Determination of Photothermal and EMI Shielding Efficiency of Graphene–Silver Nanoparticle Composites Prepared under Low-Dose Gamma Irradiation
Abstract
1. Introduction
2. Materials and Methods
2.1. Materials
2.2. Synthesis of GO/Ag NP and EEG/Ag NP Composites
2.3. Characterization
2.4. Photothermal Conversion Efficiency Determination
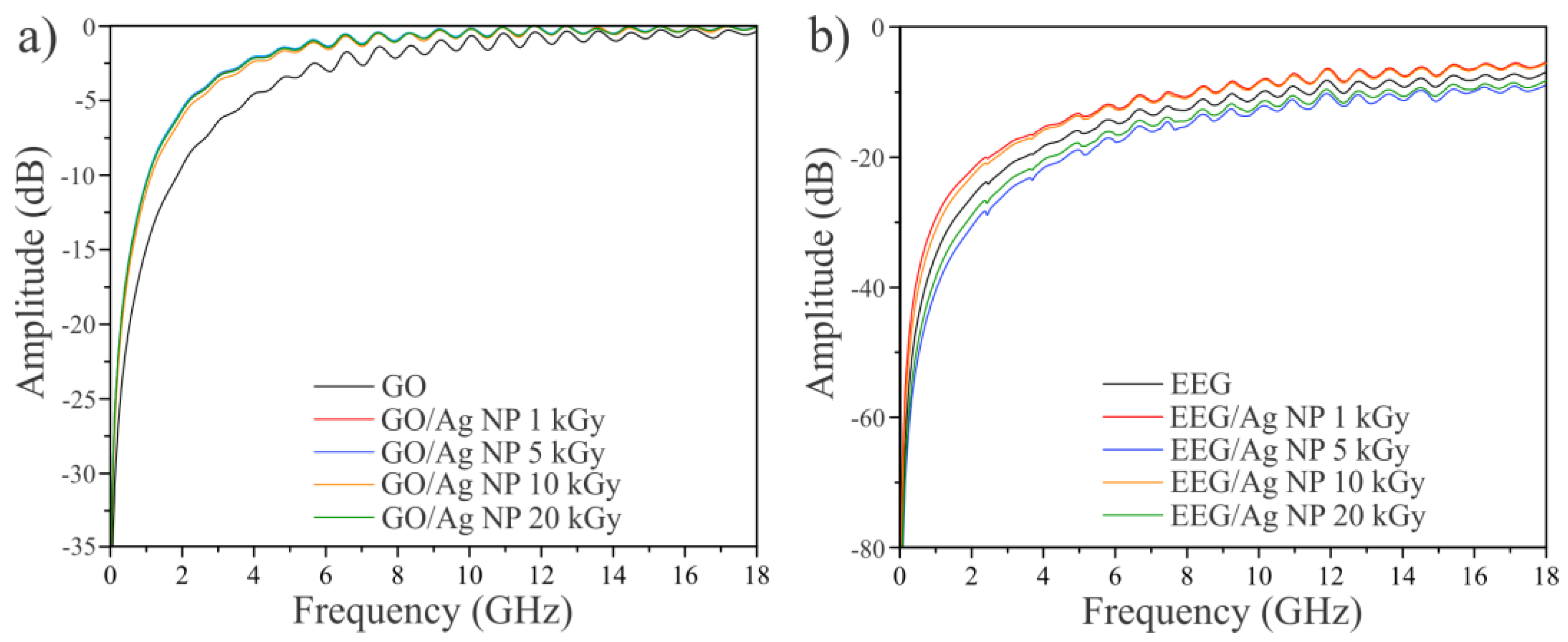
2.5. EMI Shielding Efficiency Measurements
3. Results and Discussion
4. Conclusions
Author Contributions
Funding
Data Availability Statement
Acknowledgments
Conflicts of Interest
References
- Gibertini, E.; Gabatel, L.; Lucotti, A.; Bussetti, G.; Bianchi, C.L.; Nobili, L.; Magagnin, L.; Navarrini, W.; Sansotera, M. From single-layer graphene to HOPG: Universal functionalization strategy with perfluoropolyether for the graphene family materials. Diam. Relat. Mater. 2022, 122, 108810. [Google Scholar] [CrossRef]
- Rao, S.; Upadhyay, J.; Polychronopoulou, K.; Umer, R.; Das, R. Reduced Graphene Oxide: Effect of Reduction on Electrical Conductivity. J. Compos. Sci. 2018, 2, 25. [Google Scholar] [CrossRef]
- Hummers, W.S., Jr.; Offeman, R.E. Preparation of Graphitic Oxide. J. Am. Chem. Soc. 1958, 80, 1339. [Google Scholar] [CrossRef]
- Yu, H.; Zhang, B.; Bulin, C.; Li, R.; Xing, R. High-efficient Synthesis of Graphene Oxide Based on Improved Hummers Method. Sci. Rep. 2016, 6, 36143. [Google Scholar] [CrossRef] [PubMed]
- Alam, S.N.; Sharma, N.; Kumar, L. Synthesis of Graphene Oxide (GO) by Modified Hummers Method and Its Thermal Reduction to Obtain Reduced Graphene Oxide (rGO)*. Graphene 2017, 6, 1–18. [Google Scholar] [CrossRef]
- Li, F.; Jiang, X.; Zhao, J.; Zhang, S. Graphene oxide: A promising nanomaterial for energy and environmental applications. Nano Energy 2015, 16, 488–515. [Google Scholar] [CrossRef]
- Parvez, K.; Li, R.; Puniredd, S.R.; Hernandez, Y.; Hinkel, F.; Wang, S.; Feng, X.; Müllen, K. Electrochemically Exfoliated Graphene as Solution-Processable, Highly Conductive Electrodes for Organic Electronics. ACS Nano 2013, 7, 3598–3606. [Google Scholar] [CrossRef]
- Marković, Z.; Budimir, M.; Kepić, D.; Holclajtner-Antunović, I.; Marinović-Cincović, M.; Dramićanin, M.; Spasojević, V.; Peruško, D.; Špitalský, Z.; Mičušik, M.; et al. Semi-transparent, conductive thin films of electrochemical exfoliated graphene. RSC Adv. 2016, 6, 39275–39283. [Google Scholar] [CrossRef]
- Parvez, K.; Wu, Z.-S.; Li, R.; Liu, X.; Graf, R.; Feng, X.; Müllen, K. Exfoliation of Graphite into Graphene in Aqueous Solutions of Inorganic Salts. J. Am. Chem. Soc. 2014, 136, 6083–6091. [Google Scholar] [CrossRef]
- Khan, M.A.M.; Sharma, B.; Ahamed, M.; Rana, A.u.H.S.; Kumar, S. Ag nanoparticles decorated on rGO sheets: Green synthesis and effective photocatalytic action. Phys. B Condens. Matter 2023, 657, 414789. [Google Scholar] [CrossRef]
- Khan, M.; Al-hamoud, K.; Liaqat, Z.; Shaik, M.R.; Adil, S.F.; Kuniyil, M.; Alkhathlan, H.Z.; Al-Warthan, A.; Siddiqui, M.R.H.; Mondeshki, M.; et al. Synthesis of Au, Ag, and Au–Ag Bimetallic Nanoparticles Using Pulicaria undulata Extract and Their Catalytic Activity for the Reduction of 4-Nitrophenol. Nanomaterials 2020, 10, 1885. [Google Scholar] [CrossRef] [PubMed]
- Darabdhara, G.; Das, M.R.; Singh, S.P.; Rengan, A.K.; Szunerits, S.; Boukherroub, R. Ag and Au nanoparticles/reduced graphene oxide composite materials: Synthesis and application in diagnostics and therapeutics. Adv. Colloid Interface Sci. 2019, 271, 101991. [Google Scholar] [CrossRef] [PubMed]
- Siddique, S.; Chow, J.C.L. Gold Nanoparticles for Drug Delivery and Cancer Therapy. Appl. Sci. 2020, 10, 3824. [Google Scholar] [CrossRef]
- Jiang, K.; Smith, D.A.; Pinchuk, A. Size-Dependent Photothermal Conversion Efficiencies of Plasmonically Heated Gold Nanoparticles. J. Phys. Chem. C 2013, 117, 27073–27080. [Google Scholar] [CrossRef]
- Cui, X.; Ruan, Q.; Zhuo, X.; Xia, X.; Hu, J.; Fu, R.; Li, Y.; Wang, J.; Xu, H. Photothermal Nanomaterials: A Powerful Light-to-Heat Converter. Chem. Rev. 2023, 123, 6891–6952. [Google Scholar] [CrossRef] [PubMed]
- Kim, E.; Lim, D.Y.; Kang, Y.; Yoo, E. Fabrication of a stretchable electromagnetic interference shielding silver nanoparticle/elastomeric polymer composite. RSC Adv. 2016, 6, 52250–52254. [Google Scholar] [CrossRef]
- Zhang, J.; Li, H.; Xu, T.; Wu, J.; Zhou, S.; Hang, Z.H.; Zhang, X.; Yang, Z. Homogeneous silver nanoparticles decorating 3D carbon nanotube sponges as flexible high-performance electromagnetic shielding composite materials. Carbon 2020, 165, 404–411. [Google Scholar] [CrossRef]
- Li, X.; Qu, Y.; Wang, X.; Bian, H.; Wu, W.; Dai, H. Flexible graphene/silver nanoparticles/aluminum film paper for high-performance electromagnetic interference shielding. Mater. Des. 2022, 213, 110296. [Google Scholar] [CrossRef]
- Kumar, P.; Shahzad, F.; Hong, S.M.; Koo, C.M. A flexible sandwich graphene/silver nanowires/graphene thin film for high-performance electromagnetic interference shielding. RSC Adv. 2016, 6, 101283–101287. [Google Scholar] [CrossRef]
- Yan, S.; Wang, H.; Li, P. Aligned Silver Nanowires Wrapped in Graphene as a Transparent Electrode for Electromagnetic Interference Shielding Applications. ACS Appl. Nano Mater. 2024, 7, 77–83. [Google Scholar] [CrossRef]
- Wang, H.; Qiao, X.; Chen, J.; Ding, S. Preparation of silver nanoparticles by chemical reduction method. Colloids Surf. A Physicochem. Eng. Asp. 2005, 256, 111–115. [Google Scholar] [CrossRef]
- Pingali, K.C.; Rockstraw, D.A.; Deng, S. Silver Nanoparticles from Ultrasonic Spray Pyrolysis of Aqueous Silver Nitrate. Aerosol Sci. Technol. 2005, 39, 1010–1014. [Google Scholar] [CrossRef]
- Sportelli, M.C.; Izzi, M.; Volpe, A.; Clemente, M.; Picca, R.A.; Ancona, A.; Lugarà, P.M.; Palazzo, G.; Cioffi, N. The Pros and Cons of the Use of Laser Ablation Synthesis for the Production of Silver Nano-Antimicrobials. Antibiotics 2018, 7, 67. [Google Scholar] [CrossRef] [PubMed]
- Hattori, Y.; Mukasa, S.; Toyota, H.; Inoue, T.; Nomura, S. Continuous synthesis of magnesium-hydroxide, zinc-oxide, and silver nanoparticles by microwave plasma in water. Mater. Chem. Phys. 2011, 131, 425–430. [Google Scholar] [CrossRef]
- Darroudi, M.; Ahmad, M.B.; Zak, A.K.; Zamiri, R.; Hakimi, M. Fabrication and Characterization of Gelatin Stabilized Silver Nanoparticles under UV-Light. Int. J. Mol. Sci. 2011, 12, 6346–6356. [Google Scholar] [CrossRef] [PubMed]
- Bogle, K.A.; Dhole, S.D.; Bhoraskar, V.N. Silver nanoparticles: Synthesis and size control by electron irradiation. Nanotechnology 2006, 17, 3204. [Google Scholar] [CrossRef]
- Kepić, D.P.; Stefanović, A.M.; Budimir, M.D.; Pavlović, V.B.; Bonasera, A.; Scopelliti, M.; Todorović-Marković, B.M. Gamma rays induced synthesis of graphene oxide/gold nanoparticle composites: Structural and photothermal study. Radiat. Phys. Chem. 2023, 202, 110545. [Google Scholar] [CrossRef]
- Cobos, M.; De-La-Pinta, I.; Quindós, G.; Fernández, M.J.; Fernández, M.D. Graphene Oxide–Silver Nanoparticle Nanohybrids: Synthesis, Characterization, and Antimicrobial Properties. Nanomaterials 2020, 10, 376. [Google Scholar] [CrossRef]
- Hareesh, K.; Joshi, R.P.; Dahiwale, S.S.; Bhoraskar, V.N.; Dhole, S.D. Synthesis of Ag-reduced graphene oxide nanocomposite by gamma radiation assisted method and its photocatalytic activity. Vacuum 2016, 124, 40–45. [Google Scholar] [CrossRef]
- Atta, M.M.; Rabia, M.; Elbasiony, A.M.; Taha, E.O.; Hamid, M.M.A.; Henaish, A.M.A.; Zhang, Q. Facile gamma-ray induced synthesis of reduced graphene oxide decorated with silver nanoparticles: A green approach for symmetric supercapacitor applications. Fuller. Nanotub. Carbon Nanostructures 2024, 32, 442–451. [Google Scholar] [CrossRef]
- Liu, G.; Wang, Y.; Pu, X.; Jiang, Y.; Cheng, L.; Jiao, Z. One-step synthesis of high conductivity silver nanoparticle-reduced graphene oxide composite films by electron beam irradiation. Appl. Surf. Sci. 2015, 349, 570–575. [Google Scholar] [CrossRef]
- Kavitha, C.M.; Eshwarappa, K.M.; Shilpa, M.P.; Shetty, S.J.; Surabhi, S.; Shashidhar, A.P.; Karunakara, N.; Gurumurthy, S.C.; Sanjeev, G. Tuning the optical and electrical properties by gamma irradiation of silver nanoparticles decorated graphene oxide on glutaraldehyde crosslinked polyvinyl alcohol matrix. Mater. Res. Bull. 2024, 173, 112685. [Google Scholar] [CrossRef]
- Roper, D.K.; Ahn, W.; Hoepfner, M. Microscale Heat Transfer Transduced by Surface Plasmon Resonant Gold Nanoparticles. J. Phys. Chem. C 2007, 111, 3636–3641. [Google Scholar] [CrossRef]
- Kepić, D.P.; Kleut, D.N.; Marković, Z.M.; Bajuk-Bogdanović, D.V.; Pavlović, V.B.; Krmpot, A.J.; Lekić, M.M.; Jovanović, D.J.; Todorović-Marković, B.M. One-step preparation of gold nanoparticles—Exfoliated graphene composite by gamma irradiation at low doses for photothermal therapy applications. Mater. Charact. 2021, 173, 110944. [Google Scholar] [CrossRef]
- Baldacchino, G.; Brun, E.; Denden, I.; Bouhadoun, S.; Roux, R.; Khodja, H.; Sicard-Roselli, C. Importance of radiolytic reactions during high-LET irradiation modalities: LET effect, role of O2 and radiosensitization by nanoparticles. Cancer Nanotechnol. 2019, 10, 3. [Google Scholar] [CrossRef]
- Belloni, J. Nucleation, growth and properties of nanoclusters studied by radiation chemistry: Application to catalysis. Catal. Today 2006, 113, 141–156. [Google Scholar] [CrossRef]
- Spilarewicz-Stanek, K.; Kisielewska, A.; Ginter, J.; Bałuszyńska, K.; Piwoński, I. Elucidation of the function of oxygen moieties on graphene oxide and reduced graphene oxide in the nucleation and growth of silver nanoparticles. RSC Adv. 2016, 6, 60056–60067. [Google Scholar] [CrossRef]
- Jiang, H.; Zhu, L.; Moon, K.-S.; Wong, C.P. The preparation of stable metal nanoparticles on carbon nanotubes whose surfaces were modified during production. Carbon 2007, 45, 655–661. [Google Scholar] [CrossRef]
- Goncalves, G.; Marques, P.A.A.P.; Granadeiro, C.M.; Nogueira, H.I.S.; Singh, M.K.; Grácio, J. Surface Modification of Graphene Nanosheets with Gold Nanoparticles: The Role of Oxygen Moieties at Graphene Surface on Gold Nucleation and Growth. Chem. Mater. 2009, 21, 4796–4802. [Google Scholar] [CrossRef]
- Bao, Q.; Zhang, D.; Qi, P. Synthesis and characterization of silver nanoparticle and graphene oxide nanosheet composites as a bactericidal agent for water disinfection. J. Colloid Interface Sci. 2011, 360, 463–470. [Google Scholar] [CrossRef]
- Singh, V.; Joung, D.; Zhai, L.; Das, S.; Khondaker, S.I.; Seal, S. Graphene based materials: Past, present and future. Prog. Mater. Sci. 2011, 56, 1178–1271. [Google Scholar] [CrossRef]
- Farivar, F.; Yap, P.L.; Hassan, K.; Tung, T.T.; Tran, D.N.H.; Pollard, A.J.; Losic, D. Unlocking thermogravimetric analysis (TGA) in the fight against “Fake graphene” materials. Carbon 2021, 179, 505–513. [Google Scholar] [CrossRef]
- Adamopoulos, N.D.; Tsierkezos, N.G.; Ntziouni, A.; Zhang, F.; Terrones, M.; Kordatos, K.V. Synthesis, characterization, and electrochemical performance of reduced graphene oxide decorated with Ag, ZnO, and AgZnO nanoparticles. Carbon 2023, 213, 118178. [Google Scholar] [CrossRef]
- Niemiec, B.; Lenar, N.; Piech, R.; Skupień, K.; Paczosa-Bator, B. Graphene Flakes Decorated with Dispersed Gold Nanoparticles as Nanomaterial Layer for ISEs. Membranes 2021, 11, 548. [Google Scholar] [CrossRef] [PubMed]
- Zhang, P.; Wang, H.; Zhang, X.; Xu, W.; Li, Y.; Li, Q.; Wei, G.; Su, Z. Graphene film doped with silver nanoparticles: Self-assembly formation, structural characterizations, antibacterial ability, and biocompatibility. Biomater. Sci. 2015, 3, 852–860. [Google Scholar] [CrossRef]
- Li, Z.; Johnson, O.; Huang, J.; Feng, T.; Yang, C.; Liu, Z.; Chen, W. Enhancing the photothermal conversion efficiency of graphene oxide by doping with NaYF4: Yb, Er upconverting luminescent nanocomposites. Mater. Res. Bull. 2018, 106, 365–370. [Google Scholar] [CrossRef]









| Sample | Wt.% | Sample | Wt.% | ||||
|---|---|---|---|---|---|---|---|
| C | O | Ag | C | O | Ag | ||
| GO | 70.9 | 29.1 | EEG | 76.7 | 23.3 | ||
| GO/Ag NP 1 kGy | 62.6 | 28.7 | 8.7 | EEG/Ag NP 1 kGy | 84.9 | 14.3 | 0.8 |
| GO/Ag NP 5 kGy | 63.0 | 29.0 | 8.0 | EEG/Ag NP 5 kGy | 82.5 | 13.0 | 4.5 |
| GO/Ag NP 10 kGy | 60.6 | 25.8 | 13.6 | EEG/Ag NP 10 kGy | 74.4 | 16.9 | 8.7 |
| GO/Ag NP 20 kGy | 63.3 | 21.9 | 14.8 | EEG/Ag NP 20 kGy | 78.0 | 15.2 | 6.8 |
| Sample | Photothermal Efficiency (%) | Sample | Photothermal Efficiency (%) |
|---|---|---|---|
| GO | 13.8 | EEG | 4.7 |
| GO/Ag NP 1 kGy | 23.1 | EEG/Ag NP 1 kGy | 20.8 |
| GO/Ag NP 5 kGy | 29.5 | EEG/Ag NP 5 kGy | 7.6 |
| GO/Ag NP 10 kGy | 15.9 | EEG/Ag NP 10 kGy | 15.2 |
| GO/Ag NP 20 kGy | 23.8 | EEG/Ag NP 20 kGy | 7.0 |
Disclaimer/Publisher’s Note: The statements, opinions and data contained in all publications are solely those of the individual author(s) and contributor(s) and not of MDPI and/or the editor(s). MDPI and/or the editor(s) disclaim responsibility for any injury to people or property resulting from any ideas, methods, instructions or products referred to in the content. |
© 2024 by the authors. Licensee MDPI, Basel, Switzerland. This article is an open access article distributed under the terms and conditions of the Creative Commons Attribution (CC BY) license (https://creativecommons.org/licenses/by/4.0/).
Share and Cite
Stefanović, A.; Kepić, D.; Momčilović, M.; Mead, J.L.; Huskić, M.; Haddadi, K.; Sebbache, M.; Todorović Marković, B.; Jovanović, S. Determination of Photothermal and EMI Shielding Efficiency of Graphene–Silver Nanoparticle Composites Prepared under Low-Dose Gamma Irradiation. Nanomaterials 2024, 14, 912. https://doi.org/10.3390/nano14110912
Stefanović A, Kepić D, Momčilović M, Mead JL, Huskić M, Haddadi K, Sebbache M, Todorović Marković B, Jovanović S. Determination of Photothermal and EMI Shielding Efficiency of Graphene–Silver Nanoparticle Composites Prepared under Low-Dose Gamma Irradiation. Nanomaterials. 2024; 14(11):912. https://doi.org/10.3390/nano14110912
Chicago/Turabian StyleStefanović, Andjela, Dejan Kepić, Miloš Momčilović, James L. Mead, Miroslav Huskić, Kamel Haddadi, Mohamed Sebbache, Biljana Todorović Marković, and Svetlana Jovanović. 2024. "Determination of Photothermal and EMI Shielding Efficiency of Graphene–Silver Nanoparticle Composites Prepared under Low-Dose Gamma Irradiation" Nanomaterials 14, no. 11: 912. https://doi.org/10.3390/nano14110912
APA StyleStefanović, A., Kepić, D., Momčilović, M., Mead, J. L., Huskić, M., Haddadi, K., Sebbache, M., Todorović Marković, B., & Jovanović, S. (2024). Determination of Photothermal and EMI Shielding Efficiency of Graphene–Silver Nanoparticle Composites Prepared under Low-Dose Gamma Irradiation. Nanomaterials, 14(11), 912. https://doi.org/10.3390/nano14110912

