Observation of Linear Magnetoresistance in MoO2
Abstract
1. Introduction
2. Materials and Methods
2.1. Synthesis of MoO2 Sample
2.2. Materials Characterizations
2.3. Transport Measurements
3. Results and Discussion
3.1. XRD and SEM Analysis of MoO2 Samples
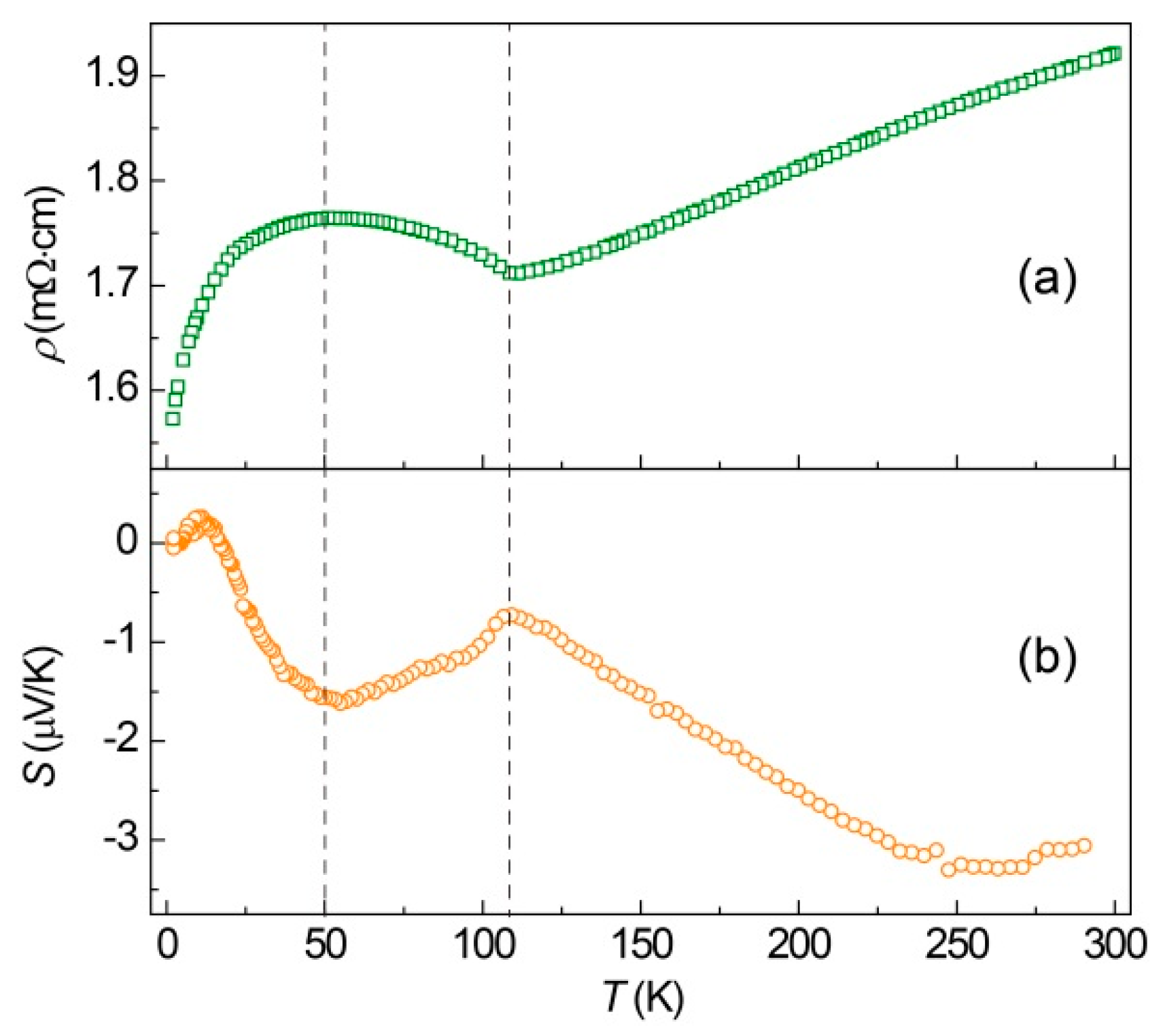
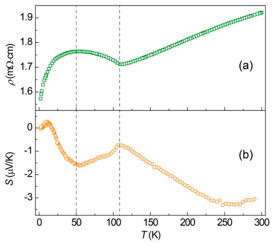
3.2. Magneto-Transport Properties of MoO2 Samples
4. Conclusions
Supplementary Materials
Author Contributions
Funding
Data Availability Statement
Conflicts of Interest
References
- Thomson, W. XIX. On the Electro-Dynamic Qualities of Metals:—Effects of Magnetization on the Electric Conductivity of Nickel and of Iron. Proc. R. Soc. Lond. 1997, 8, 546–550. [Google Scholar] [CrossRef]
- Kartik, V.; Sebastian, A.; Tuma, T.; Pantazi, A.; Pozidis, H.; Sahoo, D.R. High-Bandwidth Nanopositioner with Magnetoresistance Based Position Sensing. Mechatronics 2012, 22, 295–301. [Google Scholar] [CrossRef]
- Miyasaka, M.; Li, H.; Tay, K.V.; Phee, S.J. A Low-Cost, Point-of-Care Test for Confirmation of Nasogastric Tube Placement via Magnetic Field Tracking. Sensors 2021, 21, 4491. [Google Scholar] [CrossRef] [PubMed]
- Chappert, C.; Fert, A.; Van Dau, F.N. The Emergence of Spin Electronics in Data Storage. Nat. Mater. 2007, 6, 813–823. [Google Scholar] [CrossRef]
- Dowling, R.; Narkowicz, R.; Lenz, K.; Oelschlägel, A.; Lindner, J.; Kostylev, M. Resonance-Based Sensing of Magnetic Nanoparticles Using Microfluidic Devices with Ferromagnetic Antidot Nanostructures. Nanomaterials 2024, 14, 19. [Google Scholar] [CrossRef]
- Marchal, N.; da Câmara Santa Clara Gomes, T.; Abreu Araujo, F.; Piraux, L. Giant Magnetoresistance and Magneto-Thermopower in 3D Interconnected NixFe1−x/Cu Multilayered Nanowire Networks. Nanomaterials 2021, 11, 1133. [Google Scholar] [CrossRef] [PubMed]
- Hamia, R.; Cordier, C.; Dolabdjian, C. Eddy-Current Non-Destructive Testing System for the Determination of Crack Orientation. NDT E Int. 2014, 61, 24–28. [Google Scholar] [CrossRef]
- Krishna, V.D.; Wu, K.; Perez, A.M.; Wang, J.-P. Giant Magnetoresistance-Based Biosensor for Detection of Influenza A Virus. Front. Microbiol. 2016, 7, 400. [Google Scholar] [CrossRef]
- Rotundo, S.; Brizi, D.; Flori, A.; Giovannetti, G.; Menichetti, L.; Monorchio, A. Shaping and Focusing Magnetic Field in the Human Body: State-of-the Art and Promising Technologies. Sensors 2022, 22, 5132. [Google Scholar] [CrossRef]
- Abrikosov, A.A. Quantum Magnetoresistance. Phys. Rev. B 1998, 58, 2788–2794. [Google Scholar] [CrossRef]
- Jin, S.; Tiefel, T.H.; McCormack, M.; Fastnacht, R.A.; Ramesh, R.; Chen, L.H. Thousandfold Change in Resistivity in Magnetoresistive La-Ca-Mn-O Films. Science 1994, 264, 413–415. [Google Scholar] [CrossRef] [PubMed]
- Subramanian, M.A.; Toby, B.H.; Ramirez, A.P.; Marshall, W.J.; Sleight, A.W.; Kwei, G.H. Colossal Magnetoresistance Without Mn3+/Mn4+ Double Exchange in the Stoichiometric Pyrochlore Tl2Mn2O7. Science 1996, 273, 81–84. [Google Scholar] [CrossRef] [PubMed]
- Röder, H. Lattice Effects in the Colossal-Magnetoresistance Manganites. Phys. Rev. Lett. 1996, 76, 1356–1359. [Google Scholar] [CrossRef] [PubMed]
- Maksimovic, N.; Hayes, I.M.; Nagarajan, V.; Analytis, J.G.; Koshelev, A.E.; Singleton, J.; Lee, Y.; Schenkel, T. Magnetoresistance Scaling and the Origin of H-Linear Resistivity in BaFe2(As1-xPx)2. Phys. Rev. X 2020, 10, 041062. [Google Scholar] [CrossRef]
- Zhang, W.; Yu, R.; Feng, W.; Yao, Y.; Weng, H.; Dai, X.; Fang, Z. Topological Aspect and Quantum Magnetoresistance of Beta-Ag2Te. Phys. Rev. Lett. 2011, 106, 156808. [Google Scholar] [CrossRef] [PubMed]
- Datta, S. Electronic Transport in Mesoscopic Systems; Cambridge Studies in Semiconductor Physics and Microelectronic Engineering; Cambridge University Press: Cambridge, UK, 1995; ISBN 978-0-521-59943-6. [Google Scholar]
- Parish, M.M.; Littlewood, P.B. Non-Saturating Magnetoresistance in Heavily Disordered Semiconductors. Nature 2003, 426, 162–165. [Google Scholar] [CrossRef] [PubMed]
- Yang, F.Y.; Liu, K.; Hong, K.; Reich, D.H.; Searson, P.C.; Chien, C.L. Large Magnetoresistance of Electrodeposited Single-Crystal Bismuth Thin Films. Science 1999, 284, 1335–1337. [Google Scholar]
- Hu, J.; Rosenbaum, T.F. Classical and Quantum Routes to Linear Magnetoresistance. Nat. Mater. 2008, 7, 697–700. [Google Scholar] [CrossRef] [PubMed]
- Liang, T.; Gibson, Q.; Ali, M.N.; Liu, M.; Cava, R.J.; Ong, N.P. Ultrahigh Mobility and Giant Magnetoresistance in the Dirac Semimetal Cd3As2. Nat. Mater. 2015, 14, 280–284. [Google Scholar] [CrossRef]
- Shekhar, C.; Nayak, A.K.; Sun, Y.; Schmidt, M.; Nicklas, M.; Leermakers, I.; Zeitler, U.; Skourski, Y.; Wosnitza, J.; Liu, Z.; et al. Extremely Large Magnetoresistance and Ultrahigh Mobility in the Topological Weyl Semimetal Candidate NbP. Nat. Phys. 2015, 11, 645–649. [Google Scholar] [CrossRef]
- Tafti, F.F.; Gibson, Q.D.; Kushwaha, S.K.; Haldolaarachchige, N.; Cava, R.J. Resistivity Plateau and Extreme Magnetoresistance in LaSb. Nat. Phys. 2016, 12, 272–277. [Google Scholar] [CrossRef]
- Lv, Y.-Y.; Zhang, B.-B.; Li, X.; Yao, S.-H.; Chen, Y.B.; Zhou, J.; Zhang, S.-T.; Lu, M.-H.; Chen, Y.-F. Extremely Large and Significantly Anisotropic Magnetoresistance in ZrSiS Single Crystals. Appl. Phys. Lett. 2016, 108, 244101. [Google Scholar] [CrossRef]
- Ali, M.N.; Xiong, J.; Flynn, S.; Tao, J.; Gibson, Q.D.; Schoop, L.M.; Liang, T.; Haldolaarachchige, N.; Hirschberger, M.; Ong, N.P.; et al. Large, Non-Saturating Magnetoresistance in WTe2. Nature 2014, 514, 205–208. [Google Scholar] [CrossRef] [PubMed]
- Adhikari, R.; Adhikari, S.; Faina, B.; Terschanski, M.; Bork, S.; Leimhofer, C.; Cinchetti, M.; Bonanni, A. Positive Magnetoresistance and Chiral Anomaly in Exfoliated Type-II Weyl Semimetal Td-WTe2. Nanomaterials 2021, 11, 2755. [Google Scholar] [CrossRef] [PubMed]
- Yuan, Z.; Lu, H.; Liu, Y.; Wang, J.; Jia, S. Large Magnetoresistance in Compensated Semimetals TaAs2 and NbAs2. Phys. Rev. B 2016, 93, 184405. [Google Scholar] [CrossRef]
- Huynh, K.K.; Tanabe, Y.; Tanigaki, K. Both Electron and Hole Dirac Cone States in BaFeAs2 Confirmed by Magnetoresistance. Phys. Rev. Lett. 2011, 106, 217004. [Google Scholar] [CrossRef] [PubMed]
- Bhoi, D.; Mandal, P.; Choudhury, P.; Pandya, S.; Ganesan, V. Quantum Magnetoresistance of the PrFeAsO Oxypnictide. Appl. Phys. Lett. 2011, 98, 172105. [Google Scholar] [CrossRef]
- Naito, M.; Tanaka, S. Galvanomagnetic Effects in the Charge-Density-Wave State of 2H-NbSe2 and 2H-TaSe2. J. Phys. Soc. Jpn. 1982, 51, 228–236. [Google Scholar] [CrossRef]
- Zhou, L.; Wu, H.B.; Wang, Z.; Lou, X.W. Interconnected MoO2 Nanocrystals with Carbon Nanocoating as High-Capacity Anode Materials for Lithium-Ion Batteries. ACS Appl. Mater. Interfaces 2011, 3, 4853–4857. [Google Scholar] [CrossRef]
- Zhang, L.; Lin, H.; Zhai, L.; Nie, M.; Zhou, J.; Zhuo, S. Enhanced Supercapacitor Performance Based on 3D Porous Graphene with MoO2 Nanoparticles. J. Mater. Res. 2017, 32, 292–300. [Google Scholar] [CrossRef]
- Zhang, T.; Jiang, Y.; Song, Z.; Huang, H.; He, Y.; Fang, Z.; Weng, H.; Fang, C. Catalogue of Topological Electronic Materials. Nature 2019, 566, 475–479. [Google Scholar] [CrossRef]
- Chen, Q.; Lou, Z.; Zhang, S.; Xu, B.; Zhou, Y.; Chen, H.; Chen, S.; Du, J.; Wang, H.; Yang, J.; et al. Large Magnetoresistance and Nonzero Berry Phase in the Nodal-Line Semimetal MoO2. Phys. Rev. B 2020, 102, 165133. [Google Scholar] [CrossRef]
- Apte, A.; Mozaffari, K.; Samghabadi, F.S.; Hachtel, J.A.; Chang, L.; Susarla, S.; Idrobo, J.C.; Moore, D.C.; Glavin, N.R.; Litvinov, D.; et al. 2D Electrets of Ultrathin MoO2 with Apparent Piezoelectricity. Adv. Mater. 2020, 32, 2000006. [Google Scholar] [CrossRef]
- Zhang, H.; Wu, Y.; Huang, Z.; Shen, X.; Li, B.; Zhang, Z.; Wu, R.; Wang, D.; Yi, C.; He, K.; et al. Synthesis of Two-Dimensional MoO2 Nanoplates with Large Linear Magnetoresistance and Nonlinear Hall Effect. Nano Lett. 2023, 23, 2179–2186. [Google Scholar] [CrossRef] [PubMed]
- Picht, O.; Müller, S.; Alber, I.; Rauber, M.; Lensch-Falk, J.; Medlin, D.L.; Neumann, R.; Toimil-Molares, M.E. Tuning the Geometrical and Crystallographic Characteristics of Bi2Te3 Nanowires by Electrodeposition in Ion-Track Membranes. J. Phys. Chem. C 2012, 116, 5367–5375. [Google Scholar] [CrossRef]
- Nikolaeva, A.; Huber, T.E.; Gitsu, D.; Konopko, L. Diameter-Dependent Thermopower of Bismuth Nanowires. Phys. Rev. B 2008, 77, 035422. [Google Scholar] [CrossRef]
- Rowe, D.M.; Shukla, V.S.; Savvides, N. Phonon Scattering at Grain Boundaries in Heavily Doped Fine-Grained Silicon–Germanium Alloys. Nature 1981, 290, 765–766. [Google Scholar] [CrossRef]
- Sood, A.; Cheaito, R.; Bai, T.; Kwon, H.; Wang, Y.; Li, C.; Yates, L.; Bougher, T.; Graham, S.; Asheghi, M.; et al. Direct Visualization of Thermal Conductivity Suppression Due to Enhanced Phonon Scattering Near Individual Grain Boundaries. Nano Lett. 2018, 18, 3466–3472. [Google Scholar] [CrossRef] [PubMed]
- Gu, X.; Wei, Y.; Yin, X.; Li, B.; Yang, R. Colloquium: Phononic Thermal Properties of Two-Dimensional Materials. Rev. Mod. Phys. 2018, 90, 041002. [Google Scholar] [CrossRef]
- Ju, Y.S.; Goodson, K.E. Phonon Scattering in Silicon Films with Thickness of Order 100 Nm. Appl. Phys. Lett. 1999, 74, 3005–3007. [Google Scholar] [CrossRef]



Disclaimer/Publisher’s Note: The statements, opinions and data contained in all publications are solely those of the individual author(s) and contributor(s) and not of MDPI and/or the editor(s). MDPI and/or the editor(s) disclaim responsibility for any injury to people or property resulting from any ideas, methods, instructions or products referred to in the content. |
© 2024 by the authors. Licensee MDPI, Basel, Switzerland. This article is an open access article distributed under the terms and conditions of the Creative Commons Attribution (CC BY) license (https://creativecommons.org/licenses/by/4.0/).
Share and Cite
Su, Y.; He, Z.; Jiang, R.; Zhang, J. Observation of Linear Magnetoresistance in MoO2. Nanomaterials 2024, 14, 915. https://doi.org/10.3390/nano14110915
Su Y, He Z, Jiang R, Zhang J. Observation of Linear Magnetoresistance in MoO2. Nanomaterials. 2024; 14(11):915. https://doi.org/10.3390/nano14110915
Chicago/Turabian StyleSu, Yulong, Zhibin He, Ruizheng Jiang, and Jundong Zhang. 2024. "Observation of Linear Magnetoresistance in MoO2" Nanomaterials 14, no. 11: 915. https://doi.org/10.3390/nano14110915
APA StyleSu, Y., He, Z., Jiang, R., & Zhang, J. (2024). Observation of Linear Magnetoresistance in MoO2. Nanomaterials, 14(11), 915. https://doi.org/10.3390/nano14110915

