Low-Polarization, Broad-Spectrum Semiconductor Optical Amplifiers
Abstract
1. Introduction
2. Results and Discussion
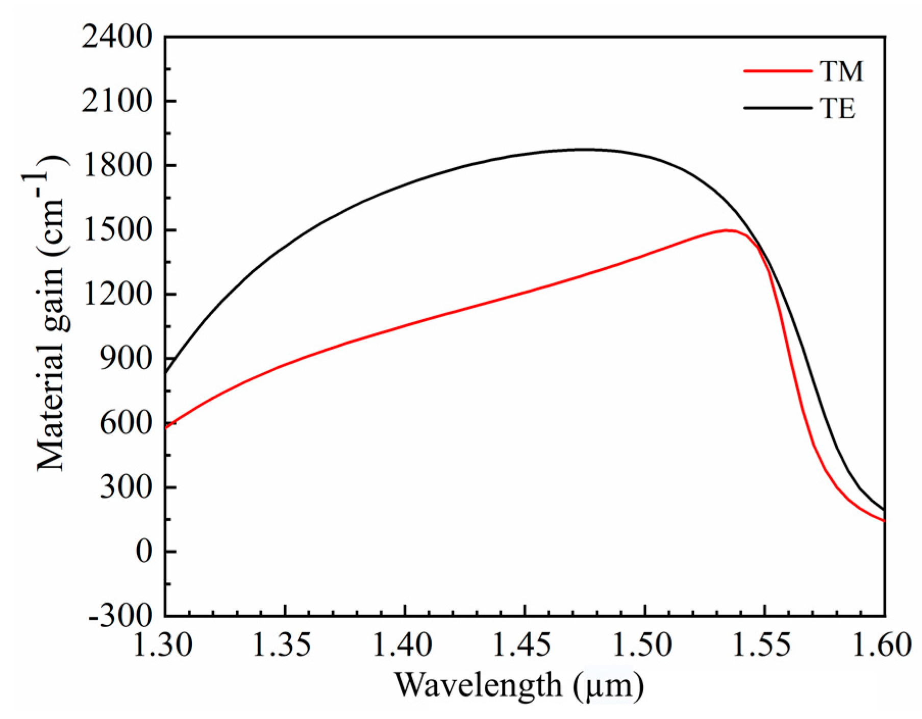
2.1. Simulation and Design of the SOA Structure
2.2. Device Preparation and Testing
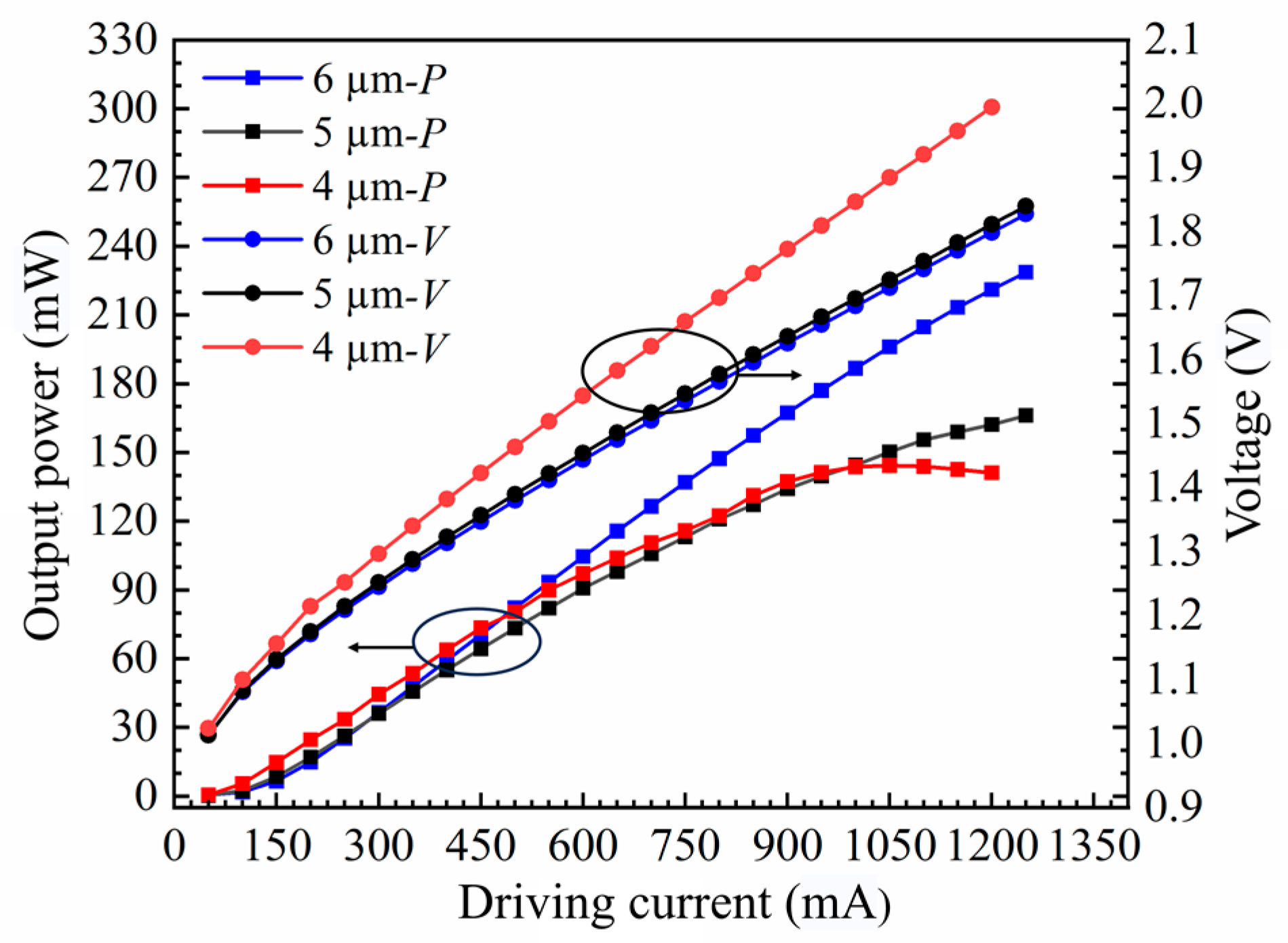
2.2.1. Saturated Output Power
2.2.2. Small-Signal Gain
3. Conclusions
Author Contributions
Funding
Data Availability Statement
Conflicts of Interest
References
- Moges, T.H.; Lakew, D.S.; Nguyen, N.P.; Dao, N.-N.; Cho, S. Cellular Internet of Things: Use cases, technologies, and future work. Internet Things 2023, 24, 100910. [Google Scholar] [CrossRef]
- Pham, Q.-V.; Fang, F.; Ha, V.N.; Piran, M.J.; Le, M.; Le, L.B.; Hwang, W.-J.; Ding, Z. A survey of multi-access edge computing in 5G and beyond: Fundamentals, technology integration, and state-of-the-art. IEEE Access 2020, 8, 116974–117017. [Google Scholar] [CrossRef]
- Ji, Y.; Zhang, J.; Xiao, Y.; Liu, Z. 5G flexible optical transport networks with large-capacity, low-latency and high-efficiency. China Commun. 2019, 16, 19–32. [Google Scholar] [CrossRef]
- Wang, Z.; Du, Y.; Wei, K.; Han, K.; Xu, X.; Wei, G.; Tong, W.; Zhu, P.; Ma, J.; Wang, J. Vision, application scenarios, and key technology trends for 6G mobile communications. Sci. China Inf. Sci. 2022, 65, 151301. [Google Scholar] [CrossRef]
- Petkova, R.; Bozhilov, I.; Manolova, A.; Tonchev, K.; Poulkov, V. On the Way to Holographic-Type Communications: Perspectives and Enabling Technologies. IEEE Access 2024, 12, 59236–59259. [Google Scholar] [CrossRef]
- Yu, J.; Wu, Y. High-speed optical fiber communication in China. ACS Photonics 2022, 10, 2128–2148. [Google Scholar] [CrossRef]
- Kikuchi, K. Fundamentals of coherent optical fiber communications. J. Light. Technol. 2015, 34, 157–179. [Google Scholar] [CrossRef]
- Winzer, P.J.; Neilson, D.T.; Chraplyvy, A.R. Fiber-optic transmission and networking: The previous 20 and the next 20 years. Opt. Express 2018, 26, 24190–24239. [Google Scholar] [CrossRef]
- Sobhanan, A.; Anthur, A.; O’Duill, S.; Pelusi, M.; Namiki, S.; Barry, L.; Venkitesh, D.; Agrawal, G.P. Semiconductor optical amplifiers: Recent advances and applications. Adv. Opt. Photonics 2022, 14, 571–651. [Google Scholar] [CrossRef]
- Pham, C.; Duport, F.; Brenot, R.; Paret, J.-F.; Garreau, A.; Gomez, C.; Fortin, C.; Mekhazni, K.; van Dijk, F. Modulation of a high power semiconductor optical amplifier for free space communications. J. Light. Technol. 2020, 38, 1836–1843. [Google Scholar] [CrossRef]
- El-Hageen, H.M.; Alatwi, A.M.; Zaki Rashed, A.N. High-speed signal processing and wide band optical semiconductor amplifier in the optical communication systems. J. Opt. Commun. 2024, 44, s1277–s1284. [Google Scholar] [CrossRef]
- Renaudier, J.; Napoli, A.; Ionescu, M.; Calo, C.; Fiol, G.; Mikhailov, V.; Forysiak, W.; Fontaine, N.; Poletti, F.; Poggiolini, P. Devices and fibers for ultrawideband optical communications. Proc. IEEE 2022, 110, 1742–1759. [Google Scholar] [CrossRef]
- Wang, B. A research on all-optical wavelength conversion technology based on SOA. In Proceedings of the 2021 11th International Conference on Power, Energy and Electrical Engineering (CPEEE), Shiga, Japan, 26–28 February 2021; pp. 76–81. [Google Scholar]
- Rasoulzadehzali, A.; Kleijn, S.; Augustin, L.M.; Stabile, R.; Calabretta, N. Low Polarization Sensitive Semiconductor Optical Amplifier Co-Integrated with Passive Waveguides for Optical Datacom and Telecom Networks. In Proceedings of the 22nd European Conference on Integrated Optics (ECIO 2020), Paris, France, 23–25 June 2020. [Google Scholar]
- Ma, W.; Tan, S.; Wang, K.; Guo, W.; Liu, Y.; Liao, L.; Zhou, L.; Zhou, J.; Li, X.; Liang, L. Practical two-dimensional beam steering system using an integrated tunable laser and an optical phased array. Appl. Opt. 2020, 59, 9985–9994. [Google Scholar] [CrossRef] [PubMed]
- Blumenthal, D.J. Optical packet switching. In Proceedings of the 17th Annual Meeting of the IEEELasers and Electro-Optics Society, LEOS 2004, Rio Grande, PR, USA, 11 November 2004; pp. 910–912. [Google Scholar]
- Ó Dúill, S.P.; Landais, P.; Barry, L.P. Estimation of the performance improvement of pre-amplified PAM4 systems when using multi-section semiconductor optical amplifiers. Appl. Sci. 2017, 7, 908. [Google Scholar] [CrossRef]
- Zali, A.R.; Kleijn, S.; Augustin, L.; Tessema, N.M.; Prifti, K.; Stabile, R.; Calabretta, N. Design and fabrication of low polarization dependent bulk SOA co-integrated with passive waveguides for optical network systems. J. Light. Technol. 2022, 40, 1083–1091. [Google Scholar] [CrossRef]
- Zali, A.R.; Stabile, R.; Calabretta, N. Low polarization dependent MQW semiconductor optical amplifier with tensile-strained-barrier design for optical datacom and telecom networks. In Proceedings of the 2020 22nd International Conference on Transparent Optical Networks (ICTON), Bari, Italy, 19–23 July 2020; pp. 1–4. [Google Scholar]
- Forsyth, D.I.; Mahad, F.D. Semiconductor optical amplifiers: Present and future applications. In Recent Developments in Optical Communication and Networking; UTM Press: Skudai, Malaysia, 2020. [Google Scholar]
- Keyvaninia, S.; Beckerwerth, T.; Zhou, G.; Gruner, M.; Ganzer, F.; Ebert, W.; Mutschall, S.; Seeger, A.; Runge, P.; Schell, M. Novel photodetector chip for polarization diverse detection. J. Light. Technol. 2019, 37, 3972–3978. [Google Scholar] [CrossRef]
- Ostadrahimi, M.; Zakaria, A.; LoVetri, J.; Shafai, L. A near-field dual polarized (TE–TM) microwave imaging system. IEEE Trans. Microw. Theory Tech. 2013, 61, 1376–1384. [Google Scholar] [CrossRef]
- Walker, J.D.; Dijaili, S.P.; Ratowsky, R.P. Polarization Insensitive Semiconductor Optical Amplifier. U.S. Patent 6,549,331 B2, 15 April 2003. [Google Scholar]
- Aalto, T.; Solehmainen, K.; Harjanne, M.; Kapulainen, M.; Heimala, P. Low-loss converters between optical silicon waveguides of different sizes and types. IEEE Photonics Technol. Lett. 2006, 18, 709–711. [Google Scholar] [CrossRef]
- Knights, A.P.; Jessop, P.E. Silicon waveguides for integrated optics. In Optical Waveguides; CRC Press: Boca Raton, FL, USA, 2018; pp. 231–270. [Google Scholar]
- Morito, K.; Ekawa, M.; Watanabe, T.; Kotaki, Y. High-output-power polarization-insensitive semiconductor optical amplifier. J. Light. Technol. 2003, 21, 176. [Google Scholar] [CrossRef]
- Michie, C.; Kelly, A.; McGeough, J.; Armstrong, I.; Andonovic, I.; Tombling, C. Polarization-insensitive SOAs using strained bulk active regions. J. Light. Technol. 2006, 24, 3920–3927. [Google Scholar] [CrossRef]
- Nkanta, J.E.; Maldonado-Basilio, R.; Khan, K.; Benhsaien, A.; Abdul-Majid, S.; Zhang, J.; Hall, T.J. Low polarization-sensitive asymmetric multi-quantum well semiconductor amplifier for next-generation optical access networks. Opt. Lett. 2013, 38, 3165–3168. [Google Scholar] [CrossRef] [PubMed]
- Juodawlkis, P.W.; Plant, J.J.; Loh, W.; Missaggia, L.J.; O’Donnell, F.J.; Oakley, D.C.; Napoleone, A.; Klamkin, J.; Gopinath, J.T.; Ripin, D.J. High-power, low-noise 1.5-μm slab-coupled optical waveguide (SCOW) emitters: Physics, devices, and applications. IEEE J. Sel. Top. Quantum Electron. 2011, 17, 1698–1714. [Google Scholar] [CrossRef]
- Lysak, V.; Kawaguchi, H.; Sukhoivanov, I. Gain spectra and saturation power of asymmetrical multiple quantum well semiconductor optical amplifiers. IEE Proc.-Optoelectron. 2005, 152, 131–139. [Google Scholar] [CrossRef]
- Nkanta, J.E.; Maldonado-Basilio, R.; Abdul-Majid, S.; Zhang, J.; Hall, T.J. Asymmetric MQW semiconductor optical amplifier with low-polarization sensitivity of over 90-nm bandwidth. In Proceedings of the Broadband Access Communication Technologies VIII, San Francisco, CA, USA, 1–6 February 2014; pp. 43–50. [Google Scholar]
- Cheng, Q.; Rumley, S.; Bahadori, M.; Bergman, K. Photonic switching in high performance datacenters. Opt. Express 2018, 26, 16022–16043. [Google Scholar] [CrossRef] [PubMed]
- Besancon, C.; Néel, D.; Make, D.; Ramírez, J.M.; Cerulo, G.; Vaissiere, N.; Bitauld, D.; Pommereau, F.; Fournel, F.; Dupré, C. AlGaInAs multi-quantum well lasers on silicon-on-insulator photonic integrated circuits based on InP-seed-bonding and epitaxial regrowth. Appl. Sci. 2021, 12, 263. [Google Scholar] [CrossRef]
- Zhukov, A.; Kryzhanovskaya, N.; Moiseev, E.; Dragunova, A.; Nadtochiy, A.; Maximov, M.; Gordeev, N.Y. Increase in the Efficiency of a Tandem Semiconductor Laser–Optical Amplifier Based on Self-Organizing Quantum Dots. Semiconductors 2022, 56, 139–144. [Google Scholar] [CrossRef]
- Tang, H.; Yang, C.; Qin, L.; Liang, L.; Lei, Y.; Jia, P.; Chen, Y.; Wang, Y.; Song, Y.; Qiu, C. A Review of High-Power Semiconductor Optical Amplifiers in the 1550 nm Band. Sensors 2023, 23, 7326. [Google Scholar] [CrossRef] [PubMed]
- Agarwal, V.; Agrawal, M. Characterization and optimization of semiconductor optical amplifier for ultra high speed applications: A review. In Proceedings of the 2018 Conference on Signal Processing And Communication Engineering Systems (SPACES), Vijayawada, India, 4–5 January 2018; pp. 215–218. [Google Scholar]
- Yu, S.; Gallet, A.; Elfaiki, H.; Dahdah, N.E.; Brenot, R. Novel semiconductor optical amplifier with large gain and high saturation output power. In Proceedings of the 2021 European Conference on Optical Communication (ECOC), Bordeaux, France, 13–16 September 2021; pp. 1–3. [Google Scholar]
- Carrère, H.; Truong, V.; Marie, X.; Brenot, R.; De Valicourt, G.; Lelarge, F.; Amand, T. Large optical bandwidth and polarization insensitive semiconductor optical amplifiers using strained InGaAsP quantum wells. Appl. Phys. Lett. 2010, 97, 121101. [Google Scholar] [CrossRef]
- Chuang, S.L. Physics of Photonic Devices; John Wiley & Sons: Hoboken, NJ, USA, 2012. [Google Scholar]
- Li, X.; Liang, L.; Wang, L.J.; Qin, L.; Chen, Y.Y.; Wang, Y.B.; Song, Y.; Lei, Y.X.; Jia, P.; Zeng, Y.G. Monolithic integrated semiconductor optical amplifier with broad spectrum, high power, and small linewidth expansion. IEEE Access 2021, 9, 98863–98873. [Google Scholar] [CrossRef]
- Said, Y.; Rezig, H.; Bouallegue, A. Analysis of noise effects in long semiconductor optical amplifiers. Open Opt. J. 2008, 2, 61–66. [Google Scholar] [CrossRef]
- Huang, L.; Huang, D.; Chen, J.; Liu, D.; Zhang, X. Analysis of a semiconductor optical amplifier with polarization-insensitive gain and polarization-insensitive phase modulation. Semicond. Sci. Technol. 2006, 21, 1643. [Google Scholar] [CrossRef]
- Magari, K.; Okamoto, M.; Suzuki, Y.; Sato, K.; Noguchi, Y.; Mikami, O. Polarization-insensitive optical amplifier with tensile-strained-barrier MQW structure. IEEE J. Quantum Electron. 1994, 30, 695–702. [Google Scholar] [CrossRef]
- Yasuoka, N.; Ebe, H.; Kawaguchi, K.; Ekawa, M.; Sekiguchi, S.; Morito, K.; Wada, O.; Sugawara, M.; Arakawa, Y. Polarization-insensitive quantum dot semiconductor optical amplifiers using strain-controlled columnar quantum dots. J. Light. Technol. 2011, 30, 68–75. [Google Scholar] [CrossRef]
- Zhu, Z.; Li, X.; Xi, Y. A polarization insensitive semiconductor optical amplifier. IEEE Photonics Technol. Lett. 2016, 28, 1831–1834. [Google Scholar] [CrossRef]
- Eyal, O.; Willinger, A.; Mikhelashvili, V.; Banyoudeh, S.; Schnabel, F.; Sichkovsky, V.; Reithmaier, J.P.; Eisenstein, G. High Performance 1550 nm Quantum Dot Semiconductor Optical Amplifiers Operating at 25–100° C. In Proceedings of the 2018 Optical Fiber Communications Conference and Exposition (OFC), San Diego, CA, USA, 11–15 March 2018; pp. 1–3. [Google Scholar]
- Kaizu, T.; Kakutani, T.; Akahane, K.; Kita, T. Polarization-insensitive fiber-to-fiber gain of semiconductor optical amplifier using closely stacked InAs/GaAs quantum dots. Jpn. J. Appl. Phys. 2020, 59, 032002. [Google Scholar] [CrossRef]
- Zali, A.R.; Stabile, R.; Calabretta, N. Design and Analysis of Polarization Insensitive O-Band Bulk SOA for active-passive photonic circuits. In Proceedings of the CLEO: QELS_Fundamental Science, San Jose, CA, USA, 9–14 May 2021; p. JTh3A.9. [Google Scholar]
























| Publication Year | Research Unit | Gain | Saturation Output Power | Polarization-Dependent Gain | Gain Bandwidth |
|---|---|---|---|---|---|
| 1994 [43] | NTT Opto-electronics Laboratories | 27.5 dB | 14 dBm | <0.5 dB@13.5 dBm | / |
| 2011 [44] | Fujitsu Laboratories Ltd. | 8 dB | 18.5 dBm | 0.4 dB@10 dBm | ~30 nm |
| 2014 [31] | Photonics Technology Laboratory, Centre for Research in Photonics | 20 dB | 22 dBm | <0.5 dB@-20 dBm | 100 nm |
| 2016 [45] | Huazhong University of Science and Technology | 10.6 dB | Only −0.6 dBm was tested | <0.5 dB@-20 dBm | 60 nm |
| 2018 [46] | Technion-Israel Institute of Technology | 22 dB | 9.62 dBm | / | ~30 nm |
| 2020 [19] | Eindhoven University of Technology | 20 dB | 7.4 dBm | <3 dB | ~35 nm |
| 2020 [47] | Kobe University | ~30 dB | ~3 dBm | <1 dB@-33 dBm | >100 nm |
| 2021 [48] | Eindhoven University of Technology | 20 dB | 11 dBm | 1.5 dB@-20 dBm | ~40 nm |
| 2024 | This work | 32.89 dB | 23.38 dBm | <3 dB@-20 dBm | >140 nm |
Disclaimer/Publisher’s Note: The statements, opinions and data contained in all publications are solely those of the individual author(s) and contributor(s) and not of MDPI and/or the editor(s). MDPI and/or the editor(s) disclaim responsibility for any injury to people or property resulting from any ideas, methods, instructions or products referred to in the content. |
© 2024 by the authors. Licensee MDPI, Basel, Switzerland. This article is an open access article distributed under the terms and conditions of the Creative Commons Attribution (CC BY) license (https://creativecommons.org/licenses/by/4.0/).
Share and Cite
Zhang, M.; Zhang, T.; Tang, H.; Liang, L.; Chen, Y.; Qin, L.; Song, Y.; Lei, Y.; Jia, P.; Wang, Y.; et al. Low-Polarization, Broad-Spectrum Semiconductor Optical Amplifiers. Nanomaterials 2024, 14, 969. https://doi.org/10.3390/nano14110969
Zhang M, Zhang T, Tang H, Liang L, Chen Y, Qin L, Song Y, Lei Y, Jia P, Wang Y, et al. Low-Polarization, Broad-Spectrum Semiconductor Optical Amplifiers. Nanomaterials. 2024; 14(11):969. https://doi.org/10.3390/nano14110969
Chicago/Turabian StyleZhang, Meng, Tianyi Zhang, Hui Tang, Lei Liang, Yongyi Chen, Li Qin, Yue Song, Yuxin Lei, Peng Jia, Yubing Wang, and et al. 2024. "Low-Polarization, Broad-Spectrum Semiconductor Optical Amplifiers" Nanomaterials 14, no. 11: 969. https://doi.org/10.3390/nano14110969
APA StyleZhang, M., Zhang, T., Tang, H., Liang, L., Chen, Y., Qin, L., Song, Y., Lei, Y., Jia, P., Wang, Y., Qiu, C., Cao, Y., Ning, Y., & Wang, L. (2024). Low-Polarization, Broad-Spectrum Semiconductor Optical Amplifiers. Nanomaterials, 14(11), 969. https://doi.org/10.3390/nano14110969

