Mixing Rules for Left-Handed Disordered Metamaterials: Effective-Medium and Dispersion Properties
Abstract
1. Introduction
2. Mixing Rules for the Electric Permittivity
2.1. The Maxwell Garnett Mixing Rule
2.2. The Bruggeman Mixing Rule
3. Mixing Rules for the Electric Conductivity
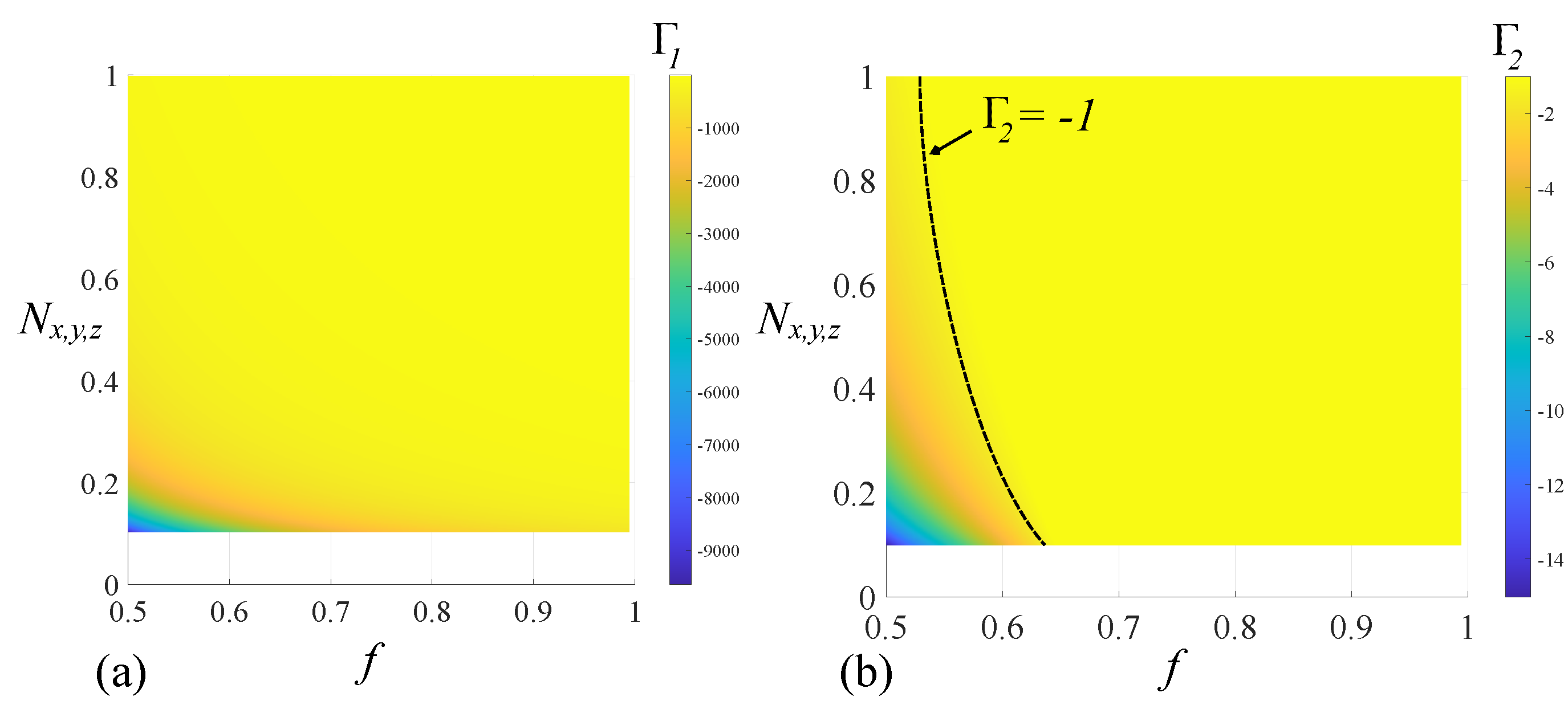
4. Dispersion Properties
Zero-Order Dispersion
5. Conclusions
Author Contributions
Funding
Data Availability Statement
Conflicts of Interest
References
- Maxwell Garnett, J.C. Colours in metallic glasses, metallic films, and in metallic solution. Philos. Trans. A 1905, 205, 385–420. [Google Scholar]
- Markel, V.A. Introduction to the maxwell garnett approximation: Tutorial. J. Opt. Soc. Am. A 2016, 33, 1244–1255. [Google Scholar] [CrossRef]
- Bruggeman, D.A.G. Berechnung verschiedener physikalischer konstanten von heterogenen substanzen. i. dielektrizitätskonstanten und leitfähigkeiten der mischkörper aus isotropen substanzen. Ann. Phys. 1935, 416, 636–664. [Google Scholar] [CrossRef]
- Polder, D.; van Santen, J.H. The effective permeability of mixtures of solids. Physica 1946, 7, 257–271. [Google Scholar] [CrossRef]
- Wu, Y.; Zhao, X.; Li, F.; Fan, Z. Evaluation of mixing rules for dielectric constants of composite dielectrics by mc-fem calculation on 3d cubic lattice. J. Electroceramics 2003, 11, 227–239. [Google Scholar] [CrossRef]
- Manaila-Maximean, D. Effective permittivity of a multi-phase system: Nanoparticle-doped polymer-dispersed liquid crystal films. Molecules 2021, 26, 1441. [Google Scholar] [CrossRef]
- Ganea, C.P.; Cîrcu, V.; Manaila-Maximean, D. Effect of titanium oxide nanoparticles on the dielectric properties and ionic conductivity of a new smectic bis-imidazolium salt with dodecyl sulfate anion and cyanobiphenyl mesogenic groups. J. Mol. Liq. 2020, 317, 113939. [Google Scholar] [CrossRef]
- Kristensson, G.; Rikte, S.; Sihvola, A. Mixing formulas in time domain. J. Opt. Soc. Am. A 1998, 15, 1411–1422. [Google Scholar] [CrossRef]
- Wu, K.; Li, J.; von Salzen, K.; Zhang, F. Explicit solutions to the mixing rules with three-component inclusions. J. Quant. Spectrosc. Radiat. Transf. 2018, 207, 78–82. [Google Scholar] [CrossRef]
- Sihvola, A. Mixing rules with complex dielectric coefficients. Subsurf. Sens. Technol. Appl. 2000, 1, 393–415. [Google Scholar] [CrossRef]
- Gomez-Diaz, J.S.; Tymchenko, M.; Alù, A. Hyperbolic plasmons and topological transitions over uniaxial metasurfaces. Phys. Rev. Lett. 2015, 114, 233901. [Google Scholar] [CrossRef]
- Hu, G.; Krasnok, A.; Mazor, Y.; Qiu, C.; Alù, A. Moiré hyperbolic metasurfaces. Nano Lett. 2020, 20, 3217–3224. [Google Scholar] [CrossRef] [PubMed]
- Yu, N.; Capasso, F. Flat optics with designer metasurfaces. Nat. Mater. 2014, 13, 139–150. [Google Scholar] [CrossRef]
- Leonhardt, U. Optical conformal mapping. Science 2006, 312, 1777–1780. [Google Scholar] [CrossRef]
- Schurig, D.; Mock, J.J.; Justice, B.J.; Cummer, S.A.; Pendry, J.B.; Starr, A.F.; Smith, D.R. Metamaterial electromagnetic cloak at microwave frequencies. Science 2006, 314, 977–980. [Google Scholar] [CrossRef]
- Alù, A.; Silveirinha, M.G.; Salandrino, A.; Engheta, N. Epsilon-near-zero metamaterials and electromagnetic sources: Tailoring the radiation phase pattern. Phys. Rev. B 2007, 75, 155410. [Google Scholar] [CrossRef]
- Wang, B.-X.; Duan, G.; Lv, W.; Tao, Y.; Xiong, H.; Zhang, D.-Q.; Yang, G.; Shu, F.-Z. Design and experimental realization of triple-band electromagnetically induced transparency terahertz metamaterials employing two big-bright modes for sensing applications. Nanoscale 2023, 15, 18345–18446. [Google Scholar] [CrossRef]
- Nookala, N.; Lee, J.; Tymchenko, M.; Gomez-Diaz, J.S.; Demmerle, F.; Boehm, G.; Lai, K.; Shvets, G.; Amann, M.; Alu, A.; et al. Ultrathin gradient nonlinear metasurface with a giant nonlinear response. Optica 2016, 3, 283–288. [Google Scholar] [CrossRef]
- Munk, B.A. Frequency Selective Surfaces: Theory and Design; Wiley: New York, NY, USA, 2000. [Google Scholar]
- Neshev, D.; Aharonovich, I. Optical metasurfaces: New generation building blocks for multi-functional optics. Light Sci. Appl. 2018, 7, 58. [Google Scholar] [CrossRef]
- Engleberg, J.; Levy, U. The advantages of metalenses over diffractive lenses. Nat. Commun. 1991, 11, 2000. [Google Scholar] [CrossRef]
- Papakostas, A.; Potts, A.; Bagnall, D.M.; Prosvirnin, S.L.; Coles, H.J.; Zheludev, N.I. Optical manifestations of planar chirality. Phys. Rev. Lett. 2003, 90, 107404. [Google Scholar] [CrossRef]
- Overvig, A.; Alù, A. Diffractive nonlocal metasurfaces. Laser Photon. Rev. 2022, 16, 2100633. [Google Scholar] [CrossRef]
- Wang, S.; Deng, Z.L.; Wang, Y.; Zhou, Q.; Wang, X.; Cao, Y.; Guan, B.O.; Xiao, S.; Li, X. Arbitrart polarization conversion dichroism metasurfaces for all-in-one full poincaré sphere polarizers. Light Sci. Appl. 2021, 10, 24. [Google Scholar] [CrossRef]
- Tanaka, K.; Arslan, D.; Fasold, S.; Steinert, M.; Sautter, J.; Falkner, M.; Pertsch, T.; Decker, M.; Staude, I. Chiral bilayer all-dielectric metasurfaces. ACS Nano 2020, 14, 15926–15935. [Google Scholar] [CrossRef] [PubMed]
- Kim, Y.; Kim, H.; Yang, Y.; Badloe, T.; Jeon, N.; Rho, J. Three-dimensional artificial chirality towards low-cost and ultra-sensitive enantioselective sensing. Nanoscale 2022, 14, 3720–3730. [Google Scholar] [CrossRef]
- Wang, S.; Wang, X.; Kan, Q.; Ye, J.; Feng, S.; Sun, W.; Han, P.; Qu, S.; Zhang, Y. Spin-selected focusing and imaging based on metasurface lens. Opt. Express 2015, 23, 26434–26441. [Google Scholar] [CrossRef]
- Basiri, A.; Chen, X.; Bai, J.; Amrollahi, P.; Carpenter, J.; Holman, Z.; Wang, C.; Yao, Y. Nature-inspired chiral metasurfaces for circular polarization detection and full-stokes polarimetric measurements. Light Sci. Appl. 2019, 8, 78. [Google Scholar] [CrossRef]
- Chen, K.; Ding, G.; Hu, G.; Jin, Z.; Zhao, J.; Feng, Y.; Jiang, T.; Alù, A.; Qiu, C.W. Directional janus metasurface. Adv. Mater. 2019, 32, 1906352. [Google Scholar] [CrossRef]
- Yu, S.; Qiu, C.W.; Chong, Y.; Torquato, S.; Park, N. Engineered disorder in photonics. Nat. Rev. 2021, 6, 226–243. [Google Scholar] [CrossRef]
- Hu, Z.; Liu, C.; Li, G. Disordered optical metasurfaces: From light manipulation to energy harvesting. Adv. Phys. X 2023, 8, 2234136. [Google Scholar] [CrossRef]
- Zaiser, M.; Zapperi, S. Disordered mechanical metamaterials. Nat. Rev. Phys. 2023, 5, 679–688. [Google Scholar] [CrossRef]
- Landon, P.B.; Mo, A.H.; Printz, A.D.; Emerson, C.; Zhang, C.; Janetanakit, W.; Colburn, D.A.; Akkiraju, S.; Dossou, S.; Chong, B.; et al. Asymmetric colloidal janus particle formation is core-size-dependent. Langmuir 2015, 31, 9148–9154. [Google Scholar] [CrossRef] [PubMed]
- Conradi, M.; Ravnik, M.; Bele, M.; Zorko, M.; Zumer, S.; Musevic, I. Janus nematic colloids. Soft Matter 2009, 5, 3905–3912. [Google Scholar] [CrossRef]
- Sahu, D.K.; Dhara, S. Measuring electric-field-induced dipole moments of metal-dielectric janus particles in a nematic liquid crystal. Phys. Rev. Appl. 2020, 14, 034004. [Google Scholar] [CrossRef]
- Braun, L.B.; Zentel, R. Functional liquid crystalline particles and beyond. Liq. Cryst. 2019, 46, 13–14. [Google Scholar] [CrossRef]
- Yasuda, H.; Matsuno, R.; Koito, N.; Hosoda, H.; Tani, T.; Naya, M. Anti-reflective coating for visible light using a silver nanodisc metasurface with a refractive index of less than 1.0. Appl. Phys. Lett. 2017, 111, 231105. [Google Scholar] [CrossRef]
- Yu, P.; Li, J.; Zhang, S.; Jin, Z.; Schütz, G.; Qiu, C.-W. Dynamic janus metasurfaces in the visible spectral region. Nano Lett. 2018, 18, 4584–4589. [Google Scholar] [CrossRef]
- Fuh, A.Y.G.; Lee, W.; Huang, Y.C. Derivation of extended maxwell garnett formula for carbon-nanotube-doped nematic liquid crystal. Liq. Cryst. 2013, 40, 745–755. [Google Scholar] [CrossRef]
- Sihvola, A. Metamaterials and depolarization factors. Prog. Electromagn. Res. 2005, 51, 65–82. [Google Scholar] [CrossRef][Green Version]
- McLachalan, D.S.; Blaszkiewicz, M.; Newnham, R.E. Electrical resistivity of composites. J. Am. Cream. Soc. 1990, 73, 2187–2203. [Google Scholar] [CrossRef]






Disclaimer/Publisher’s Note: The statements, opinions and data contained in all publications are solely those of the individual author(s) and contributor(s) and not of MDPI and/or the editor(s). MDPI and/or the editor(s) disclaim responsibility for any injury to people or property resulting from any ideas, methods, instructions or products referred to in the content. |
© 2024 by the authors. Licensee MDPI, Basel, Switzerland. This article is an open access article distributed under the terms and conditions of the Creative Commons Attribution (CC BY) license (https://creativecommons.org/licenses/by/4.0/).
Share and Cite
Bărar, A.; Maclean, S.A.; Gross, B.M.; Mănăilă-Maximean, D.; Dănilă, O. Mixing Rules for Left-Handed Disordered Metamaterials: Effective-Medium and Dispersion Properties. Nanomaterials 2024, 14, 1056. https://doi.org/10.3390/nano14121056
Bărar A, Maclean SA, Gross BM, Mănăilă-Maximean D, Dănilă O. Mixing Rules for Left-Handed Disordered Metamaterials: Effective-Medium and Dispersion Properties. Nanomaterials. 2024; 14(12):1056. https://doi.org/10.3390/nano14121056
Chicago/Turabian StyleBărar, Ana, Stephen A. Maclean, Barry M. Gross, Doina Mănăilă-Maximean, and Octavian Dănilă. 2024. "Mixing Rules for Left-Handed Disordered Metamaterials: Effective-Medium and Dispersion Properties" Nanomaterials 14, no. 12: 1056. https://doi.org/10.3390/nano14121056
APA StyleBărar, A., Maclean, S. A., Gross, B. M., Mănăilă-Maximean, D., & Dănilă, O. (2024). Mixing Rules for Left-Handed Disordered Metamaterials: Effective-Medium and Dispersion Properties. Nanomaterials, 14(12), 1056. https://doi.org/10.3390/nano14121056

