Impact of Plant Species on the Synthesis and Characterization of Biogenic Silver Nanoparticles: A Comparative Study of Brassica oleracea, Corylus avellana, and Camellia sinensis
Abstract
1. Introduction
2. Materials and Methods
2.1. Preparation of Plant Extracts
2.2. Total Phenolic Content (TPC) of Plants
2.3. Nanoparticle Synthesis and Characterization
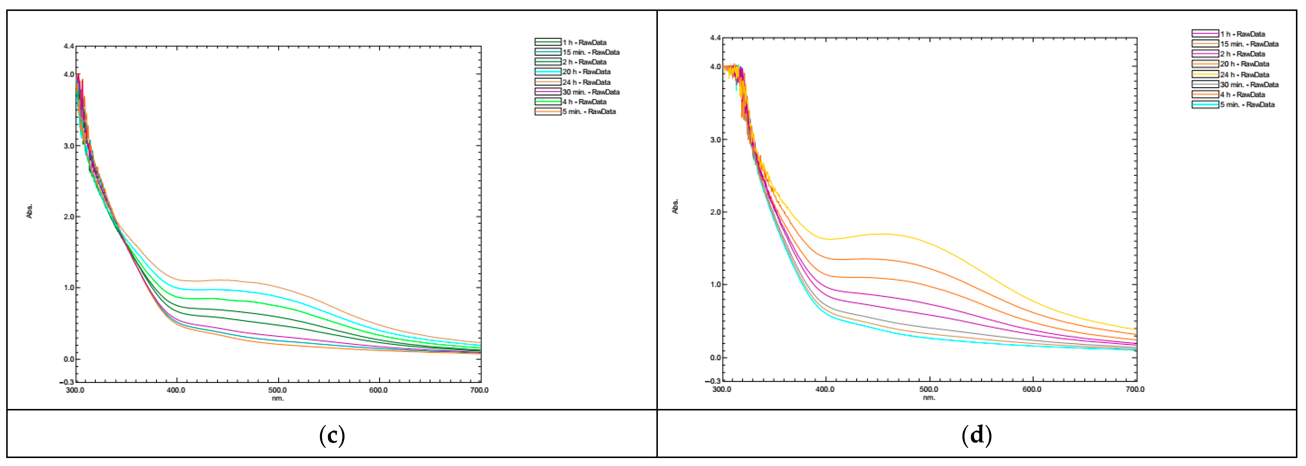
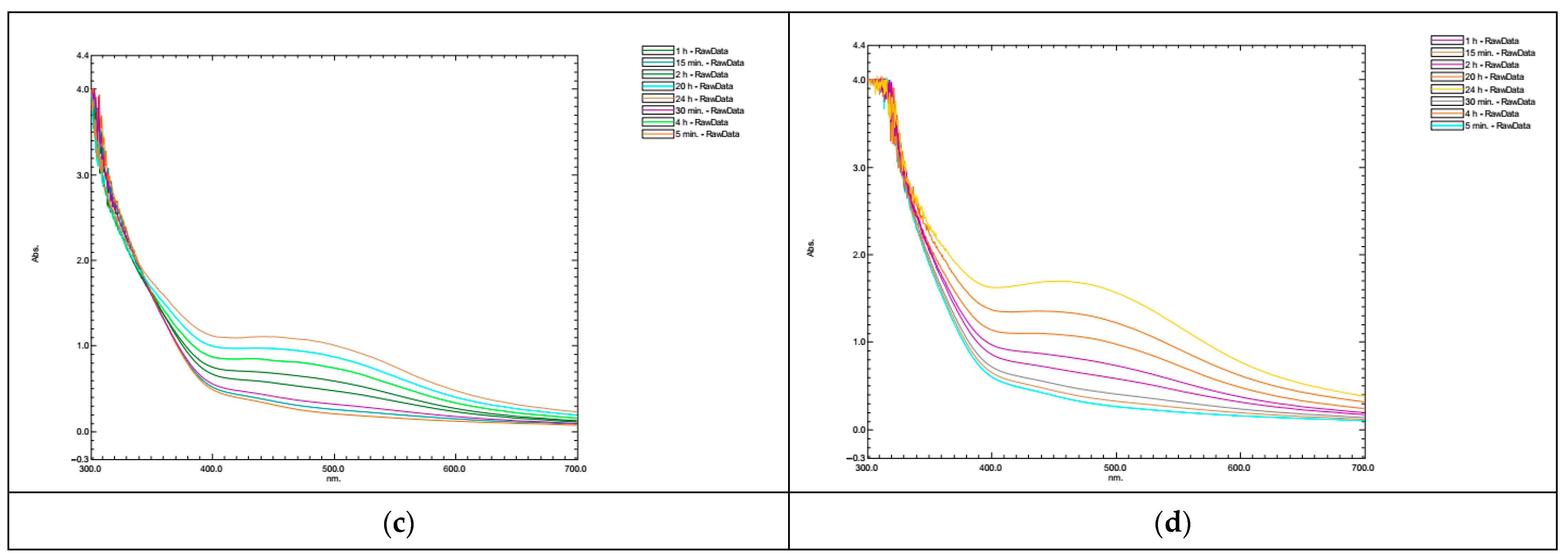
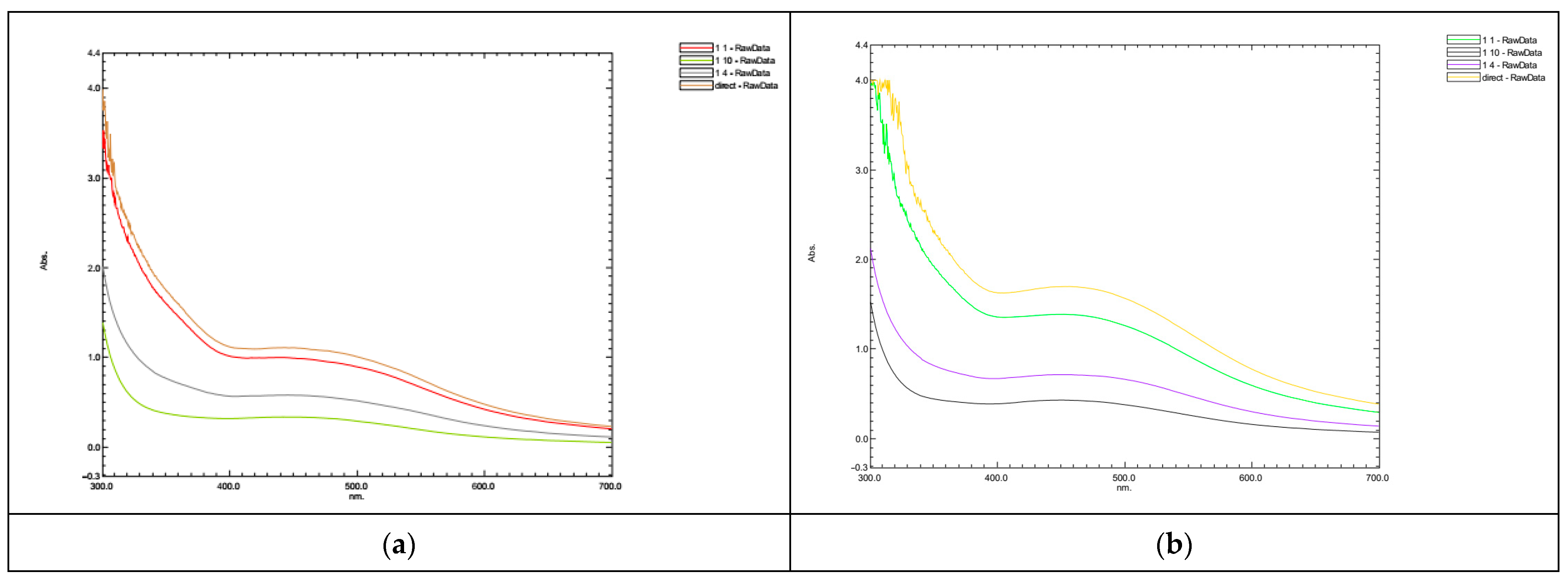
3. Results and Discussion
3.1. UV–Vis Spectra of NPs
3.1.1. Collard Greens Silver Nanoparticles (CG-AgNPs)
3.1.2. Hazel Nut Silver Nanoparticles (HN-AgNPs)
3.1.3. Green Tea Silver Nanoparticles (GT-AgNPs)
3.2. XRD Analysis of NPs
3.2.1. Transmission Electron Microscopy (TEM) and Size Distribution
3.2.2. Fourier Transform Infrared Spectroscopy (FTIR)
4. Conclusions
Supplementary Materials
Author Contributions
Funding
Data Availability Statement
Conflicts of Interest
References
- Agarwal, H.; Kumar, S.V.; Rajeshkumar, S. A Review on Green Synthesis of Zinc Oxide Nanoparticles—An Eco-friendly Approach. Resour.-Effic. Technol. 2017, 3, 406–413. [Google Scholar] [CrossRef]
- Ahmed, O.; Sibuyi, N.R.S.; Fadaka, A.O.; Madiehe, M.A.; Maboza, E.; Meyer, M.; Geerts, G. Plant Extract-Synthesized Silver Nanoparticles for Application in Dental Therapy. Pharmaceutics 2022, 14, 380. [Google Scholar] [CrossRef] [PubMed]
- Ahmed, S.; Ahmad, M.; Swami, B.L.; Ikram, S. A Review On Plants Extract Mediated Synthesis Of Silver Nanoparticles For Antimicrobial Applications: A Green Expertise. J. Adv. Res. 2016, 7, 17–28. [Google Scholar] [CrossRef] [PubMed]
- Aritonang, H.F.; Koleangan, H.; Wuntu, A.D. Synthesis of Silver Nanoparticles Using Aqueous Extract of Medicinal Plants’ (Impatiens balsamina and Lantana camara) Fresh Leaves and Analysis of Antimicrobial Activity. Int. J. Microbiol. 2019, 2019, e8642303. [Google Scholar] [CrossRef] [PubMed]
- Aslam, M.; Fozia, F.; Gul, A.; Ahmad, I.; Ullah, R.; Bari, A.; Mothana, R.A.; Hussain, H. Phyto-extract-mediated synthesis of silver nanoparticles using aqueous extract of Sanvitalia procumbens, and characterization, optimization and photocatalytic degradation of azo dyes Orange G and Direct Blue-15. Molecules 2021, 26, 6144. [Google Scholar] [CrossRef]
- Auffan, M.; Rose, J.; Proux, O.; Borschneck, D.; Masion, A.; Chaurand, P.; Hazemann, J.-L.; Chaneac, C.; Jolivet, J.-P.; Wiesner, M.R.; et al. Enhanced adsorption of arsenic onto maghemites nanoparticles: As(III) as a probe of the surface structure and heterogeneity. Langmuir 2008, 24, 3215–3222. [Google Scholar] [CrossRef]
- Beykaya, M.; Çağlar, A. An Investigation on Synthesis of Silver-Nanoparticles (AgNP) and their Antimicrobial effectiveness by using Herbal Extracts. Afyon Kocatepe Univ. J. Sci. Eng. 2016, 16, 631–641. [Google Scholar] [CrossRef]
- Bouafia, A.; Laouini, S.E.; Ahmed, A.S.A.; Soldatov, A.V.; Algarni, H.; Chong, K.F.; Ali, G.A.M. The Recent Progress on Silver Nanoparticles: Synthesis and Electronic Applications. Nanomaterials 2021, 11, 2318. [Google Scholar] [CrossRef]
- Chandran, S.P.; Chandhary, M.; Pasricha, R.; Ahmad, A.; Sastry, M. Synthesis of gold nanotriangles and silver nanoparticles using Aloe vera plant extract. Biotechnol. Prog. 2006, 22, 577–583. [Google Scholar] [CrossRef]
- Chen, D.; Qiao, X.; Qiu, X.; Chen, J. Synthesis and electrical properties of uniform silver nanoparticles for electronic applications. J. Mater. Sci. 2009, 44, 1076–1081. [Google Scholar] [CrossRef]
- De La Cruz-Puma, R.M.; Vega-Chacón, J.; Jauja-Ccana, V.R.; Villa, J.E.; La Rosa-Toro, A. Green synthesis and characterization of silver nanoparticles using grape stalk extract. J. Mol. Liq. 2024, 403, 124927. [Google Scholar] [CrossRef]
- Devatha, C.; Thalla, A.K.; Katte, S.Y. Green synthesis of iron nanoparticles using different leaf extracts for treatment of domestic waste water. J. Clean. Prod. 2016, 139, 1425–1435. [Google Scholar] [CrossRef]
- Dhuper, S.; Panda, D.; Nayak, P.P.L. Green Synthesis and Characterization of Zero Valent Iron Nanoparticles from the Leaf Extract of Mangifera indica. Nano Trends J. Nanotechnol. Its Appl. 2012, 13, 16–22. [Google Scholar]
- Gadkari, R.R.; Ali, S.W.; Alagirusamy, R.; Das, A. Silver Nanoparticles in Water Purification: Opportunities and Challenges. In Modern Age Environmental Problems and Their Remediation; Oves, M., Zain Khan, M., Ismail, I.M.I., Eds.; Springer International Publishing: Cham, Switzerland, 2018; pp. 229–237. [Google Scholar]
- Hossain, N.; Islam, M.A.; Chowdhury, M.A. Synthesis and characterization of plant extracted silver nanoparticles and advances in dental implant applications. Heliyon 2022, 8, e12313. [Google Scholar] [CrossRef]
- Jaidev, L.R.; Narasimha, G. Fungal mediated biosynthesis of silver nanoparticles, characterization and antimicrobial activity. Colloids Surf. B Biointerfaces 2010, 81, 430–433. [Google Scholar] [CrossRef]
- Jana, N.R.; Gearheart, L.; Murphy, C.J. Seeding Growth For Size Control of 5–40 nm Diameter Gold Nanoparticles. Langmuir 2001, 17, 6782–6786. [Google Scholar] [CrossRef]
- Jeevanandam, J.; Chan, Y.S.; Danquah, M.K. Biosynthesis of metal and metal oxide nanoparticles. ChemBioEng. Rev. 2016, 3, 55–67. [Google Scholar] [CrossRef]
- Jiménez-Rosado, M.; Gomez-Zavaglia, A.; Guerrero, A.; Romero, A. Green synthesis of ZnO nanoparticles using polyphenol extracts from pepper waste (Capsicum annuum). J. Clean. Prod. 2022, 350, 131541. [Google Scholar] [CrossRef]
- Kalhapure, R.S.; Sonawane, S.J.; Sikwal, D.R.; Jadhav, M.; Rambharose, S.; Mocktar, C.; Govender, T. Solid lipid nanoparticles of clotrimazole silver complex: An efficient nano antibacterial against Staphylococcus aureus and MRSA. Colloids Surf. B Biointerfaces 2015, 136, 651–658. [Google Scholar] [CrossRef]
- Karamian, R.; Kamalnejad, J. Green Synthesis of Silver Nanoparticles Using Cuminum cyminum Leaf Extract and Evaluation of Their Biological Activities. J. Nanostruct. 2019, 9, 74–85. [Google Scholar] [CrossRef]
- Khalil, M.M.H.; Ismail, E.H.; El-Baghdady, K.Z.; Mohamed, D. Green Synthesis of Silver Nanoparticles Using Olive Leaf Extract and Its Antibacterial Activity. Arab. J. Chem. 2014, 7, 1131–1139. [Google Scholar] [CrossRef]
- Khane, Y.; Benouis, K.; Albukhaty, S.; Sulaiman, G.M.; Abomughaid, M.M.; Al Ali, A.; Aouf, D.; Fenniche, F.; Khane, S.; Chaibi, W.; et al. Green Synthesis of Silver Nanoparticles Using Aqueous Citrus limon Zest Extract: Characterization and Evaluation of Their Antioxidant and Antimicrobial Properties. Nanomaterials 2022, 12, 2013. [Google Scholar] [CrossRef] [PubMed]
- Khodadadi, B.; Bordbar, M.; Nasrollahzadeh, M. Achillea millefolium L. Extract Mediated Green Synthesis of Waste Peach Kernel Shell Supported Silver Nanoparticles: Application of The Nanoparticles For Catalytic Reduction of a Variety of Dyes in Water. J. Colloid Interface Sci. 2017, 493, 85–93. [Google Scholar] [CrossRef]
- Li, C.; Li, D.; Wan, G.; Xu, J.; Hou, W. Facile synthesis of concentrated gold nanoparticles with low size-distribution in water: Temperature and pH controls. Nanoscale Res. Lett. 2011, 6, 440. [Google Scholar] [CrossRef]
- Liaqat, N.; Jahan, N.; Khalil-ur-Rahman; Anwar, T.; Qureshi, H. Green synthesized silver nanoparticles: Optimization, characterization, antimicrobial activity, and cytotoxicity study by hemolysis assay. Front. Chem. 2022, 10, 952006. [Google Scholar] [CrossRef]
- Liu, F.; Yang, J.; Zuo, J.; Ma, D.; Gan, L.; Xie, B.; Wang, P.; Yang, B. Graphene-supported nanoscale zero-valent iron: Removal of phosphorus from aqueous solution and mechanistic study. J. Environ. Sci. 2014, 26, 1751–1762. [Google Scholar] [CrossRef] [PubMed]
- Ma, Y.; Yue, B.; Yu, L.; Wang, X.; Hu, Z.; Fan, Y.; Chen, Y.; Lin, W.; Lu, Y.; Hu, J. Artificial construction of the magnetically separable nanocatalyst by anchoring Pt nanoparticles on functionalized carbon-encapsulated nickel nanoparticles. J. Phys. Chem. C 2008, 112, 472–475. [Google Scholar] [CrossRef]
- Marimuthu, S.; Antonisamy, A.J.; Malayandi, S.; Rajendran, K.; Tsai, P.-C.; Pugazhendhi, A.; Ponnusamy, V.K. Silver nanoparticles in dye effluent treatment: A review on synthesis, treatment methods, mechanisms, photocatalytic degradation, toxic effects and mitigation of toxicity. J. Photochem. Photobiol. B 2020, 205, 111823. [Google Scholar] [CrossRef]
- Masooleh, A.K.; Ahmadikhah, A.; Saidi, A. Green Synthesis of Stable Silver Nanoparticles by The Main Reduction Component of Green Tea (Camellia sinensis L.). IET Nanobiotechnol. 2018, 13, 183–188. [Google Scholar] [CrossRef]
- Meydan, I.; Seckin, H.; Burhan, H.; Gür, T.; Tanhaei, B.; Sen, F. Arum italicum mediated silver nanoparticles: Synthesis and investigation of some biochemical parameters. Environ. Res. 2022, 204, 112347. [Google Scholar] [CrossRef]
- Mittal, A.K.; Chisti, Y.; Banerjee, U.C. Synthesis of Metallic Nanoparticles Using Plant Extracts. Biotechnol. Adv. 2013, 31, 346–356. [Google Scholar] [CrossRef] [PubMed]
- Nohynek, G.J.; Dufour, E.K.; Roberts, M.S. Nanotechnology, cosmetics and the skin: Is there a health risk? Ski. Pharmacol. Physiol. 2008, 21, 136–149. [Google Scholar] [CrossRef] [PubMed]
- Onitsuka, S.; Hamada, T.; Okamura, H. Preparation of antimicrobial gold and silver nanoparticles from tea leaf extracts. Colloids Surf. B Biointerfaces 2019, 173, 242–248. [Google Scholar] [CrossRef]
- Oves, M.; Ahmar Rauf, M.; Aslam, M.; Qari, H.A.; Sonbol, H.; Ahmad, I.; Zaman, G.S.; Saeed, M. Green synthesis of silver nanoparticles by Conocarpus lancifolius plant extract and their antimicrobial and anticancer activities. Saudi J. Biol. Sci. 2022, 29, 460–471. [Google Scholar] [CrossRef] [PubMed]
- Pal, G.; Rai, P.; Pandey, A. Green Synthesis of Nanoparticles: A greener Approach For A Cleaner Future. In Green Synthesis, Characterization and Applications of Nanoparticles; Elsevier Inc.: Amsterdam, The Netherlands, 2019; pp. 1–26. [Google Scholar]
- Parajuli, S.; Nepal, P.; Awasthi, G.P.; Oli, H.B.; Shrestha, R.L.S.; Homagai, P.L.; Bhattarai, D.P. Synthesis, characterization and antimicrobial study of silver nanoparticles using methanolic fraction of Artemisia vulgaris leaf. BIBECHANA 2024, 21, 63–73. [Google Scholar] [CrossRef]
- Pucelik, B.; Sułek, A.; Borkowski, M.; Barzowska, A.; Kobielusz, M.; Dąbrowski, J.M. Synthesis and Characterization of Size- and Charge-Tunable Silver Nanoparticles for Selective Anticancer and Antibacterial Treatment. ACS Appl. Mater. Interfaces 2022, 14, 14981–14996. [Google Scholar] [CrossRef]
- Rafique, M.; Sadaf, I.; Rafique, M.S.; Tahir, M.B. A Review on Green Synthesis of Silver Nanoparticles and Their Applications. Artif. Cells Nanomed. Biotechnol. 2017, 45, 1272–1291. [Google Scholar] [CrossRef]
- Raghav, S.; Yadav, P.K.; Kumar, D. Nanotechnology for a sustainable future. In Handbook of Nanomaterials for Manufacturing Applications; Elsevier Inc.: Amsterdam, The Netherlands, 2020; pp. 465–492. [Google Scholar]
- Rastogi, A.; Singh, P.; Haraz, F.A.; Barhoum, A. Biological synthesis of nanoparticles: An environmentally benign approach. In Fundamentals of Nanoparticles: Classifications, Synthesis Methods, Properties and Characterization; Elsevier Inc.: Amsterdam, The Netherlands, 2018; pp. 571–604. [Google Scholar]
- Roy, A.; Elzaki, A.; Tirth, V.; Kajoak, S.; Osman, H.; Algahtani, A.; Islam, S.; Faizo, N.L.; Khandaker, M.U.; Islam, M.N.; et al. Biological Synthesis of Nanocatalysts and Their Applications. Catalysis 2021, 11, 1494. [Google Scholar] [CrossRef]
- Sadeghi, B.; Gholamhoseinpoor, F. A Study on The Stability and Green Synthesis of Silver Nanoparticles Using Ziziphora Tenuior (Zt) Extract at Room Temperature. Spectrochim. Acta Part Mol. Biomol. Spectrosc. 2015, 134, 310–315. [Google Scholar] [CrossRef]
- Safari-Talab, A.; Asadi, S.; Lashgari, S. From nature to nanoparticles: Synthesizing silver nanoparticles from Moortalkh plant leaves with potent antibacterial properties. Inorg. Chem. Commun. 2024, 165, 112458. [Google Scholar] [CrossRef]
- Saha, J.; Begum, A.; Mukherjee, A.; Kumar, S. A novel green synthesis of silver nanoparticles and their catalytic action in reduction of Methylene Blue dye. Sustain. Environ. Res. 2017, 27, 245–250. [Google Scholar] [CrossRef]
- San, Y.; Chan, M.; Don, M.; Selatan, S.P. Instantaneous biosynthesis of silver nanoparticles by selected macro fungi. Aust. J. Basic Appl. Sci. 2012, 6, 86–88. [Google Scholar]
- Sherin, L.; Sohail, A.; Amjad, U.-E.; Mustafa, M.; Jabeen, R.; Ul-Hamid, A. Facile Green Synthesis of Silver Nanoparticles Using Terminalia bellerica Kernel Extract For Catalytic Reduction of Anthropogenic Water Pollutants. Colloids Interface Sci. Commun. 2020, 37, 100276. [Google Scholar] [CrossRef]
- Shnoudeh, A.J.; Hamad, I.; Abdo, R.W.; Qadumii, L.; Jaber, A.Y.; Surchi, H.S.; Alkelany, S.Z. Synthesis, Characterization, and Applications of Metal Nanoparticles. In Biomaterials and Bionanotechnology; Elsevier Inc.: Amsterdam, The Netherlands, 2019; pp. 527–612. [Google Scholar]
- Soshnikova, V.; Kim, Y.J.; Singh, P.; Huo, Y.; Markus, J.; Ahn, S.; Castro-Aceituno, V.; Kang, J.; Chokkalingam, M.; Mathiyalagan, R.; et al. Cardamom Fruits as A Green Resource For Facile Synthesis of Gold and Silver Nanoparticles and Their Biological Applications. Artif. Cells Nanomed. Biotechnol. 2018, 46, 108–117. [Google Scholar] [CrossRef]
- Subha, T.; Srilatha, M.; Naveen, P.; Thirumalaisamy, R. Green synthesis, characterization and optimization of silver nanoparticles from Carica papaya using Box Behnken design and its activity against dental caries causing Streptococcus sp. Chem. Data Collect. 2024, 51, 101139. [Google Scholar] [CrossRef]
- Taghavizadeh Yazdi, M.E.; Amiri, M.S.; Akbari, S.; Sharifalhoseini, M.; Nourbakhsh, F.; Mashreghi, M.; Yousefi, E.; Abbasi, M.R.; Modarres, M.; Es-haghi, A. Green Synthesis of Silver Nanoparticles Using Helichrysum graveolens for Biomedical Applications and Wastewater Treatment. BioNanoScience 2020, 10, 1121–1127. [Google Scholar] [CrossRef]
- Taha, A.; Ben Aissa, M.; Da’na, E. Green synthesis of an activated carbon-supported Ag and ZnO nanocomposite for photocatalytic degradation and its antibacterial activities. Molecules 2020, 25, 1586. [Google Scholar] [CrossRef] [PubMed]
- Tang, W.-W.; Zeng, G.-M.; Gong, J.-L.; Liang, J.; Xu, P.; Zhang, C.; Huang, B.-B. Impact of humic/fulvic acid on the removal of heavy metals from aqueous solutions using nanomaterials: A review. Sci. Total Environ. 2014, 468–469, 1014–1027. [Google Scholar] [CrossRef]
- Thakkar, K.N.; Mhatre, S.S.; Parikh, R.Y. Biological Synthesis of Metallic Nanoparticles. Nanomed. Nanotechnol. Biol. Med. 2010, 6, 257–262. [Google Scholar] [CrossRef]
- Velgosová, O.; Mražíková, A.; Marcinčáková, R. Influence of pH on Green Synthesis of Ag Nanoparticles. Mater. Lett. 2016, 180, 336–339. [Google Scholar] [CrossRef]
- Verma, A.; Mehata, M.S. Controllable synthesis of silver nanoparticles using Neem leaves and their antimicrobial activity. J. Radiat. Res. Appl. Sci. 2016, 9, 109–115. [Google Scholar] [CrossRef]
- Vikesland, P.J.; Wigginton, K.R. Nanomaterial Enabled Biosensors for Pathogen Monitoring. Environ. Sci. Technol. 2010, 44, 3656–3669. [Google Scholar] [CrossRef] [PubMed]
- YYan, J.; Han, L.; Gao, W.; Xue, S.; Chen, M. Biochar supported nanoscale zerovalent iron composite used as persulfate activator for removing trichloroethylene. Bioresour. Technol. 2015, 175, 269–274. [Google Scholar] [CrossRef] [PubMed]
- Ziai, Y.; Rinoldi, C.; Nakielski, P.; De Sio, L.; Pierini, F. Smart plasmonic hydrogels based on gold and silver nanoparticles for biosensing application. Curr. Opin. Biomed. Eng. 2022, 24, 100413. [Google Scholar] [CrossRef]
- Bin Mobarak, M.; Hossain, M.S.; Chowdhury, F.; Ahmed, S. Synthesis and Characterization of CuO Nanoparticles Utilizing Waste Fish Scale and Exploitation of XRD Peak Profile Analysis for Approximating the Structural Parameters. Arab. J. Chem. 2022, 15, 104117. [Google Scholar] [CrossRef]
- Zare, Y. Study of Nanoparticles Aggregation/Agglomeration in Polymer Particulate Nanocomposites by Mechanical Properties. Compos. Part Appl. Sci. Manuf. 2016, 84, 158–164. [Google Scholar] [CrossRef]







| Dilution Ratio | Maximum SPR (nm) | |||||
|---|---|---|---|---|---|---|
| CGNPs | HNNPs | GTNPs | ||||
| 1 mM | 5 mM | 1 mM | 5 mM | 1 mM | 5 mM | |
| Direkt | 450 | 455 | 450 | X | 450 | 460 |
| 1:1 | 435 | 450 | 445 | 455 | 445 | 455 |
| 1:4 | 445 | 450 | 440 | 440 | 430 | 440 |
| 1:10 | 440 | 450 | 440 | 440 | 430 | 440 |
| Sample | Molarity | Crystallite Size (nm) | Particle Size (nm) |
|---|---|---|---|
| CG | 1 mM | 20.71 | 17.61 |
| 5 mM | 18.69 | 13.61 | |
| HN | 1 mM | 12.39 | 22.71 |
| 5 mM | 20.10 | 23.60 | |
| GT | 1 mM | 21.54 | 42.67 |
| 5 mM | 29.64 | 21.45 |
Disclaimer/Publisher’s Note: The statements, opinions and data contained in all publications are solely those of the individual author(s) and contributor(s) and not of MDPI and/or the editor(s). MDPI and/or the editor(s) disclaim responsibility for any injury to people or property resulting from any ideas, methods, instructions or products referred to in the content. |
© 2024 by the authors. Licensee MDPI, Basel, Switzerland. This article is an open access article distributed under the terms and conditions of the Creative Commons Attribution (CC BY) license (https://creativecommons.org/licenses/by/4.0/).
Share and Cite
Demirel Bayik, G.; Baykal, B. Impact of Plant Species on the Synthesis and Characterization of Biogenic Silver Nanoparticles: A Comparative Study of Brassica oleracea, Corylus avellana, and Camellia sinensis. Nanomaterials 2024, 14, 1954. https://doi.org/10.3390/nano14231954
Demirel Bayik G, Baykal B. Impact of Plant Species on the Synthesis and Characterization of Biogenic Silver Nanoparticles: A Comparative Study of Brassica oleracea, Corylus avellana, and Camellia sinensis. Nanomaterials. 2024; 14(23):1954. https://doi.org/10.3390/nano14231954
Chicago/Turabian StyleDemirel Bayik, Gülçin, and Busenur Baykal. 2024. "Impact of Plant Species on the Synthesis and Characterization of Biogenic Silver Nanoparticles: A Comparative Study of Brassica oleracea, Corylus avellana, and Camellia sinensis" Nanomaterials 14, no. 23: 1954. https://doi.org/10.3390/nano14231954
APA StyleDemirel Bayik, G., & Baykal, B. (2024). Impact of Plant Species on the Synthesis and Characterization of Biogenic Silver Nanoparticles: A Comparative Study of Brassica oleracea, Corylus avellana, and Camellia sinensis. Nanomaterials, 14(23), 1954. https://doi.org/10.3390/nano14231954
