Tuning the Electronic Bandgap of Penta-Graphene from Insulator to Metal Through Functionalization: A First-Principles Calculation
Abstract
1. Introduction
2. Computational Details
3. Results and Discussion
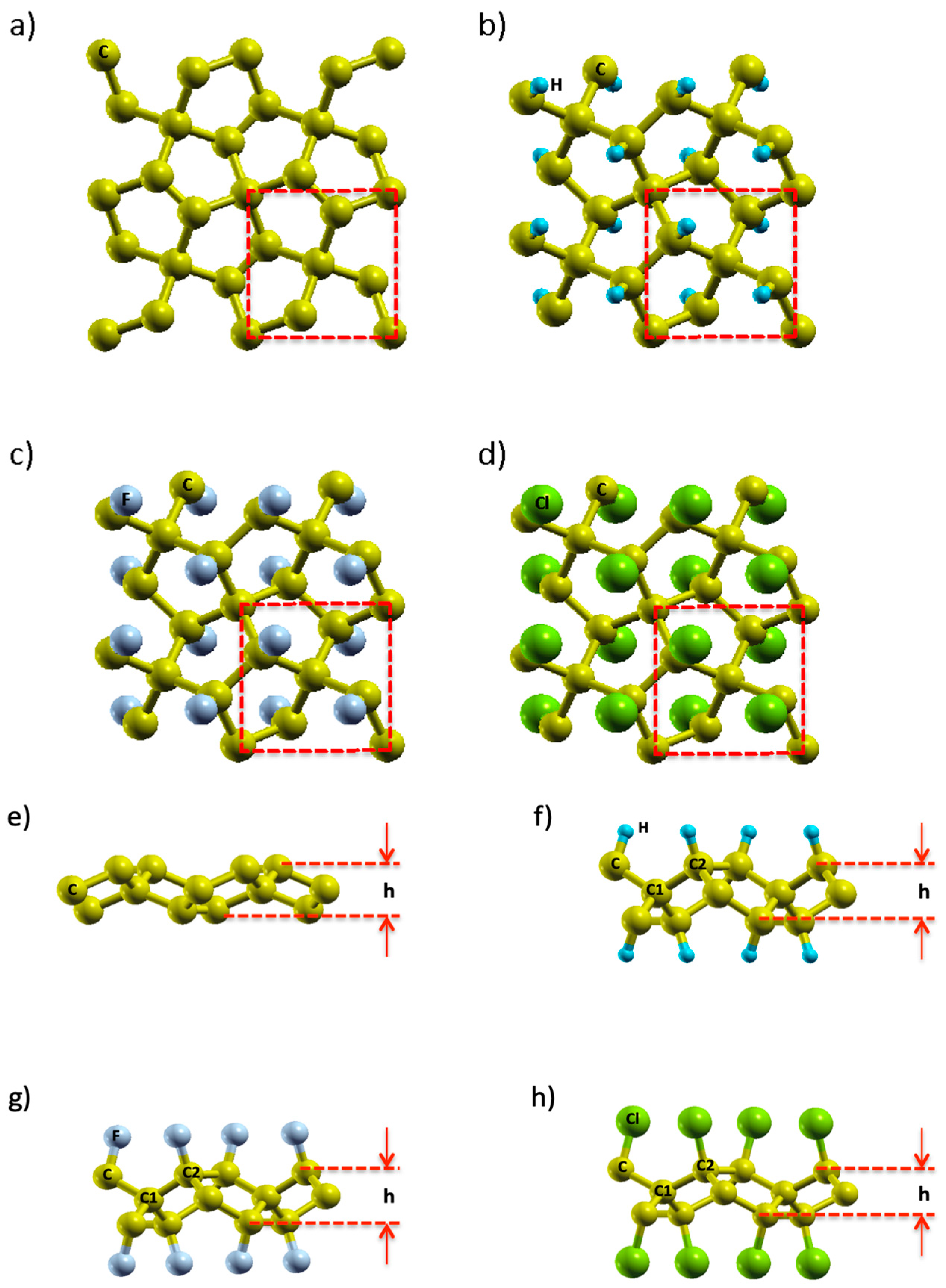
3.1. Optimized Structures
3.2. Electronic Properties
3.3. Discussion
4. Conclusions
Author Contributions
Funding
Data Availability Statement
Acknowledgments
Conflicts of Interest
References
- Novoselov, K.S.; Geim, A.K.; Morozov, S.V.; Jiang, D.; Zhang, Y.; Dubonos, S.V.; Grigorieva, I.V.; Firsov, A.A. Electric Field Effect in Atomically Thin Carbon Films. Science 2004, 306, 666–669. [Google Scholar] [CrossRef]
- Geim, A.K. Status and Prospects. Science 2009, 324, 1530–1534. [Google Scholar] [CrossRef] [PubMed]
- Novoselov, K.S.; Geim, A.K.; Morozov, S.V.; Jiang, D.; Katsnelson, M.I.; Grigorieva, I.V.; Dubonos, S.V.; Firsov, A.A. Two-dimensional gas of massless Dirac fermions in graphene. Nature 2005, 438, 197–200. [Google Scholar] [CrossRef] [PubMed]
- Geim, A.K.; Novoselov, K.S. The rise of graphene. Nat. Mater. 2007, 6, 183–191. [Google Scholar] [CrossRef] [PubMed]
- Jin, Z.; Liao, Q.; Fang, H.; Liu, Z.; Liu, W.; Ding, Z.; Luo, T.; Yang, N. A Revisit to High Thermoelectric Performance of Single-layer MoS2. Sci. Rep. 2015, 5, 18342. [Google Scholar] [CrossRef] [PubMed]
- Fiori, G.; Bonaccorso, F.; Iannaccone, G.; Palacios, T.; Neumaier, D.; Seabaugh, A.; Banerjee, S.K.; Colombo, L. Electronics based on two-dimensional materials. Nat. Nanotechnol. 2014, 9, 768–779. [Google Scholar] [CrossRef]
- Furlan, A.; Gueorguiev, G.K.; Högberg, H.; Stafström, S.; Hultman, L. Fullerene-like CPx: A first-principles study of the relative stability of precursors and defect energetics during synthetic growth. Thin Solid Films 2006, 515, 1028–1032. [Google Scholar] [CrossRef]
- Sfuncia, G.; Nicotra, G.; Giannazzo, F.; Pécz, B.; Gueorguiev, G.K.; Kakanakova-Georgieva, A. 2D graphitic-like gallium nitride and other structural selectivity in confinement at the graphene/SiC interface. CrystEngComm 2023, 25, 5810–5817. [Google Scholar] [CrossRef]
- Bernardi, M.; Ataca, C.; Palummo, M.; Grossman, J.C. Optical and Electronic Properties of Two-Dimensional Layered Materials. Nanophotonics 2017, 6, 479–493. [Google Scholar] [CrossRef]
- Zhang, G.; Zhang, Y.W. Strain effects on thermoelectric properties of two-dimensional materials. Mech. Mater. 2015, 91, 382–398. [Google Scholar] [CrossRef]
- Singh, A.K.; Hennig, R.G. Computational prediction of two-dimensional group-IV mono-chalcogenides Computational prediction of two-dimensional group-IV mono-chalcogenides. Appl. Phys. Lett. 2014, 105, 042103. [Google Scholar] [CrossRef]
- Li, Z.Y.; Shaheer Akhtar, M.; Hee Kuk, J.; Kong, B.S.; Yang, O.B. Graphene application as a counter electrode material for dye-sensitized solar cell. Mater. Lett. 2012, 86, 96–99. [Google Scholar] [CrossRef]
- Larentis, S.; Fallahazad, B.; Tutuc, E. Field-effect transistors and intrinsic mobility in ultra-thin MoSe2 layers. Appl. Phys. Lett. 2012, 101, 223104. [Google Scholar] [CrossRef]
- Fang, H.; Chuang, S.; Chang, T.C.; Takei, K.; Takahashi, T.; Javey, A. High-performance single layered WSe2 p-FETs with chemically doped contacts. Nano Lett. 2012, 12, 3788–3792. [Google Scholar] [CrossRef] [PubMed]
- Liu, W.; Kang, J.; Sarkar, D.; Khatami, Y.; Jena, D.; Banerjee, K. Role of metal contacts in designing high-performance monolayer n-type WSe2 field effect transistors. Nano Lett. 2013, 13, 1983–1990. [Google Scholar] [CrossRef]
- Dichalcogenide, M.; Effect, F. Metal-Semiconductor Barrier Modulation for High Photoresponse in Transition. Sci. Rep. 2014, 4, 4041. [Google Scholar] [CrossRef]
- Tritsaris, G.A.; Malone, B.D.; Kaxiras, E. Optoelectronic properties of single-layer, double-layer, and bulk tin sulfide: A theoretical study. J. Appl. Phys. 2013, 113, 233507. [Google Scholar] [CrossRef]
- Lu, X.; Jin, X.; Sun, J. Advances of graphene application in electrode materials for lithium ion batteries. Sci. China Technol. Sci. 2015, 58, 1829–1840. [Google Scholar] [CrossRef]
- Wang, Q.H.; Kalantar-Zadeh, K.; Kis, A.; Coleman, J.N.; Strano, M.S. Electronics and optoelectronics of two-dimensional transition metal dichalcogenides. Nat. Nanotechnol. 2012, 7, 699–712. [Google Scholar] [CrossRef]
- Sun, H.; Mukherjee, S.; Singh, C.V. Mechanical properties of monolayer penta-graphene and phagraphene: A first-principles study. Phys. Chem. Chem. Phys. 2016, 18, 26736–26742. [Google Scholar] [CrossRef]
- Guo, S.-D.; Zhang, L. Biaxial strain tuned thermoelectric properties in monolayer PtSe2. J. Mater. Chem. C Mater. 2016, 4, 9366–9374. [Google Scholar] [CrossRef]
- Liu, Z.; Morales-Ferreiro, J.O.; Luo, T. First-principles study of thermoelectric properties of blue phosphorene. Appl. Phys. Lett. 2018, 113, 063903. [Google Scholar] [CrossRef]
- Zhang, S.; Zhou, J.; Wang, Q.; Chen, X.; Kawazoe, Y.; Jena, P. Penta-graphene: A new carbon allotrope. Proc. Natl. Acad. Sci. USA 2015, 112, 2372–2377. [Google Scholar] [CrossRef]
- Parr, R.G.; Yang, W. Density-Functional Theory of Atoms and Molecules; Oxford University Press, Inc.: New York, NY, USA, 1989. [Google Scholar]
- Perdew, J.P.; Levy, M. Physical content of the exact kohn-sham orbital energies: Band gaps and derivative discontinuities. Phys. Rev. Lett. 1983, 51, 1884–1887. [Google Scholar] [CrossRef]
- Kohn, W.; Sham, L.J. Self-Consisten Equations Including Exchange and Correlation Effects. Phys. Rev. 1965, 140, A1134–A1138. [Google Scholar] [CrossRef]
- Kresse, G.; Furthmüller, J. Efficiency of ab-initio total energy calculations for metals and semiconductors using a plane-wave basis set. Comput. Mater. Sci. 1996, 6, 15–50. [Google Scholar] [CrossRef]
- Heyd, J.; Peralta, J.E.; Scuseria, G.E.; Martin, R.L. Energy band gaps and lattice parameters evaluated with the Heyd-Scuseria-Ernzerhof screened hybrid functional. J. Chem. Phys. 2005, 123, 174101. [Google Scholar] [CrossRef]
- Heyd, J.; Scuseria, G.E. Efficient hybrid density functional calculations in solids: Assessment of the Heyd-Scuseria-Ernzerhof screened Coulomb hybrid functional. J. Chem. Phys. 2004, 121, 1187–1192. [Google Scholar] [CrossRef] [PubMed]
- Heyd, J.; Scuseria, G.E.; Ernzerhof, M. Hybrid functionals based on a screened Coulomb potential. J. Chem. Phys. 2003, 118, 8207–8215. [Google Scholar] [CrossRef]
- Brothers, E.N.; Izmaylov, A.F.; Normand, J.O.; Barone, V.; Scuseria, G.E. Accurate solid-state band gaps via screened hybrid electronic structure calculations. J. Chem. Phys. 2008, 129, 011102. [Google Scholar] [CrossRef]
- Quijano-Briones, J.J.; Fernández-Escamilla, H.N.; Tlahuice-Flores, A. Doped penta-graphene and hydrogenation of its related structures: A structural and electronic DFT-D study. Phys. Chem. Chem. Phys. 2016, 18, 15505–15509. [Google Scholar] [CrossRef] [PubMed]
- Stauber, T.; Beltrán, J.I.; Schliemann, J. Tight-binding approach to penta-graphene. Sci. Rep. 2016, 6, 22672. [Google Scholar] [CrossRef] [PubMed]
- Einollahzadeh, H.; Dariani, R.S.; Fazeli, S.M. Studying the electronic and phononic structure of new graphene allotrope: Penta-graphane. Sci. Technol. Adv. Mater. 2015, 17, 1–12. [Google Scholar]
- Einollahzadeh, H.; Dariani, R.S.; Fazeli, S.M. Computing the band structure and energy gap of penta-graphene by using DFT and G0W0 approximations. Solid State Commun. 2016, 229, 1–10. [Google Scholar] [CrossRef]
- Wu, X.; Varshney, V.; Lee, J.; Zhang, T.; Wohlwend, J.L.; Roy, A.K.; Luo, T. Hydrogenation of penta-graphene leads to unexpected large improvement in thermal conductivity. Nano Lett. 2016, 16, 3925–3935. [Google Scholar] [CrossRef]
- Li, X.; Zhang, S.; Wang, F.Q.; Guo, Y.; Liu, J.; Wang, Q. Tuning the electronic and mechanical properties of penta-graphene via hydrogenation and fluorination. Phys. Chem. Chem. Phys. 2016, 18, 14191–14197. [Google Scholar] [CrossRef]
- Berdiyorov, G.R.; Dixit, G.; Madjet, M.E. Band gap engineering in penta-graphene by substitutional doping: First-principles calculations. J. Phys. Condens. Matter. 2016, 28, 475001. [Google Scholar] [CrossRef]
- Nigar, S.; Zhou, Z.; Wang, H.; Imtiaz, M. Modulating the electronic and magnetic properties of graphene. RSC Adv. 2017, 7, 51546–51580. [Google Scholar] [CrossRef]
- Şahin, H.; Ciraci, S. Chlorine adsorption on graphene: Chlorographene. J. Phys. Chem. C 2012, 116, 24075–24083. [Google Scholar] [CrossRef]
- Naguib, M.; Gogotsi, Y. Synthesis of two-dimensional materials by selective extraction. Acc. Chem. Res. 2015, 48, 128–135. [Google Scholar] [CrossRef]
- Wang, H.; Maiyalagan, T.; Wang, X. Review on recent progress in nitrogen-doped graphene: Synthesis, characterization, and its potential applications. ACS Catal. 2012, 2, 781–794. [Google Scholar] [CrossRef]
- Garrido, M.; Naranjo, A.; Pérez, E.M. Characterization of emerging 2D materials after chemical functionalization. Chem. Sci. 2024, 15, 3428–3445. [Google Scholar] [CrossRef] [PubMed]
- Xu, W.; Zhang, G.; Li, B. Thermal conductivity of penta-graphene from molecular dynamics study. J. Chem. Phys. 2015, 143, 154703. [Google Scholar] [CrossRef]




| Computational Details | |
|---|---|
| Software | VASP (Version: VASP.6.4.0) |
| Exchange-correlation functional | GGA-PBE |
| Pseudopotentials | Projector augmented wave (PAW)-PBE |
| Smearing | Gaussian smearing |
| C-valence configuration | 2s22p2, 4 electron valence number, 147.1560 eV |
| H-valence configuration | 1s1, 1 electron valence number, 12.4884 eV |
| F-valence configuration | 2s22p5, 7 electron valence number, 659.4942 eV |
| Cl-valence configuration | 3s23p5, 12 electron valence number, 409.7259 eV |
| Plane wave basis set cut-off energy | 500 eV |
| Vacuum space in the z-direction | 15 Å |
| -point mesh | 8 × 8 × 1 Monkhorst–Pack |
| Electronic band calculation | 25 × 25 × 1 |
| Compound | Literature Values | Our Optimized Values | ||
|---|---|---|---|---|
| Parameters (Å) | Parameters (Å) | |||
| PG | a | 3.64 | a | 3.63 |
| h-PG | a | 3.4897 | a | 3.50 |
| f-PG | a | 3.4897 | a | 3.55 |
| Cl-PG | a | 3.4897 | a | 3.88 |
| Parameters | Our Optimized Parameters | |||
|---|---|---|---|---|
| PG | h-PG | f-PG | Cl-PG | |
| d (C–C) (Å) | 1.549 | 1.098 | 1.357 | 1.581 |
| d (C1–C2) (Å) | — | 1.551 | 1.561 | 1.668 |
| d (C2–C2) (Å) | — | 1.55 | 1.559 | 1.663 |
| — | 105.9° | 107.2° | 114.6° | |
| — | 116.9° | 119.5° | 129.7° | |
| (Å) | 1.21 | 1.62 | 1.61 | 1.55 |
| Bandgap (HSE06) (eV) | 3.05 | 4.97 | 4.81 | — |
Disclaimer/Publisher’s Note: The statements, opinions and data contained in all publications are solely those of the individual author(s) and contributor(s) and not of MDPI and/or the editor(s). MDPI and/or the editor(s) disclaim responsibility for any injury to people or property resulting from any ideas, methods, instructions or products referred to in the content. |
© 2024 by the authors. Licensee MDPI, Basel, Switzerland. This article is an open access article distributed under the terms and conditions of the Creative Commons Attribution (CC BY) license (https://creativecommons.org/licenses/by/4.0/).
Share and Cite
Morales-Ferreiro, J.O.; Silva-Oelker, G.; Kumar, C.; Zambra, C.; Liu, Z.; Diaz-Droguett, D.E.; Celentano, D. Tuning the Electronic Bandgap of Penta-Graphene from Insulator to Metal Through Functionalization: A First-Principles Calculation. Nanomaterials 2024, 14, 1751. https://doi.org/10.3390/nano14211751
Morales-Ferreiro JO, Silva-Oelker G, Kumar C, Zambra C, Liu Z, Diaz-Droguett DE, Celentano D. Tuning the Electronic Bandgap of Penta-Graphene from Insulator to Metal Through Functionalization: A First-Principles Calculation. Nanomaterials. 2024; 14(21):1751. https://doi.org/10.3390/nano14211751
Chicago/Turabian StyleMorales-Ferreiro, J. O., Gerardo Silva-Oelker, Chandra Kumar, Carlos Zambra, Zeyu Liu, Donovan E. Diaz-Droguett, and Diego Celentano. 2024. "Tuning the Electronic Bandgap of Penta-Graphene from Insulator to Metal Through Functionalization: A First-Principles Calculation" Nanomaterials 14, no. 21: 1751. https://doi.org/10.3390/nano14211751
APA StyleMorales-Ferreiro, J. O., Silva-Oelker, G., Kumar, C., Zambra, C., Liu, Z., Diaz-Droguett, D. E., & Celentano, D. (2024). Tuning the Electronic Bandgap of Penta-Graphene from Insulator to Metal Through Functionalization: A First-Principles Calculation. Nanomaterials, 14(21), 1751. https://doi.org/10.3390/nano14211751

