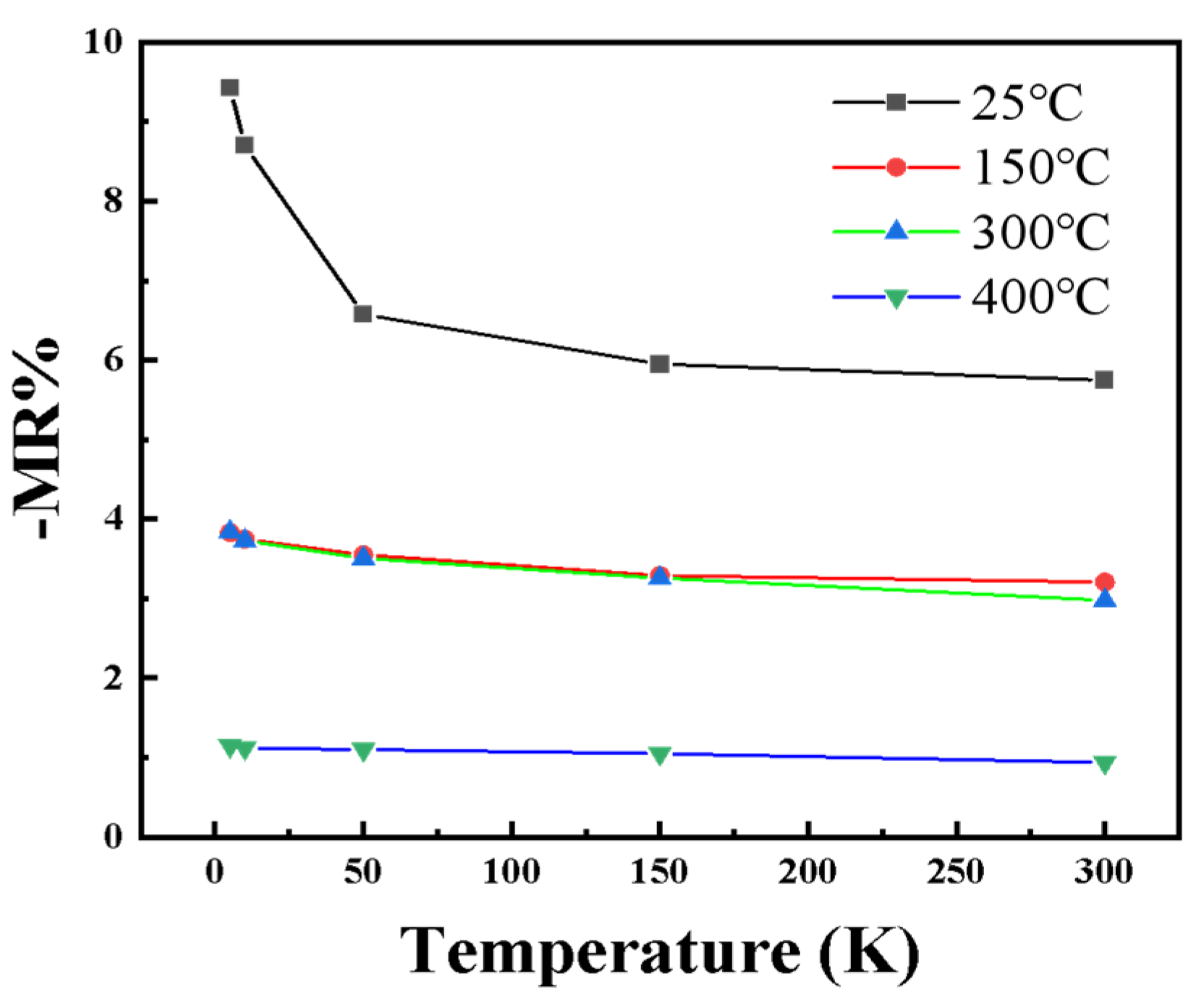
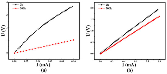
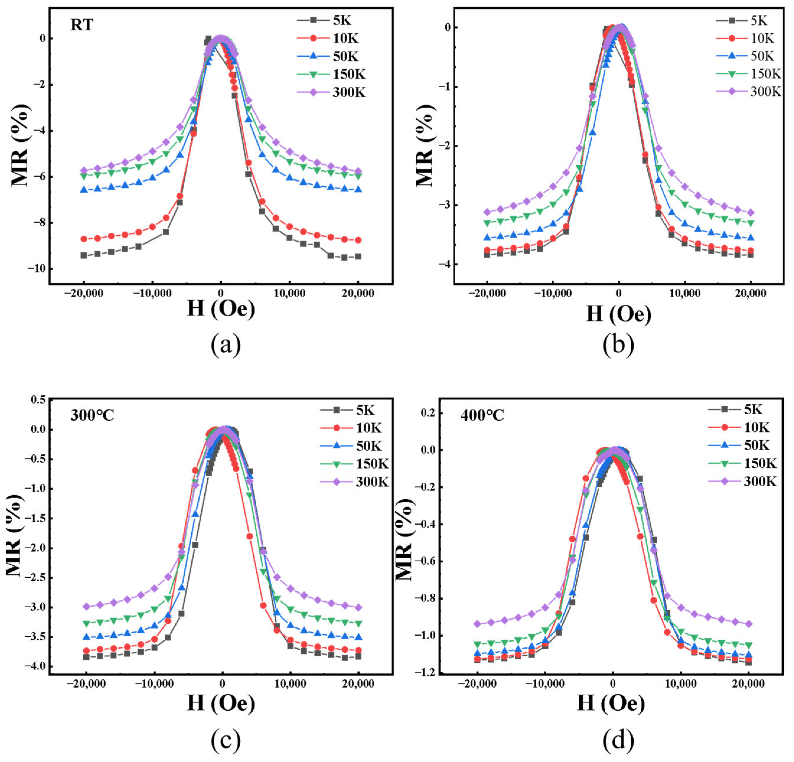
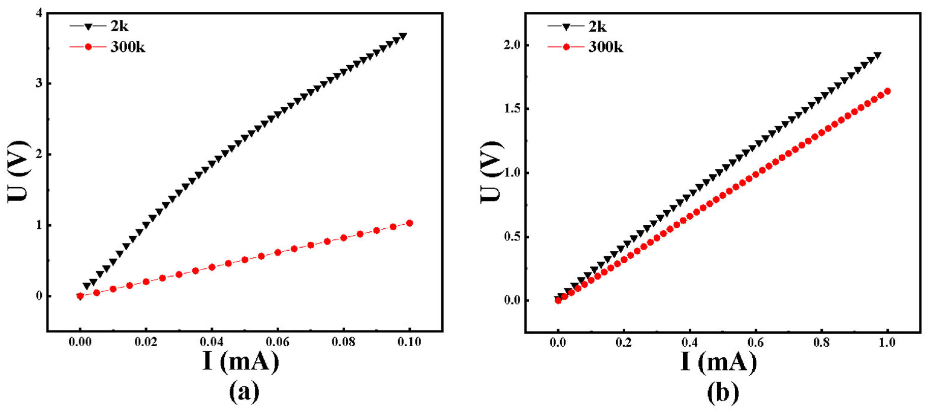
4. Results
5. Conclusions
Author Contributions
Funding
Data Availability Statement
Conflicts of Interest
References
- Diez, L.H.; Kruk, R.; Leistner, K.; Sort, J. Magnetoelectric materials, phenomena, and devices. APL Mater. 2021, 9, 050401. [Google Scholar] [CrossRef]
- Miao, G.-X.; Münzenberg, M.; Moodera, J.S. Tunneling path toward spintronics. Rep. Prog. Phys. 2011, 74, 036501. [Google Scholar] [CrossRef]
- Qin, Z.; Li, X.; Xia, D.-H.; Zhang, Y.; Feng, C.; Wu, Z.; Hu, W. Effect of compressive stress on cavitation erosion-corrosion behavior of nickel-aluminum bronze alloy. Ultrason. Sonochem. 2022, 89, 106143. [Google Scholar] [CrossRef]
- Srinivasan, G. Magnetoelectric Composites. Annu. Rev. Mater. Res. 2010, 40, 153–178. [Google Scholar] [CrossRef]
- Chen, H.Y.; Zhang, Y.W.; Wu, Z.; Qin, Z.B.; Wu, S.S.; Hu, W.B. Substrate temperature dependence of chemical state and magnetoresistance characteristics of Co–TiO2 nanocomposite films. Trans. Nonferrous Met. Soc. China 2020, 30, 2502–2509. [Google Scholar] [CrossRef]
- Uchiyama, T.; Cao, Y.; Kijima-Aoki, H.; Ikeda, K.; Kobayashi, N.; Ohnuma, S.; Masumoto, H. Effect of Ar–N2 Sputtering Gas on Structure and Tunneling Magnetodielectric Effect in Co–(Si–N) Nanogranular Films. IEEE Trans. Magn. 2023, 59, 2800705. [Google Scholar] [CrossRef]
- Kimura, M.; Cao, Y.; Kijima-Aoki, H.; Kobayashi, N.; Ohnuma, S.; Masumoto, H. Enhancement of low-field magneto-dielectric response in Co-Al2O3 nanogranular films via controlling their nanostructure. J. Ceram. Soc. Jpn. 2023, 131, 363–367. [Google Scholar] [CrossRef]
- Kimura, M.; Cao, Y.; Kijima-Aoki, H.; Kobayashi, N.; Ohnuma, S.; Masumoto, H. Tunneling Magnetodielectric Effect Co-Al2O3 Granular Films. Mater. Trans. 2022, 63, 1677–1681. [Google Scholar] [CrossRef]
- Cao, Y.; Kobayashi, N.; Kijima-Aoki, H.; Zhang, J.; Masumoto, H. Multifunctional Spin-Dependent Tunneling: From Tunnel Magnetodielectric to Magneto-Optic and Faraday Effects. Acc. Mater. Res. 2025, 6, 979–990. [Google Scholar] [CrossRef]
- Zhang, W.; Zhang, Y.; Wu, Z.; Qin, Z.; Ji, H.; Liu, X.; Li, B.; Hu, W. Substrate temperature dependence of microstructure and magnetoresistance field sensitivity of Co–ZnO non-uniform nanocomposite film. Vacuum 2023, 211, 111944. [Google Scholar] [CrossRef]
- Lutsev, L.; Yakovlev, S.; Brosseau, C. Spin wave spectroscopy and microwave losses in granular two-phase magnetic nanocomposites. J. Appl. Phys. 2007, 101, 034320. [Google Scholar] [CrossRef]
- Zhang, Y.; Ma, Y.; Wu, Z.; Qin, Z.; Ji, H.; Liu, X.; Zhang, W.; Hu, W. Abnormal p-type Gas-Sensing Response to Ether in Co-ZnO Nanocomposite Film and Its Significant Room-Temperature Magnetoresistance. Adv. Funct. Mater. 2025, 35, 2422705. [Google Scholar] [CrossRef]
- Tuan, N.A.; Khanh, H.Q. Preparation and electrical characterization of MES-type magnetodielectric system based on Co-Al-O nanogranular films. J. Mater. Sci. Mater. Electron. 2021, 32, 15643–15652. [Google Scholar] [CrossRef]
- Zhang, Y.; Wen, J.; Wu, Z.; Qin, Z.; Ji, H.; Liu, X.; Hu, W. Room-temperature negative magnetoresistance of FeCo-diamond like carbon nanocomposite film with high anticorrosion and antibiosis. Carbon 2025, 235, 120090. [Google Scholar] [CrossRef]
- Sun, A.; Zhang, Y.; Wu, Z.; Qin, Z.; Ji, H.; Liu, X.; Luo, J.; Hu, W. Sputtering pressure dependence of microstructure and magnetoresistance properties of non-uniform Co–ZnO nanocomposite film. J. Magn. Magn. Mater. 2024, 594, 171886. [Google Scholar] [CrossRef]
- Ogata, Y.; Chudo, H.; Gu, B.; Kobayashi, N.; Ono, M.; Harii, K.; Matsuo, M.; Saitoh, E.; Maekawa, S. Enhanced orbital magnetic moment in FeCo nanogranules observed by Barnett effect. J. Magn. Magn. Mater. 2017, 442, 329–331. [Google Scholar] [CrossRef]
- Zhang, Y.; Li, B.; Wu, Z.; Qin, Z.; Ji, H.; Liu, X.; Li, B.; Hu, W. Modulation of magnetoresistance and field sensitivity of Co–ZnO nanocomposite film by microstructure controlling. J. Phys. D Appl. Phys. 2021, 54, 365003. [Google Scholar] [CrossRef]
- Manica, M.; Suchea, M.P.; Manica, D.; Pascariu, P.; Brincoveanu, O.; Romanitan, C.; Pachiu, C.; Dinescu, A.; Muller, R.; Antohe, S.; et al. Morphological and Optical Properties of RE-Doped ZnO Thin Films Fabricated Using Nanostructured Microclusters Grown by Electrospinning–Calcination. Nanomaterials 2025, 15, 1369. [Google Scholar] [CrossRef]
- Zhang, Y.; Kijima, H.; Kobayashi, N.; Ohnuma, S.; Masumoto, H. Structure and high-frequency soft-magnetic properties of Co–TiN nano-composite films. J. Ceram. Soc. Jpn. 2013, 121, 36–39. [Google Scholar] [CrossRef]
- Park, S.; Yaseen, H.M.A. Effect of Various Nanofillers on Piezoelectric Nanogenerator Performance of P(VDF-TrFE) Nanocomposite Thin Film. Nanomaterials 2025, 15, 403. [Google Scholar] [CrossRef] [PubMed]
- Zhang, Y.; Ohnuma, S.; Masumoto, H. Soft Magnetic Co-(TiN) Composite Films Realized within a Wide-Range of Cobalt Content. IEEE Trans. Magn. 2011, 47, 3795–3798. [Google Scholar] [CrossRef]
- Wang, Y.; Zhang, H.; Wang, L.; Bai, F. Compositional dependence of magnetic and high frequency properties of nanogranular FeCo-TiO2 films. J. Appl. Phys. 2014, 115, 17A306. [Google Scholar] [CrossRef]
- Shinde, S.R.; Ogale, S.B.; Sarma, S.D.; Simpson, J.R.; Drew, H.D.; Lofland, S.E.; Lanci, C.; Buban, J.P.; Browning, N.D.; Kulkarni, V.N.; et al. Ferromagnetism in laser deposited anatase Ti1−xCoxO2−δ films. Phys. Rev. B 2003, 67, 115211. [Google Scholar] [CrossRef]
- Poiana, M.; Dobromir, M.; Nica, V.; Sandu, I.; Georgescu, V. Microstructure, Magnetic and Electronic Transport Properties of Co–TiO2 Nanocomposite Films in Metal Matrix. J. Supercond. Nov. Magn. 2013, 26, 3105–3114. [Google Scholar] [CrossRef]
- Wan, F.; An, H.; Harumoto, T.; Nakamura, Y.; Shi, J. Temperature-dependent magnetotransport of Co–Ti–O nanocomposite films. J. Phys. D Appl. Phys. 2019, 52, 135302. [Google Scholar] [CrossRef]
- Chenari, H.M.; Sedghi, H.; Talebian, M.; Golzan, M.M.; Hassanzadeh, A. Poole-Frenkel Conduction in Cu/Nano-SnO2/Cu Arrangement. J. Nanomater. 2011, 2011, 190391. [Google Scholar] [CrossRef]
- Pasveer, W.F.; Michels, M.A.J. Understanding Mott’s law from scaling of variable-range-hopping currents and intrinsic current fluctuations. Phys. Rev. B 2006, 74, 195129. [Google Scholar] [CrossRef]
- Bakardjieva, S.; Mares, J.; Koci, E.; Tolasz, J.; Fajgar, R.; Ryukhtin, V.; Klementova, M.; Michna, Š.; Bibova, H.; Holmestad, R.; et al. Effect of Multiply Twinned Ag(0) Nanoparticles on Photocatalytic Properties of TiO2 Nanosheets and TiO2 Nanostructured Thin Films. Nanomaterials 2022, 12, 750. [Google Scholar] [CrossRef]
- Xiong, J.; Liu, Y.; Xia, L.; Jiang, G.; Xiao, D.; Mishra, Y.K. Electrochromic properties of cobalt-doped titanium dioxide films. Ionics 2025, 31, 743–756. [Google Scholar] [CrossRef]
- Fleurov, V.; Karpovski, M.; Molotskii, M.; Palevski, A.; Gladkikh, A.; Kris, R. Indirect tunneling in metal-insulator-metal junctions. Solid State Commun. 1996, 97, 543–547. [Google Scholar] [CrossRef]
- Meservey, R.; Tedrow, P.M. Spin-polarized electron tunneling. Phys. Rep. 1994, 238, 173–243. [Google Scholar] [CrossRef]
- Dai, J.; Tang, J. Temperature dependence of the conductance and magnetoresistance of CrO2 powder compacts. Phys. Rev. B 2001, 63, 064410. [Google Scholar] [CrossRef]
- Glazman, L.I.; Matveev, K.A. Inelastic tunneling through thin amorphous films. J. Exp. Theor. Phys. 1988, 94, 332–343. [Google Scholar]
- Xu, Y.; Ephron, D.; Beasley, M.R. Directed inelastic hopping of electrons through metal-insulator-metal tunnel junctions. Phys. Rev. B 1995, 52, 2843–2859. [Google Scholar] [CrossRef] [PubMed]
- Braginskiĭ, L.S.; Baskin, É.M. Inelastic resonant tunneling. Phys. Solid State 1998, 40, 1051–1055. [Google Scholar] [CrossRef]
- Yan, S.S.; Liu, J.P.; Mei, L.M.; Tian, Y.F.; Song, H.Q.; Chen, Y.X.; Liu, G.L. Spin-dependent variable range hopping and magnetoresistance in Ti1−xCoxO2 and Zn1−xCoxO magnetic semiconductor films. J. Phys. Condens. Matter 2006, 18, 10469. [Google Scholar] [CrossRef] [PubMed]
- Mott, N.F. Conduction in non-crystalline materials. Philos. Mag. A J. Theor. Exp. Appl. Phys. 1969, 19, 835–852. [Google Scholar] [CrossRef]
- Efros, A.L.; Shklovskii, B.I. Coulomb gap and low temperature conductivity of disordered systems. J. Phys. C Solid State Phys. 1975, 8, L49. [Google Scholar] [CrossRef]
- Mitani, S.; Takahashi, S.; Takanashi, K.; Yakushiji, K.; Maekawa, S.; Fujimori, H. Enhanced Magnetoresistance in Insulating Granular Systems: Evidence for Higher-Order Tunneling. Phys. Rev. Lett. 1998, 81, 2799–2802. [Google Scholar] [CrossRef]
- Zhu, T.; Wang, Y.J. Enhanced tunneling magnetoresistance of Fe-Al2O3 granular films in the Coulomb blockade regime. Phys. Rev. B 1999, 60, 11918–11921. [Google Scholar] [CrossRef]










Disclaimer/Publisher’s Note: The statements, opinions and data contained in all publications are solely those of the individual author(s) and contributor(s) and not of MDPI and/or the editor(s). MDPI and/or the editor(s) disclaim responsibility for any injury to people or property resulting from any ideas, methods, instructions or products referred to in the content. |
© 2025 by the authors. Licensee MDPI, Basel, Switzerland. This article is an open access article distributed under the terms and conditions of the Creative Commons Attribution (CC BY) license (https://creativecommons.org/licenses/by/4.0/).
Share and Cite
Zhang, Z.; Zhang, Y.; Chen, H.; Wu, Z.; Qin, Z.; Ji, H.; Liu, X.; Hu, W. Temperature Dependence of Conduction and Magnetoresistance Properties in Co-TiO2 Non-Uniform Nanocomposite Films. Nanomaterials 2025, 15, 1735. https://doi.org/10.3390/nano15221735
Zhang Z, Zhang Y, Chen H, Wu Z, Qin Z, Ji H, Liu X, Hu W. Temperature Dependence of Conduction and Magnetoresistance Properties in Co-TiO2 Non-Uniform Nanocomposite Films. Nanomaterials. 2025; 15(22):1735. https://doi.org/10.3390/nano15221735
Chicago/Turabian StyleZhang, Zhifeng, Yiwen Zhang, Haoyu Chen, Zhong Wu, Zhenbo Qin, Huiming Ji, Xinjun Liu, and Wenbin Hu. 2025. "Temperature Dependence of Conduction and Magnetoresistance Properties in Co-TiO2 Non-Uniform Nanocomposite Films" Nanomaterials 15, no. 22: 1735. https://doi.org/10.3390/nano15221735
APA StyleZhang, Z., Zhang, Y., Chen, H., Wu, Z., Qin, Z., Ji, H., Liu, X., & Hu, W. (2025). Temperature Dependence of Conduction and Magnetoresistance Properties in Co-TiO2 Non-Uniform Nanocomposite Films. Nanomaterials, 15(22), 1735. https://doi.org/10.3390/nano15221735

