Interfacial Pull-Out Properties of Surface-Grown Carbon Nanotubes (gCNTs) on Para-Aramid Fabric Material by Chemical Vapor Deposition (CVD)
Abstract
1. Introduction
2. Experiment
2.1. Materials
2.2. Fabrication of Para-Aramid Substrates Through Chemical Vapor Deposition (CVD) Processing
2.3. Analysis and Characterizations
2.3.1. Field Emission Scanning Electron Microscopy (FESEM) and Energy Dispersive X-Ray (EDX) Analysis
2.3.2. FTIR, Raman, XRD, and TGA Characterizations
2.3.3. Nano Pull-Out Testing
2.3.4. Nano Yarn Tensile Strength Testing
2.3.5. Intra-Yarn Shear Strength
2.3.6. Pull-Out Energy Analysis
2.3.7. Pull-Out Fracture Toughness
2.3.8. Nano Friction Testing
2.3.9. Fabric Specification Tests
3. Results and Discussion
3.1. Morphological, Chemical, and Structural Results
3.1.1. FESEM Results
3.1.2. FTIR Spectroscopy Results
3.1.3. Raman Spectroscopy Results
3.1.4. X-Ray Diffraction (XRD) Results
3.1.5. Thermogravimetric Analysis (TGA/DTA) Results
3.2. Pull-Out Properties
3.2.1. Single- and Multiple-Yarn Pull-Out Force–Displacement Results
3.2.2. Initial Interlacement Rupture Results
3.2.3. Intra-Yarn Shear Strength Results
3.2.4. Pull-Out Energy Results
3.2.5. Pull-Out Fracture Toughness Results
3.3. Nano Friction Properties
3.3.1. Static Friction Results
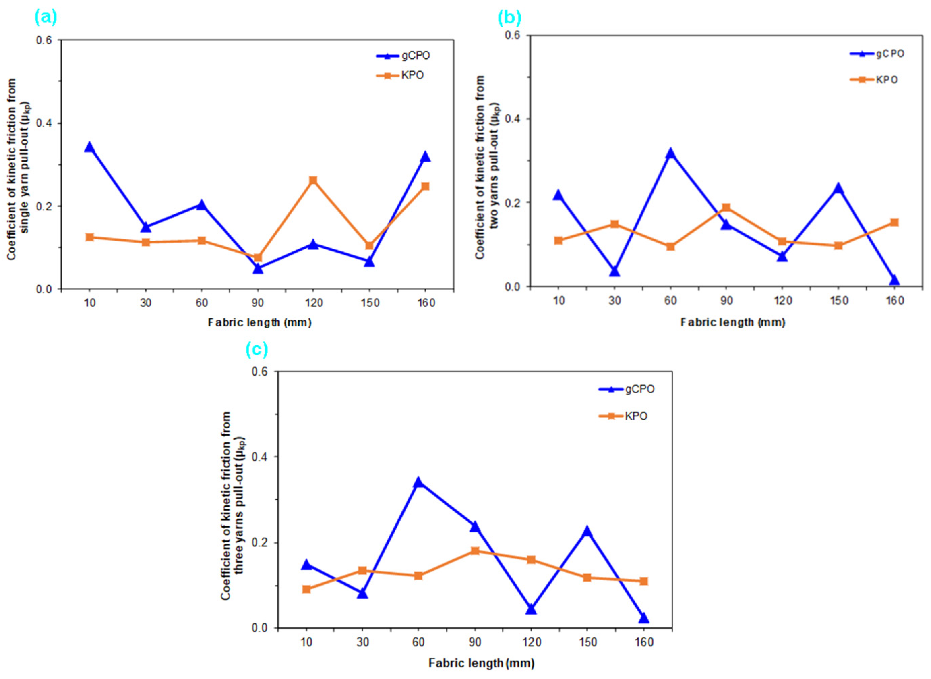
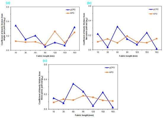
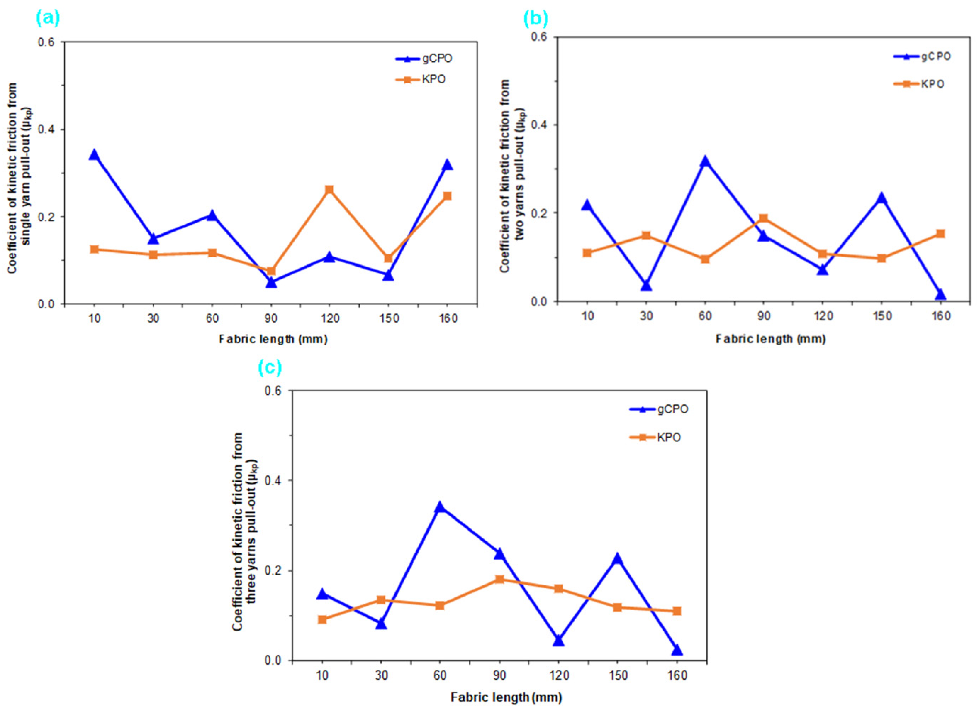
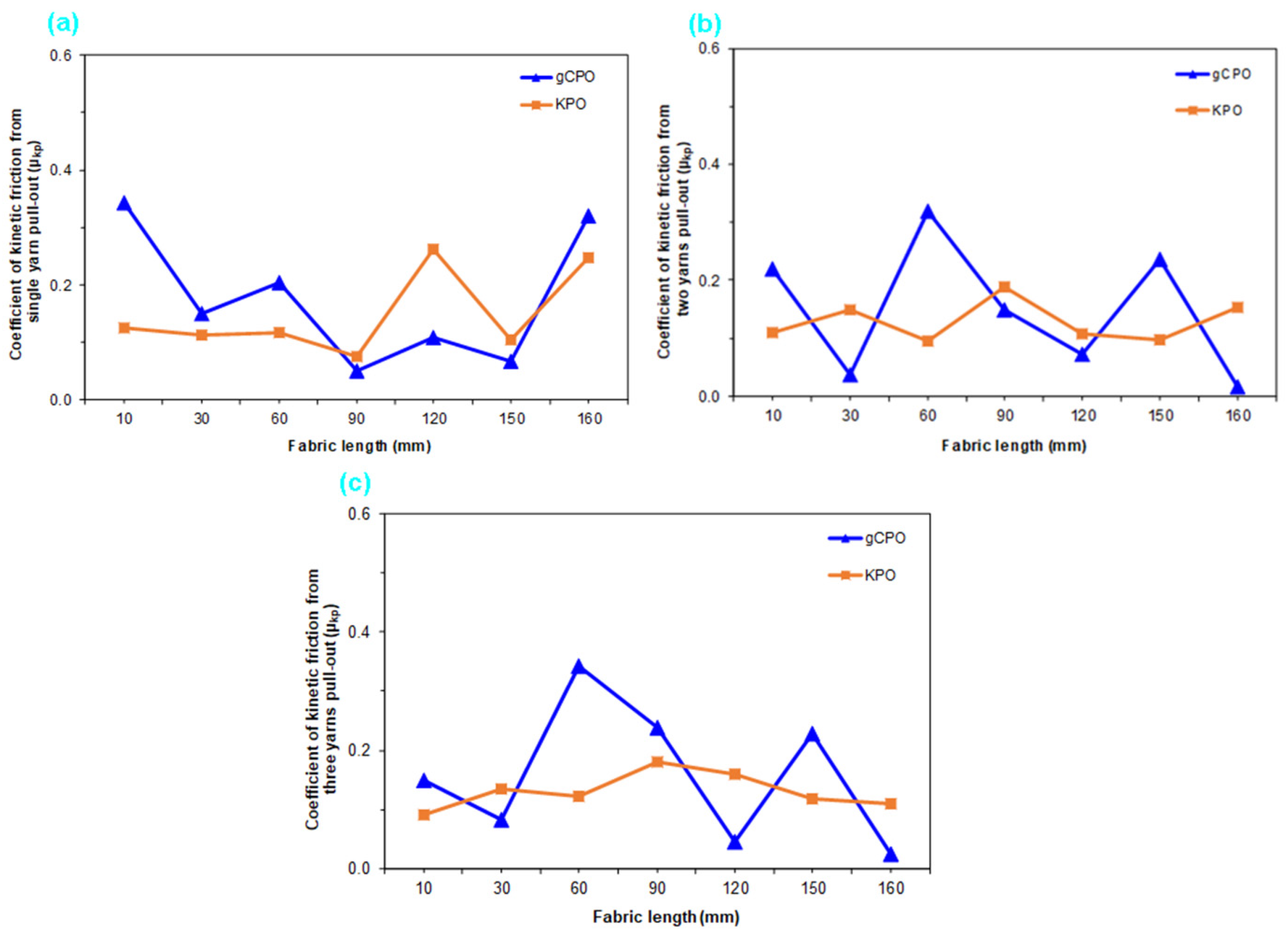
3.3.2. Kinetic Friction Results
3.4. Nanocoated Fabric Pull-Out Mechanism
4. Conclusions
Author Contributions
Funding
Data Availability Statement
Acknowledgments
Conflicts of Interest
References
- Cheeseman, B.A.; Bogetti, T.A. Ballistic impact into fabric and compliant composite laminates. Compos. Struct. 2003, 61, 161–173. [Google Scholar] [CrossRef]
- Bilisik, K. Two dimensional (2D) fabrics and three dimensional (3D) preforms for ballistic and stabbing protection: A review. Text. Res. J. 2017, 87, 2275–2304. [Google Scholar] [CrossRef]
- Bajya, M.; Majumdar, A.; Bhupendra, S.B. A review on current status and development possibilities of soft armour panel assembly. J. Mater. Sci. 2023, 58, 14997–15020. [Google Scholar] [CrossRef]
- Bilisik, K.; Syduzzaman, M. Protective textiles in defense and ballistic protective clothing. In Protective Textiles from Natural Resources; Mondal, M.I.H., Ed.; Elsevier: Cambridge, MA, USA, 2022; Chapter 22; pp. 689–749, ISBN 9780323904773 (print), ISBN 9780323904780 (online). [Google Scholar]
- Wu, S.Y.; Sikdar, P.; Bhat, G.S. Recent progress in developing ballistic and antiimpact materials: Nanotechnology and main approaches. Def. Technol. 2023, 21, 33–61. [Google Scholar] [CrossRef]
- Biradar, A.; Arulvel, S.; Kandasamy, J. Significance of ballistic parameters and nanohybridization in the development of textile-based body armor: A review. Int. J. Impact. Eng. 2023, 180, 104700. [Google Scholar] [CrossRef]
- Brown, J.R.; Chappell, P.J.C.; Mathys, Z. Plasma surface modification of advanced organic fibres: Part I-Effects on the mechanical, fracture and ballistic properties of aramid/epoxy composites. J. Mater. Sci. 1991, 26, 4172–4178. [Google Scholar] [CrossRef]
- Prakash, M.G.; Balasubramanian, K. Functionalized Aramid Fibers and Composites for Protective Applications: A Review. Ind. Eng. Chem. Res. 2018, 57, 16537–16563. [Google Scholar] [CrossRef]
- Zhou, Y.; Ali, M.; Gong, X.; Yang, D. An overview of yarn pull-out behavior of woven fabrics. Text. Res. J. 2019, 89, 223–234. [Google Scholar] [CrossRef]
- Rao, M.P.; Duan, Y.; Keefe, M.; Powers, B.M.; Bogetti, T.A. Modeling the effects of yarn material properties and friction on the ballistic impact of plain-weave fabrics. Compos. Struct. 2009, 89, 556–566. [Google Scholar] [CrossRef]
- Bilisik, K.; Yildirim, B. Properties of stick-slip stage of yarn pull-out in para-aramid woven fabric. Fibers Polym. 2013, 14, 630–638. [Google Scholar] [CrossRef]
- Bilisik, K.; Demiryurek, O.; Yolacan, G. Analyses and statistical modeling of crimp extension stage of single and multiple yarn ends pull-out in textured polyester woven fabric. J. Ind. Text. 2013, 42, 319–339. [Google Scholar] [CrossRef]
- Hwang, H.S.; Malakooti, M.H.; Sodano, H.A. Tailored interyarn friction in aramid fabrics through morphology control of surface grown ZnO nanowires. Compos. A Appl. Sci. Manuf. 2015, 76, 326–333. [Google Scholar] [CrossRef]
- Guo, Z.; Hong, J.; Zheng, J.; Chen, W. Out-of-plane effects on dynamic pull-out of p-phenylene terephthalamide yarns. Text. Res. J. 2015, 85, 140–149. [Google Scholar] [CrossRef]
- Nilakantan, G.; Merrill, R.L.; Keefe, M.; Gillespie, J.W., Jr.; Wetzel, E.D. Experimental investigation of the role of frictional yarn pull-out and windowing on the probabilistic impact response of kevlar fabrics. Compos. B Eng. 2015, 68, 215–229. [Google Scholar] [CrossRef]
- Erlich, D.C.; Shockey, D.A.; Simons, J.W. Slow penetration of ballistic fabrics. Text. Res. J. 2003, 73, 179–184. [Google Scholar] [CrossRef]
- Walter, M.K. A new instrument to measure textile fiber friction by a yarn-to-yarn technique. Text. Res. J. 1975, 45, 639–648. [Google Scholar] [CrossRef]
- Liu, L.; Chen, J.; Zhu, B.; Yu, T.X.; Tao, X.M.; Cao, J. The Yarn-to-Yarn Friction of Woven Fabrics. In Proceedings of the 9th International ESAFORM Conference on Material Forming, Glasgow, UK, 26–28 April 2006. [Google Scholar]
- Bartlett, G.W.; Smith, T.M.; Thompson, H.A. Frictional properties of filament yarns and staple fibers as determined by the stick-slip method. Text. Res. J. 1953, 23, 647–657. [Google Scholar] [CrossRef]
- Gassara, H.E.; Barbier, G.; Kocher, C.W.; Sinoimeri, A.; Pumo, B. Experimental evaluation of transverse friction between fibers. Tribol. Int. 2018, 119, 112–122. [Google Scholar] [CrossRef]
- Asayesh, A.; Jeddi, A.A.A.; Rezaei, M. Utilization of the yarn pullout test in estimation of the reserved energy of rib knitted fabrics. J. Text. Inst. 2017, 108, 1350–1356. [Google Scholar] [CrossRef]
- Lindberg, J.; Gralen, N. Measurement of friction between single fibers IV. influence of various oxidizing and reducing agents on the frictional properties of wool fibers. Text. Res. J. 1949, 19, 183–201. [Google Scholar] [CrossRef]
- Qi, Y.; Iqbal, W.; Jiang, Y. Study on the multi-directional static friction properties of high performance yarns. Fibres. Text. East. Eur. 2022, 151, 111–115. [Google Scholar] [CrossRef]
- Cornelissen, B.; Rietman, B.; Akkerman, R. Frictional behaviour of high performance fibrous tows: Friction experiments. Compos. A Appl. Sci. Manuf. 2013, 44, 95–104. [Google Scholar] [CrossRef]
- Nasser, J.; Steinke, K.; Groo, L.; Sodano, H.A. Improved interyarn friction, impact response, and stab resistance of surface fibrilized aramid fabric. Adv. Mater. Interfaces. 2019, 6, 1900881. [Google Scholar] [CrossRef]
- Rebouillat, S. Tribological properties of woven para-aramid fabrics and their constituent yarns. J. Mater. Sci. 1998, 33, 3293–3301. [Google Scholar] [CrossRef]
- Chu, Y.; Chen, X.; Wang, Q.; Cui, S. An investigation on sol–gel treatment to aramid yarn to increase inter-yarn friction. Appl. Surf. Sci. 2014, 320, 710–717. [Google Scholar] [CrossRef]
- Chu, Y.; Rahman, M.D.R.; Min, S.; Chen, X. Experimental and numerical study of inter-yarn friction affecting mechanism on ballistic performance of Twaron® fabric. Mech. Mater. 2020, 148, 103421. [Google Scholar] [CrossRef]
- Maithani, Y.; Ingle, S.; Khan, J.A.; Bajya, M.; Yerramalli, C.S.; Majumdar, A.; Mehta, B.R.; Singh, J.P. Investigating the effect of aligned Ag nanorods on para-aramid woven fabric and anisotropy in inter-yarn friction. Compos. Part A Appl. Sci. Manuf. 2023, 172, 107614. [Google Scholar] [CrossRef]
- Gowthaman, S.; Srinu, B.; Balaganesan, G. Effects of ZnO nanowire and silica coatings on the inter-yarn friction and ballistic properties of Kevlar fabrics. Int. J. Impact. Eng. 2023, 178, 104637. [Google Scholar] [CrossRef]
- Hwang, H.S.; Malakooti, M.H.; Patterson, B.A.; Sodano, H.A. Increased interyarn friction through ZnO nanowire arrays grown on aramid fabric. Compos. Sci. Technol. 2015, 107, 75–81. [Google Scholar] [CrossRef]
- Gowthaman, S.; Sekhar, D.R. Enhancing the interyarn friction properties of kevlar and glass fabrics through ZnO nanowire coating. J. Compos. Mater. 2021, 55, 1255–1265. [Google Scholar] [CrossRef]
- Dixit, P.; Ghosh, A.; Majumdar, A. Hybrid approach for augmenting the impact resistance of p-aramid fabrics: Grafting of ZnO nanorods and impregnation of shear thickening fluid. J. Mater. Sci. 2019, 54, 13106–13117. [Google Scholar] [CrossRef]
- Bilisik, K. Shear characterization of para-aramid (Twaron®) fabric by yarn pull-out method. Text. Res. J. 2012, 82, 1442–1456. [Google Scholar] [CrossRef]
- Bilisik, K. Determination of para-aramid single fabric shear by yarn pull-out and analysis by statistical model. Fibers Polym. 2013, 14, 603–615. [Google Scholar] [CrossRef]
- Pan, N.; Kovar, R.; Dolatabadi, M.K.; Wang, P.; Zhang, D.; Sun, Y.; Chen, L. Origin of tensile strength of a woven sample cut in bias directions. R. Soc. Open. Sci. 2015, 2, 140499. [Google Scholar] [CrossRef]
- Mohammed, U.; Lekakou, C.; Dong, L.; Bader, M.G. Shear deformation and micromechanics of woven fabrics. Compos. Part A Appl. Sci. Manuf. 2000, 31, 299–308. [Google Scholar] [CrossRef]
- Messiry, M.E.; Eid, E.; Ayman, Y. Investigating the shear behaviour of high-performance fabrics. J. Ind. Text. 2023, 53, 1–25. [Google Scholar] [CrossRef]
- Hu, J. Structure and Mechanics of Woven Fabrics; Woodhead Publishing: Cambridge, UK, 2004; pp. 118–120. [Google Scholar]
- Mörner, B.; Eeg-Olofsson, T. Measurement of the shearing properties of fabrics. Text. Res. J. 1957, 27, 611–615. [Google Scholar] [CrossRef]
- Nasser, J.; Groo, L.; Zhang, L.; Sodano, H. Laser induced graphene fibers for multifunctional aramid fiber reinforced composite. Carbon 2020, 158, 146–156. [Google Scholar] [CrossRef]
- Roark, J.; Thomas, F.D.; Sockalingam, S.; Kempf, J.; Christy, D.; Haas, D.; O’Brien, D.J.; Senecal, K.J.; Crittenden, S.R. Experimental investigation of the influence of metallic coatings on yarn pull-out behavior in Kevlar® fabrics. Fibers 2023, 11, 7. [Google Scholar] [CrossRef]
- Shah, K.A.; Tali, B.A. Synthesis of carbon nanotubes by catalytic chemical vapour deposition: A review on carbon sources, catalysts and substrates. Mater. Sci. Semicond. 2016, 41, 67–82. [Google Scholar] [CrossRef]
- Kim, K.J.; Kim, J.; Yu, W.R.; Youk, J.H.; Lee, J. Improved tensile strength of carbon fibers undergoing catalytic growth of carbon nanotubes on their surface. Carbon 2013, 54, 258–267. [Google Scholar] [CrossRef]
- Qin, J.; Wang, C.; Lu, R.; Su, S.; Yao, Z.; Zheng, L.; Gao, Q.; Wang, Q.; Wei, H. Uniform growth of carbon nanotubes on carbon fiber cloth after surface oxidation treatment to enhance interfacial strength of composites. Compos. Sci. Technol. 2020, 195, 108198. [Google Scholar] [CrossRef]
- Yao, Z.; Wang, C.; Qin, J.; Su, S.; Wang, Y.; Wang, Q.; Yu, M.; Wei, H. Interfacial improvement of carbon fiber/epoxy composites using one-step method for grafting carbon nanotubes on the fibers at ultra-low temperatures. Carbon 2020, 164, 133–142. [Google Scholar] [CrossRef]
- Zhang, L.; De Greef, N.; Kalinka, G.; Van Bilzen, B.; Locquet, J.P.; Verpoest, I.; Seo, J.W. Carbon nanotube-grafted carbon fiber polymer composites: Damage characterization on the micro-scale. Compos. Part B Eng. 2017, 126, 202–210. [Google Scholar] [CrossRef]
- Zhang, F.H.; Wang, R.G.; He, X.D.; Wang, C.; Ren, L.N. Interfacial shearing strength and reinforcing mechanisms of an epoxy composite reinforced using a carbon nanotube/carbon fiber hybrid. J. Mater. Sci. 2009, 44, 3574–3577. [Google Scholar] [CrossRef]
- Wicks, S.S.; Villoria, R.G.; Wardle, B.L. Interlaminar and intralaminar reinforcement of composite laminates with aligned carbon nanotubes. Compos. Sci. Technol. 2010, 70, 20–28. [Google Scholar] [CrossRef]
- Bilisik, K.; Syduzzaman, M.D. Carbon nanotubes in carbon/epoxy multiscale textile preform composites: A review. Polym. Compos. 2021, 42, 1670–1697. [Google Scholar] [CrossRef]
- Li, M.; Xing, F.; Li, T.; Wang, S.; Gu, Y.; Zhang, W.; Wang, Y.; Li, Q. Multiscale interfacial enhancement of surface grown carbon nanotubes carbon fiber composites. Polym. Compos. 2023, 44, 2766–2777. [Google Scholar] [CrossRef]
- Boroujeni, A.Y.; Tehrani, M.; Nelson, A.J.; Al-Haik, M. Hybrid carbon nanotube-carbon fiber composites with improved in-plane mechanical properties. Compos. Part B Eng. 2014, 66, 475–483. [Google Scholar] [CrossRef]
- Wu, G.; Ma, L.; Liu, L.; Wang, Y.; Xie, F.; Zhong, Z.; Zhao, M.; Jiang, B.; Huang, Y. Interfacially reinforced methylphenylsilicone resin composites by chemically grafting multiwall carbon nanotubes onto carbon fibers. Compos. Part B Eng. 2015, 82, 50–58. [Google Scholar] [CrossRef]
- Russello, M.; Diamanti, E.K.; Catalanotti, G.; Ohlsson, F.; Hawkins, S.C.; Falzon, B.G. Enhancing the electrical conductivity of carbon fibre thin-ply laminates with directly grown aligned carbon nanotubes. Compos. Struct. 2018, 206, 272–278. [Google Scholar] [CrossRef]
- Duongthipthewa, A.; Su, Y.; Zhou, L. Electrical conductivity and mechanical property improvement by low-temperature carbon nanotube growth on carbon fiber fabric with nanofiller incorporation. Compos. Part B Eng. 2019, 187, 107581. [Google Scholar] [CrossRef]
- Vashishtha, P.; Kofler, C.; Verma, A.K.; Giridhar, S.P.; Tollerud, J.O.; Dissanayake, N.S.L.; Gupta, T.; Sehrawat, M.; Aggarwal, V.; Mayes, E.L.H.; et al. Epitaxial interface-driven photoresponse enhancement in monolayer WS2–MoS2 lateral. Adv. Funct. Mater. 2025, e12962. [Google Scholar] [CrossRef]
- Verma, A.K.; Rahman, M.A.; Vashishtha, P.; Guo, X.; Sehrawat, M.; Mitra, R.; Giridhar, S.P.; Waqar, M.; Bhoriya, A.; Murdoch, B.J.; et al. Oxygen-passivated sulfur vacancies in monolayer MoS2 for enhanced piezoelectricity. ACS Nano 2025, 19, 3478–3489. [Google Scholar] [CrossRef] [PubMed]
- Shooshtari, M. Gold—Decorated vertically aligned carbon nanofibers for high—Performance room—Temperature ethanol sensing. Microchim. Acta 2025, 192, 517. [Google Scholar] [CrossRef]
- Hearle, J.W.S. High Performance Fibers; Woodhead Publishing Limited: Cambridge, UK; CRC Press: Boca Raton, FL, USA, 2001; p. 69. [Google Scholar]
- Bilisik, K. Properties of yarn pull-out in para-aramid fabric structure and analysis by statistical model. Compos. Part A Appl. Sci. Manuf. 2011, 42, 1930–1942. [Google Scholar] [CrossRef]
- TS EN ISO 2062; Textiles-Yarns from Packages-Determination of Single-End Breaking Force and Elongation at Break. Turkish Standards Institution: Ankara, Turkey, 2010.
- ASTM D5528-01; Standard Test Method for Mode I Interlaminar Fracture Toughness of Unidirectional Fiber-Reinforced Polymer Matrix Composites. American Society for Testing and Materials: West Conshohocken, PA, USA, 2002.
- Adams, D.F.; Carlsson, L.A.; Pipes, R.B. Experimental Characterization of Advanced Composite Materials, 3rd ed.; CRC Press: New York, NY, USA, 2003. [Google Scholar]
- Guler, G. Determination of the Frictional Properties of Descaled Wool Fabric with Yarn Pull-Out Method. Ph.D. Thesis, Erciyes University, Kayseri, Turkey, 2016. [Google Scholar]
- Jung, J.H.; Pan, N.; Kang, T.J. Capstan equation including bending rigidity and non-linear frictional behavior. Mech. Mach. Theory 2008, 43, 661–675. [Google Scholar] [CrossRef]
- TS 254 ISO 7211-3; Textiles-Woven Fabrics-Construction-Methods of the Determination of Shrinkage of Yarns from Woven Fabrics. Turkish Standards Institution: Ankara, Turkey, 1989.
- TS 7128 EN ISO 5084; Textiles-Determination of Thickness of Textiles and Textile Products. Turkish Standards Institution: Ankara, Turkey, 1998.
- TS 251 ISO 3801; Determination of Mass per Unit Length and Mass per Unit Area of Woven Fabrics. Turkish Standards Institution: Ankara, Turkey, 1991.
- Liu, X.; Yu, W. Evaluating the thermal stability of high performance fibers by TGA. J. Appl. Polym. Sci. 2006, 99, 937–944. [Google Scholar] [CrossRef]
- Shebanov, S.M.; Novikov, I.K.; Pavlikov, A.V.; Ananin, O.B.; Gerasimov, I.A. IR and Raman Spectra of Modern Aramid Fibers. Fibre Chem. 2016, 48, 158–164. [Google Scholar] [CrossRef]
- Edwards, H.G.M.; Hakiki, S. Raman spectroscopic studies of nomex and kevlar fibres under stress. Br. Polym. J. 1989, 21, 505–512. [Google Scholar] [CrossRef]
- Dresselhaus, M.S.; Saito, R.; Jorio, A. Raman spectroscopy of carbon nanotubes. Phys. Rep. 2005, 409, 47–99. [Google Scholar] [CrossRef]
- Kharlamova, M.V.; Brzhezinskay, M.M.; Vinogradov, A.S.; Suzdalev, I.P.; Maksimov, Y.V.; Imshennik, V.K.; Novichikhin, S.V.; Krestinin, A.V.; Yashina, L.V.; Lukashin, A.V.; et al. The formation and properties of one dimensional FeHal2 (Hal = Cl, Br, I) nanocrystals in channels of single walled carbon nanotubes. Nanotechnologies Russ. 2009, 4, 634–646. [Google Scholar] [CrossRef]
- Yalovega, G.E.; Brzhezinskaya, M.; Dmitriev, V.O.; Shmatko, V.A.; Ershov, I.V.; Ulyankina, A.A.; Chernysheva, D.V.; Smirnova, N.V. Interfacial interaction in MeOx/MWNTs (Me–Cu, Ni) nanostructures as efficient electrode materials for high-performance super capacitors. Nanomaterials 2024, 14, 947. [Google Scholar] [CrossRef]
- Bilisik, N.E.; Erdogan, G.; Bilisik, K. Pull-out properties of nano-processed para-aramid fabric materials in soft ballistic: An experimental analysis. Appl. Sci. 2025, 15, 2260. [Google Scholar] [CrossRef]
- Bilisik, K. Pull-out properties of polyester woven fabrics: Effects of softening agent and interlacement on single and multiple yarn pull-out forces and analysis by statistical model. Fibers Polym. 2011, 12, 1106–1118. [Google Scholar] [CrossRef]
- Bilisik, K.; Korkmaz, M. Multilayered and multidirectional stitched aramid woven fabric structures: Experimental characterization of ballistic performance by considering yarn pull-out test. Text. Res. J. 2010, 80, 1697–1720. [Google Scholar] [CrossRef]
- Kirkwood, K.M.; Kirkwood, J.E.; Lee, Y.S.; Ronald, G.; Egres, J.R. Yarn pull-out as a mechanism for dissipating impact energy in Kevlar KM-2 fabric Part I: Quasi-static characterization of yarn pull-out. Text. Res. J. 2004, 74, 920–928. [Google Scholar] [CrossRef]
- Dong, Z.; Sun, C.T. Testing and modeling of yarn pull-out in plain Kevlar fabrics. Compos. Part A Appl. Sci. Manuf. 2009, 40, 1863–1869. [Google Scholar] [CrossRef]
- Kirkwood, J.E.; Kirkwood, K.M.; Lee, Y.S.; Ronald, G.; Egres, J.R.; Wagner, J.N. Yarn pull-out as a mechanism for dissipating impact energy in Kevlar KM-2 fabric Part II: Predicting ballistic performance. Text. Res. J. 2004, 74, 929–936. [Google Scholar] [CrossRef]
- Bilisik, K. Stick-slip behavior of para-aramid (Twaron®) fabric in yarn pull-out. Text. Res. J. 2013, 83, 13–33. [Google Scholar] [CrossRef]
- Thomas, F.D.; Roark, J.; Moy, P.; Sockalingam, S.; O’Brien, D.J.; Weerasooriya, T. Experiments and simulations for dynamic yarn pull-out response of Kevlar® fabrics. Compos. Part A Appl. Sci. Manuf. 2024, 181, 108147. [Google Scholar] [CrossRef]



















| Sample Code | Structures | Number of Layer | Nano Material and Ratio (%) |
|---|---|---|---|
| KPO | Control fabric | 1 | - |
| gCPO | CNT-grown p-aramid fabric | 1 | CNTs (~0.315) |
| Sample Code | Fabric Weight (Wd, g) | Weight of the Fabric After Chemical Removal (Wdf, g) | Catalyst-Treated Fabric Weight (Wcf, g) | Weight of the Fabric and Catalyst with Grown Carbon Nanotubes (Wgf, g) | Fabric Weight After Thermal Treatment (Wloss,450 °C, g) | Catalyst Mass Deposited on the Fabric (Wct, g) | Effective Mass of the Carbon Nanotube-Integrated Fabric (Wgfeff, g) | Weight Percentage of Carbon Nanotubes (Wvf, %) |
|---|---|---|---|---|---|---|---|---|
| gCPO | 18.506 | 18.118 | 18.215 | 17.964 | 17.811 | 0.097 | 17.867 | 0.315 |
| Label | Pull-Out Force (Max, N) | Displacement (mm) | Initial Interlacement Rupture Force (N) | Intra-Yarn Shear Strength (MPa) | Yarn Tensile Strength (N, N/tex) |
|---|---|---|---|---|---|
| Single yarn | |||||
| gCPO | 74.66 | 10.28 | 42.97 | 0.09 | 87.63 ± 9.18 |
| KPO | 25.24 | 6.49 | 19.20 | 0.03 | 493.10 ± 19.78 |
| Multiple yarns | |||||
| Two yarns | |||||
| gCPO | 269.22 | 7.91 | 77.47 | 0.16 | - |
| KPO | 94.79 | 7.11 | 63.37 | 0.05 | - |
| Three yarns | |||||
| gCPO | 278.48 | 5.59 | 117.75 | 0.11 | - |
| KPO | 267.88 | 8.14 | 145.28 | 0.10 | - |
| Label | Crimp Extension Energy (J) | Initial Interlacement Rupture Force Energy (J) | Stick–Slip Energy (J) | Total Energy (J) |
|---|---|---|---|---|
| Single yarn | ||||
| gCPO | 0.30 | 0.12 | 2.03 | 2.44 |
| KPO | 0.10 | 0.06 | 1.34 | 1.50 |
| Multiple yarns | ||||
| Two yarns | ||||
| gCPO | 0.74 | 0.05 | 3.70 | 4.48 |
| KPO | 0.28 | 0.23 | 4.19 | 4.69 |
| Three yarns | ||||
| gCPO | 0.42 | 0.11 | 6.17 | 6.70 |
| KPO | 0.91 | 0.11 | 10.30 | 11.32 |
| Label | Fabric Opening Length (a, mm) | Single-Yarn Pull-Out Force (F, N) | Single-Yarn Displacement (δ, mm) | Single-Yarn Fracture Toughness (Gpf, J/m2) | Two-Yarn Pull-Out Force (F, N) | Two-Yarn Displacement (δ, mm) | Two-Yarn Fracture Toughness (Gpf, J/m2) | Three-Yarn Pull-Out Force (F, N) | Three-Yarn Displacement (δ, mm) | Three-Yarn Fracture Toughness (Gpf, J/m2) |
|---|---|---|---|---|---|---|---|---|---|---|
| gCPO | 20 | 22.15 | 30.28 | 670.70 | 43.50 | 27.91 | 1214.90 | 69.14 | 25.59 | 1769.29 |
| 40 | 18.66 | 50.28 | 469.11 | 40.54 | 47.91 | 971.14 | 73.45 | 45.59 | 1674.29 | |
| 60 | 12.35 | 70.28 | 289.32 | 32.35 | 67.91 | 732.30 | 67.13 | 65.59 | 1467.69 | |
| 80 | 9.93 | 90.28 | 224.12 | 13.82 | 87.91 | 303.73 | 12.88 | 85.59 | 275.60 | |
| 100 | 7.11 | 110.28 | 156.82 | 9.26 | 107.91 | 199.85 | 11.94 | 105.59 | 252.15 | |
| 120 | 4.02 | 130.28 | 87.29 | 8.05 | 127.91 | 171.61 | 11.27 | 125.59 | 235.90 | |
| 160 | 1.47 | 170.28 | 31,29 | 4.16 | 167.91 | 87.31 | 4.69 | 165.59 | 97.08 | |
| KPO | 20 | 15.43 | 26.49 | 408.74 | 52.10 | 27.11 | 1412.43 | 134.94 | 28.14 | 3797.21 |
| 40 | 10.87 | 46.49 | 252.67 | 34.64 | 47.11 | 815.95 | 86.47 | 48.14 | 2081.33 | |
| 60 | 9.80 | 66.49 | 217.20 | 29.40 | 67.11 | 657.68 | 68.61 | 68.14 | 1558.36 | |
| 80 | 7.38 | 86.49 | 159.57 | 22.69 | 87.11 | 494.13 | 50.22 | 88.14 | 1106.60 | |
| 100 | 5.77 | 106.49 | 122.89 | 15.31 | 107.11 | 327.97 | 40.94 | 108.14 | 885.45 | |
| 120 | 4.70 | 126.49 | 99.08 | 13.55 | 127.11 | 287.06 | 26.72 | 128.14 | 570.65 | |
| 160 | 2.28 | 166.49 | 47.45 | 5.10 | 167.11 | 106.53 | 11.94 | 168.14 | 250.95 |
| Label | Coefficent of Static Friction-Dry (μsc) | Coefficent of Static Friction-Wet (μsc) | Coefficent of Kinetic Friction-Dry (μkp) |
|---|---|---|---|
| Single yarn | |||
| gCPO | 0.300 ± 0.01 | 0.300 ± 0.01 | 0.180 ± 0.12 |
| KPO | 0.220 ± 0.01 | 0.220 ± 0.01 | 0.150 ± 0.07 |
| Multiple yarns | |||
| Two yarns | |||
| gCPO | 0.320 ± 0.01 | 0.305 ± 0.01 | 0.150 ± 0.11 |
| KPO | 0.230 ± 0.01 | 0.223 ± 0.01 | 0.130 ± 0.04 |
| Three yarns | |||
| gCPO | 0.320 ± 0.01 | 0.310 ± 0.01 | 0.160 ± 0.12 |
| KPO | 0.250 ± 0.01 | 0.240 ± 0.01 | 0.130 ± 0.03 |
Disclaimer/Publisher’s Note: The statements, opinions and data contained in all publications are solely those of the individual author(s) and contributor(s) and not of MDPI and/or the editor(s). MDPI and/or the editor(s) disclaim responsibility for any injury to people or property resulting from any ideas, methods, instructions or products referred to in the content. |
© 2025 by the authors. Licensee MDPI, Basel, Switzerland. This article is an open access article distributed under the terms and conditions of the Creative Commons Attribution (CC BY) license (https://creativecommons.org/licenses/by/4.0/).
Share and Cite
Bilisik, E.; Korkmaz, M.; Bilisik, K. Interfacial Pull-Out Properties of Surface-Grown Carbon Nanotubes (gCNTs) on Para-Aramid Fabric Material by Chemical Vapor Deposition (CVD). Nanomaterials 2025, 15, 1637. https://doi.org/10.3390/nano15211637
Bilisik E, Korkmaz M, Bilisik K. Interfacial Pull-Out Properties of Surface-Grown Carbon Nanotubes (gCNTs) on Para-Aramid Fabric Material by Chemical Vapor Deposition (CVD). Nanomaterials. 2025; 15(21):1637. https://doi.org/10.3390/nano15211637
Chicago/Turabian StyleBilisik, Erman, Mahmut Korkmaz, and Kadir Bilisik. 2025. "Interfacial Pull-Out Properties of Surface-Grown Carbon Nanotubes (gCNTs) on Para-Aramid Fabric Material by Chemical Vapor Deposition (CVD)" Nanomaterials 15, no. 21: 1637. https://doi.org/10.3390/nano15211637
APA StyleBilisik, E., Korkmaz, M., & Bilisik, K. (2025). Interfacial Pull-Out Properties of Surface-Grown Carbon Nanotubes (gCNTs) on Para-Aramid Fabric Material by Chemical Vapor Deposition (CVD). Nanomaterials, 15(21), 1637. https://doi.org/10.3390/nano15211637

