Abstract
This paper aims to provide some insights into the pH and electrical conductivity of two classes of nanocolloids with PEG 400 as the base fluid. Thus, nanoparticles of two oxides—MgO and TiO2—were added to the base fluid in 5 mass concentrations in the range 0.25–2.5 %wt. The stability was evaluated in terms of pH at ambient temperature, while the electrical conductivity was discussed at both ambient temperature and up to 333.15 K. The electrical conductivity of PEG 400 was previously discussed by this group, while the behavior of the new nanocolloids was debated in terms of the state of the art. More precisely, the influence of MgO increases electrical conductivity, and an enhancement of up to 48% for 0.25% MgO was found, while the influence of TiO2 nanoparticles was found to be in similar ranges. In conclusion, electrical conductivity varies with temperature and the addition of nanoparticles to the base fluid, although the mechanisms that are driving the nanoparticle type and concentration influence are not yet entirely assumed in the available literature.
1. Introduction
Nanocolloids receive increasing amounts of attention each year, and this is obvious from scrutinizing the most relevant repositories. Nanocolloids are suspensions of different nanoparticles within a number of base fluids, and the most popular ones are water or ethylene glycol (EG). In regard to nanoparticles, extremely various types are selected, such as, for example, carbon-based materials, silver, oxides, metals, or composites. Even if pioneering research was performed on alumina nanoparticles (NPs), special attention has lately been given to cheap and environmentally friendly NPs, such as, for example, MgO and TiO2 [1,2]. Nevertheless, the majority of research is focused on thermal conductivity and viscosity, and extremely little information can be found in regard to electrical conductivity or pH. Even if discussing MgO nanoparticles suspended in different base fluids, no study was found in connection with their electrical properties. Alternatively, TiO2 NPs were studied in combination with water, EG, or water + EG in terms of electrical conductivity variation at ambient temperature or when heated [3,4,5,6,7,8,9]. For example, Angayarkanni and Philip [3] studied nanofluids (NFs) with 13.5 nm of TiO2 in water and perceived an enhancement of 8876% in electrical conductivity at ambient temperature for a 4 %vol. concentration of NPs. Wang and Zou [10] performed an interesting study on functionalized TiO2 nanoparticles (β-CD/TiO2) inserted into oil-based drilling fluids. The manufactured new fluids were investigated in terms of thermal conductivity, and a clear advantage was found in terms of the enhancement of thermal conductivity. Another application of TiO2-nanoparticle-enhanced fluids was discussed by Wang et al. [11]. More precisely, authors studied the thermal conductivity of modified TiO2 nanoparticles via supramolecular β-CD suspended in a mixture of water and EG for the purpose of cooling data centers. Shoghl et al. [12] discussed the electrical conductivity of different nanofluids, including TiO2 dispersed in water with the addition of a surfactant, and concluded that the surfactant influences the values of electrical conductivity.
Lower TiO2 concentrations were adopted for other authors (i.e., max. 0.5 %vol.) [5,6,7], and an upsurge in electrical conductivity of almost 77% was reported for new fluids based on water + EG.
The electrical conductivity and pH of MgO nanofluids with EG as the base fluid were discussed by Mehrabi et al. [13] in terms of a polynomial neural network algorithm using several experimental datasets. The authors’ conclusion was that the application of an adaptive neuro-fuzzy inference system and genetic algorithm polynomial neural network approaches as a function of concentration, temperature, and NPs’ size provide accurate results. The datasets were collected from Adio et al. [14], who debated the factors that influenced the electrical conductivity and pH of MgO–EG NFs. Adio et al. [14] concluded that the upsurge in MgO concentration leads to the clear enhancement of EC and solution pH, and noticed no major influence of the sonication process on experimental values. The results of the pH of the nanofluids with MgO were situated in the region of 9.66–10.84, values about 50% higher than those of a base fluid (i.e., ethylene glycol). Additionally, a major augmentation was noticed in terms of electrical conductivity at room temperature, while the explanation relied on the electric double layer thickening due to the low ionic strength of the nanofluid samples. A similar explanation of this phenomenon was also offered by Posner [15], who discussed the properties and the electrokinetic behaviour of non-dilute colloidal suspensions.
Adio et al. [16] manufactured suspensions between MgO and EG with nanoparticle sizes of 20 and 40 nm, after which they measured the electrical conductivity with CON 700 equipment (EUTECH Instruments, Vernon Hills, IL, USA) between 293.15 and 363.15 K. The authors’ results revealed an increase in EC with an increase in temperature as well as differences depending on the size of NPs.
As mentioned previously, the adoption of polyethylene glycol (PEG) as a base heat transfer fluid is limited, with few studies in the available literature [17], while its electric behavior cannot be described with theoretical models [17,18,19,20,21,22,23,24,25,26,27,28,29,30].
Minea [31] discussed a number of phase change materials, along with PEGs of different molar masses with nanoparticles. The principal aim of their analysis was to highlight the impact of adding NPs (nanoparticles) on most of the relevant properties of the discussed suspensions. With this in mind, the experiments performed by the authors demonstrated a reasonable upsurge in viscosity, although thermal conductivity and specific heat were also enhanced.
Chereches et al. [30] suspended MWCNT nanoparticles in PEG 400 and noticed the influence of NPs on suspensions’ flow and electrical conductivity. More precisely, in terms of electrical conductivity, a consistent upsurge with both temperature and the addition of NPs was detected. The authors further declared that this is the usual comportment owing to the nature of MWCNTs.
For example, Awin et al. [32] reported the electrical conductivity of a number of lowly concentrated nanofluids with titanium dioxide dispersed in pure water. They concluded that an escalation in electrical conductivity (EC) appears when the concentration of NPs is higher. Similar outcomes were attained by other authors, such as, for instance Fal et al. [26], Zyla et al. [27], and Chereches and Minea [33]. The electrical conductivity of TiO2 dispersed in pure water was also reported by Sikdar et al. [4], who performed tests at four temperatures (i.e., up to 318 K) and noticed an upsurge of 80 times in electrical conductivity for the suspension with 3 %vol.
Even if the results are scattered, most of the authors proposed experimental correlations, while also noticing that the theoretical ones (see [18,19,20]) do not fit well with the experimental datasets. For example, several polynomial models were proposed by Chereches and Minea [32], as were logarithmic ones (see Islam et al. [5,6,7]), and power equations were proposed by Awin et al. [33] in addition to Fal et al. [29].
Even if EC (electrical conductivity) is an extremely less deliberated factor, a number of equations and models are discussed, compared, and evaluated in the current state of the art by a number of authors (see Chereches et al. [17] for more details). The classic models consider the concentration, shape, and size of NPs; however, none of them are capable of accurately predicting the experimental values. Some theoretical models are proposed by Maxwell [18], Bruggeman [19], and Fricke [20], mostly based on similarities with thermal conductivity, but fewer experimental models were discussed by research groups working on nanofluids research, and all are limited to a specific class of fluids (see, for example, water-based nanofluids or ethylene-glycol-based nanofluids) [17].
This paper’s aim is to shed some light onto PEG-400-based nanocolloids with two kinds of nanoparticles, MgO and TiO2, and it is a part of an extensive research project aiming to shed some light on PEG-based nanofluids enriched with oxide and MWCNT nanoparticles. The samples were prepared in a variety of mass concentrations, from 0.25 to 2.5 %wt., of oxide NPs. The results will be discussed in relation to suspensions’ stability (i.e., with the help of pH) and electrical conductivity of 293.15 K up to 333.15 K.
2. Chemicals and Experimental Procedure
The compounds for this study were from Sigma-Aldrich (St. Louis, MO, USA): PEG 400 (Kollisolv® PEG E 400, CAS number 25322-68-3), TiO2 (CAS number: 13463-67-7), and MgO nanoparticles (CAS number: 1309-48-4). Nanofluids with PEG 400 were manufactured using a two-step method: the nanoparticles were dispersed into PEG 400 followed by 60 min of sonication to secure satisfactory stability and minimize the sedimentation of the naoparticles. For sonication, an ultrasonic bath, a Geti GUC02A (i.e., ultrasound power: 60 W, frequency: 40 Hz), was employed. Concentrations were carefully calculated to reach the anticipated nanocolloids with 0.25–2.5 %wt. concentrations (i.e., each sample concentration was calculated based on a mass fraction and 50 mL of each nanocolloid prepared based on the calculated quantities of PEG 400 and NPs). For weighing chemicals, an ENTRIS224l-1S balance from Sartorius AG (Goettingen, Germany,) with a precision of 0.1 mg, was employed.
Furthermore, the stability was evaluated based on both pH and electrical conductivity, as are outlined in the available literature [21,22,23,24,25] as possible methods with which to check the absence of sedimentation.
An Edge® Multiparameter HI 2030 (Hanna Instruments, Woonsocket, RI, USA) with an incorporated temperature-measuring device possessing the capacity to perform wide measurements of electrical conductivity, up to resolutions of 500 mS/cm and 0.01 μS/cm resolution, was employed to determine electrical conductivity; a special sensor was utilized to determine the solution pH (i.e., HI-11310 sensor). The equipment can perform measurements in the temperature interval of 293.15–333.15 K with an uncertainty of ±0.2 K.
Measurements were performed at room temperature (i.e., 293.15 K) for pH as well as with variations in temperature for electrical conductivity. After each measurement set, a calibration operation was performed with the help of special calibration salts specific to the Edge® Multiparameter HI 2030. Each measurement was repeated several times (i.e., 3–5 times) in order to avoid any uncertainty, and an average value was recorded for discussion of the experimental data.
The PEG 400 structure was analyzed previously via NMR spectroscopy and revealed a multiplet at 4.58 ppm corresponding to the proton of the OH as well as the presence of small quantities of water (more information can be found in Chereches et al. [30]). Additionally, Chereches et al. [30] discussed the results of Fourier transform infrared spectroscopy, differential scanning calorimetry, and thermogravimetric analysis applied to the PEG 400. The small traces of water existing in PEG 400 were also recognized via infrared spectroscopy.
All of the tests were performed at ambient pressure, and the global uncertainty of the experimental data was situated around 2.8%, which lies in an acceptable range for an experimental study.
3. Results and Discussion
When discussing new heat transfer fluids enhanced with nanoparticles, one of the most relevant aspects is connected to the stability of the suspensions. The sedimentation phenomenon occurs for most of the nanocolloids and has to be properly evaluated since it influences both the estimation of thermophysical properties as well as behavior in real-life applications. The next subsections will present the results of pH suspensions and the study of electrical conductivity. More precisely, the investigation of pH was directed towards suspensions’ stability, while the electrical conductivity experiment and the discussion of its results are useful for drawing attention to several possible applications of the investigated nanocolloids.
3.1. pH
The suspensions were tracked with a visual control (see Figure 1 for PEG 400 nanocolloids with MgO and Figure 2 for samples with TiO2) and pH for a period of 3 weeks, and no sedimentation was noticed. In terms of pH, it is clear from the available literature that it can indicate the stability of nanoparticle-enhanced fluids [21,22,23,24,25].
Figure 1.
Samples: MgO nanocolloids with PEG 400.
Figure 2.
Samples: TiO2 nanocolloids with PEG 400.
Additionally, Liu et al. [25] discussed this kind of approach in terms of a comparison between a zeta potential analysis (i.e., indicating the suspensions’ stability) and properties such as pH and EC, and concluded that the most stable nanocolloids are electrically balanced in addition to the fact that those with a low zeta potential are predisposed toward flocculation (i.e., clogs tend to be created). The samples’ pH was investigated at 293.15 K, after which experimental results were plotted (as shown in Figure 3). Figure 3 clearly indicates that all nanocolloids have a pH between 7.5 and 8.9. The measured pH values are in line with similar outcomes from the state-of-the-art literature, wherever pH = 7 is suggested for nanocolloids (see, for example, [21,22,23,24,25]).
Figure 3.
pH for PEG 400 and PEG-400-based nanocolloids at 293.15 K.
Furthermore, from Figure 3 it can be seen that the pH is lower for TiO2 + PEG 400 nanocolloids if compared with the ones with MgO (i.e., the lowest value is about 15% lower than the PEG 400 pH).
If one compares the data with similar studies from the literature, they can consider the experiment performed by Adio et al. [14], who attained values between 9.66 and 10.84 for MgO dispersed in ethylene glycol of volume fractions up to 3%. These values are considerably lower than those obtained for the same type of nanoparticles dispersed in EG. Additionally, the data from Adio et al. [14] revealed that the addition of nanoparticles increases the pH of the solution, and this can be due to the occurrence of sedimentation. In any case, more experimental outcomes are required in order to be able to draw a solid conclusion on the significance of pH for the evaluation of stability (please see the results published by different authors, such as, for example, the complex study performed by Liu et al. [25]).
3.2. Electrical Conductivity Results
As was affirmed in Section 2, two classes of nanocolloids were investigated and compared here in relation to their EC (electrical conductivity): First, the results for MgO + PEG 400 will be discussed in regard to the effect of the addition of nanoparticles (see Figure 4) and temperature variation. The results for PEG 400 were previously determined (see [17] for further insights and comparison with the state of the art) and were used here as a basis for comparison.
Figure 4.
Experimental results at 293.15 K for PEG 400 + MgO.
As can be noticed, the addition of NPs increases electrical conductivity, a phenomenon that is followed by a reduction when NPs are added to the host fluid (i.e., PEG 400). This phenomenon has not been completely elucidated; nevertheless, it was previously noticed and can be attributed to the occurrence and properties of the electric double layer. An in-depth study that also considers other host fluids may shed some light on the influence of the base fluid as well (i.e., PEG 400 in this particular situation).
Considering the experimental data, it is obvious that the electrical conductivity declines with the addition of MgO, and this phenomenon mostly occurs due to the low electrical conductivity of MgO. It must be underlined here that MgO nanoparticles are excellent electrical insulators and very good thermal conductors. Nevertheless, a disagreement was noticed with results the published by Mehrabi et al. [13] and Adio et al. [16], who noticed that the influence of MgO nanoparticles on ethylene glycol is huge; an enhancement of over 1000% was noticed. Overall, the current experimental data are considerably lower than those attained by other research groups [13,14,15,16]. As a possible explanation, the influence of the base fluid is acknowledged.
If one analyses the experimental outcomes, portrayed in Figure 5, a decrease in electrical conductivity is clearly noticed; the decrease fits well on a second-degree polynomial trendline, as has also been demonstrated in other studies in connection with similar fluids (see [21,22,23,24,25]). Figure 5 illustrates the polynomial dependency of the electrical conductivity on the mass fraction, which can be estimated as follows:
where σ is the electrical conductivity and w refers to the mass fraction of MgO nanoparticles in the PEG 400. The R-squared value is satisfactory, and the equation can describe the influence of the addition of NPs on the σ values.
σ = 1646.7 w2 − 66.449 w + 2.195; R2 = 0.92
Figure 5.
PEG 400 + MgO electrical conductivity variation with a mass fraction at 293.15 K.
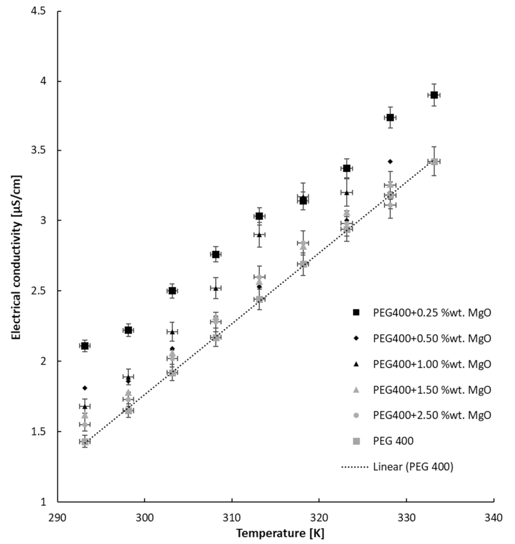
The MgO nanocolloids’ EC deviation with temperature follows the PEG 400 variation, as is plotted in Figure 6. The experimental data are plotted in comparison with previously determined values for PEG 400, and one can see the linear amplification of electrical conductivity with temperature, following a linear equation:
σ = a T + b
Figure 6.
Nanocolloids’ electrical conductivity versus temperature.
In Equation (2), parameters a and b are coefficients depending on each suspension, as are outlined in Table 1 for each fluid.
Table 1.
Coefficients connected to Equation (2) and statistical parameters.
In conclusion, the enhancement of electrical conductivity with temperature is clear for all MgO nanocolloids and follows PEG 400 augmentation. To be precise, the values are approximately 2 times higher at 333.15 K for all fluids if compared with ambient temperature. The mechanisms of the increase in electrical conductivity are believed to be due to the electric double layer and conducting paths produced by the nanoparticles into PEG 400, as was also affirmed by Adio et al. [14], Fal et al. [26], and Zyla et al. [27]. In any case, the theoretical representations do not fit the experimental values, as was demonstrated by Minea [28].
Furthermore, the second class of nanocolloids’ experimental results will be discussed in terms of the variation in EC with a mass fraction at ambient temperature (see Figure 7 and Figure 8), as well as its variation with temperature (see Figure 9). The approach of the discussion of the results will be similar to the previous one.
Figure 7.
Experimental results at 293.15 K for PEG 400 + TiO2.
Figure 8.
PEG 400 + TiO2 electrical conductivity variation with a mass fraction at 293.15 K.
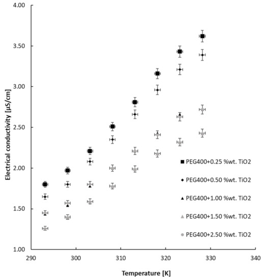
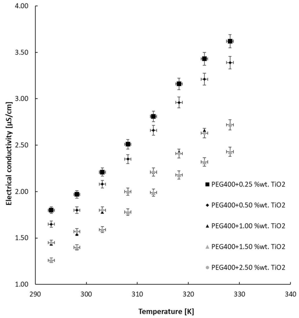
Figure 9.
TiO2 nanocolloids’ electrical conductivity versus temperature.
As can be notice, the addition of NPs increases electrical conductivity, a phenomenon that is followed by a reduction in EC as the concentration of NPs increases. Subsequently, for large NP mass fractions the tendency of electrical conductivity is to increase. This phenomenon is due to TiO2 nanoparticles’ higher electrical conductivity.
Following the results obtained for the PEG 400 + MgO class of nanocolloids, Figure 8 displays the polynomial dependency of EC on the mass fraction, which can be estimated as follows:
where σ is the electrical conductivity and w refers to the mass fraction of TiO2 nanoparticles in the PEG 400. The R-squared value is excellent, and the equation can describe the influence of the addition of NPs on the σ values.
σ = 2520.8 w2 − 85.703 w + 2.0109; R2 = 0.99
The TiO2 nanocolloids’ electrical conductivity deviation depends on the samples’ temperature and follows the PEG 400 variation, as is plotted in Figure 9. The experimental data are plotted in comparison with previously determined values for PEG 400, and a linear increase in electrical conductivity with temperature can be seen, following an equation similar to Equation (2), where a and b are coefficients depending on each suspension, as outlined in Table 2 for each fluid with TiO2.
Table 2.
Coefficients connected to Equation (2) and statistical parameters.
If one attempts a comparison with a similar nanofluid based on titanium oxide, they could use the data from Shoghl et al. [10], who demonstrated that electrical conductivity increases with the addition of NPs and is greatly impacted by the presence of a surfactant. The phenomenon identified by Shoghl et al. [10] for both an increase or decrease in electrical conductivity was also formation of the EDL or nanofluid stability.
If one follows the previously acknowledged models from the state of the art, as identified by Fal et al. [29], as well as with the help of a regression analysis performed by CurveExpert Pro: 2.7.3 software [34] for the two datasets, they can reasonably find the model type presented by Awin et al. [32]. The electrical conductivity of similar fluids (i.e., nanofluids with dispersed TiO2 nanoparticles) was discussed by Awin et al. [32], who proposed an exponential variation, which is also adopted here for both nanocolloids as follows:
where T is the temperature and w is the mass fraction, while a, b, and c are coefficients that have different values depending on nanocolloid type, as depicted in Table 3.
Table 3.
Coefficients connected to Equation (4) and standard error.
As a final remark, also taking into account the studies performed by this research group on PEG 400 with alumina and ZnO nanoparticles (see [17,32] for the results), electrical conductivity is decidedly subjective with regard to NP type, and its variation with temperature follows the tendency of the base fluid. In any case, the concentration of nanoparticles is also relevant, especially when discussing nanocolloids with MgO and TiO2. These authors believe that the mechanisms are more complicated and do not stand only in terms of the EDL phenomenon, as was affirmed in the available literature and discussed here. Nevertheless, it is clear that the oxide type and its intrinsic electrical conductivity substantially modify most base fluid properties. If one was to compare this study with previous research, they could assume that an experimental approach is the only solution for accurately estimating the electric behavior of each nanocolloid, since, at least for the moment, no similar behavior has been noticed and it is not possible to propose a universal model that can be valid for a class of NPs. Additionally, a comparison with a theoretical model was not considered useful in terms of this study conclusion, because most of the theoretical models only consider the volume fraction as a variation parameter, as was already demonstrated by Fal et al. [29] in a recent published study.
4. Conclusions
The electrical conductivity of two categories of oxide–PEG 400 nanocolloids was scrutinized. The nanocolloids were dispersed and manufactured using a two-step technique with mass concentration in the concentration array of 0.25 to 2.5 %wt. The experimental outcomes indicate an overall upsurge in electrical conductivity with the concentration of MgO and TiO2 NPs in PEG 400, which clearly hinges on the following features: nanoparticle structure and concentration. The most relevant augmentation was noted for suspensions with magnesium oxide, and it was around 48% for 0.25% MgO.
In any case, TiO2 + PEG 400 samples have relatively high growth in terms of electrical conductivity in similar experimental conditions. On the other hand, the dissimilarity of electrical conductivity with temperature was found to be linear for all nanocolloids, a phenomenon also noticed in PEG 400 variation.
Finally, it can be summarized that the addition of MgO nanoparticles is auspicious for the augmentation of electrical conductivity. Additionally, a few experimental models that were valid for each of the two investigated classes of nanocolloids were proposed.
The experimental outcomes were compared with similar results using other oxide nanoparticles, and no relevant similarities were noticed with regard to electrical conductivity values at ambient temperature.
Future Work
Nanocolloids with PEG 400 as the base fluid can be better choices for practical heat transfer applications at medium temperatures; one of the challenges is their stability.
Future work needs to be directed to thermophysical properties, and an analysis of the cost–benefit balance is of high relevance.
Thus, a coordinated approach to the study of liquid polyethylene glycol with different kinds of nanoparticles may deliver a good alternative to the market of new heat transfer fluids.
Author Contributions
Conceptualization, A.A.M. and E.I.C.; formal analysis, E.I.C.; investigation, E.I.C.; resources, E.I.C.; writing—original draft, E.I.C.; writing—review and editing, A.A.M. All authors have read and agreed to the published version of the manuscript.
Funding
This paper was financially supported by the “Network of excellence in applied research and innovation for doctoral and postdoctoral programs”/InoHubDoc project, co-funded by the European Social Fund financing agreement no. POCU/993/6/13/153437.
Data Availability Statement
Data can be made available on request.
Acknowledgments
The authors acknowledge the support of Technical University “Gheorghe Asachi” of Iasi within the project “Performance and excellence in postdoctoral research 2022”.
Conflicts of Interest
The authors declare no conflict of interest.
Nomenclature
| R² | R-squared value, - |
| T | Temperature, K |
| w | Mass fraction, - |
| Greek Symbols | |
| φ | Volume fraction of nanoparticles, - |
| ϕ | Mass concentration of nanoparticles, % |
| ρ | Density, kg/m3 |
| σ | Electrical conductivity, µS/cm |
| Subscripts | |
| bf | Denotes to base fluid |
| nf | Denotes to nanocolloid |
| p | Denotes to nanoparticles |
| Abbreviations | |
| EC | Electrical conductivity |
| EDL | Electrical double layer |
| EG | Ethylene glycol |
| NF | Nanofluids |
| NP | Nanoparticle |
| PEG | Polyethylene glycol |
References
- Siegel, R.; Ramasamy, S.; Hahn, H.; Zongquan, L.; Ting, L.; Gronsky, R. Synthesis, characterization, and properties of nanophase TiO2. J. Mater. Res. 1988, 3, 1367–1372. [Google Scholar] [CrossRef]
- Tang, H.; Berger, H.; Schmid, P.; Levy, F. Optical properties of anatase (TiO2). Solid State Commun. 1994, 92, 267–271. [Google Scholar] [CrossRef]
- Angayarkanni, S.; Philip, J. Effect of nanoparticles aggregation on thermal and electrical conductivities of nanofluids. J. Nanofluid 2014, 3, 17–25. [Google Scholar] [CrossRef]
- Sikdar, S.; Basu, S.; Ganguly, S. Investigation of electrical conductivity of titanium dioxide nanofluids. Int. J. Nanoparticles 2011, 4, 336–349. [Google Scholar] [CrossRef]
- Islam, R.; Shabani, B.; Andrews, J.; Rosengarten, G. Experimental investigation of using ZnO nanofluids as coolants in a pem fuel cell. Int. J. Hydrogen Energy 2017, 42, 19272–19286. [Google Scholar] [CrossRef]
- Islam, M.R.; Shabani, B.; Rosengarten, G. Electrical and thermal conductivities of 50/50 water-ethylene glycol based TiO2 nanofluids to be used as coolants in pemfuel cells. Energy Procedia 2017, 110, 101–108. [Google Scholar] [CrossRef]
- Islam, R.; Shabani, B. Prediction of electrical conductivity of TiO2 water and ethylene glycol-based nanofluids for cooling application in low temperature pem fuel cells. Energy Procedia 2019, 160, 550–557. [Google Scholar] [CrossRef]
- Kumar, R.S.; Goswami, R.; Chaturvedi, K.R.; Sharma, T. Effect of nanoparticle on rheological properties of surfactant-based nanofluid for effective carbon utilization: Capturing and storage prospects. Environ. Sci. Pollut. Res. 2021, 28, 53578–53593. [Google Scholar] [CrossRef]
- Cieśliński, J.T.; Ronewicz, K.; Smoleń, S. Measurement of temperature-dependent viscosity and thermal conductivity of alumina and titania thermal oil nanofluids. Arch. Thermodyn. 2022, 36, 35–47. [Google Scholar] [CrossRef]
- Shoghl, S.N.; Jamali, J.; Moraveji, M.K. Electrical conductivity, viscosity, and density of different nanofluids: An experimental study. Exp. Therm. Fluid Sci. 2016, 74, 339–346. [Google Scholar] [CrossRef]
- Wang, H.; Zou, C. β-Cyclodextrin modified TiO2 nanofluids to improve the stability and thermal conductivity of oil-based drilling fluids. Colloids Surf. A Physicochem. Eng. Asp. 2023, 661, 130957. [Google Scholar] [CrossRef]
- Wang, Y.; Zou, C.; Li, W.; Zou, Y.; Huang, H. Improving stability and thermal properties of TiO2 nanofluids by supramolecular modification: High energy efficiency heat transfer medium for data center cooling system. Int. J. Heat Mass Transf. 2020, 156, 119735. [Google Scholar] [CrossRef]
- Mehrabi, M.; Sharifpur, M.; Meyer, J.P. Electrical conductivity and pH modelling of magnesium oxide–ethylene glycol nanofluids. Bull. Mater. Sci. 2019, 42, 108. [Google Scholar] [CrossRef]
- Adio, S.A.; Sharifpur, M.; Meyer, J.P. Factors affecting the pH and electrical conductivity of MgO–ethylene glycol nanofluids. Bull. Mater. Sci. 2015, 38, 1345–1357. [Google Scholar] [CrossRef]
- Posner, J.D. Properties and electrokinetic behavior of non-dilute colloidal suspensions. Mech. Res. Commun. 2009, 36, 22. [Google Scholar] [CrossRef]
- Adio, S.A.; Sharifpur, M.; Meyer, J.P. Investigation into the pH and electrical conductivity enhancement of MgO—Ethylene glycol nanofluids. In Proceedings of the 15th International Heat Transfer Conference, IHTC-15, Kyoto, Japan, 10–15 August 2014. [Google Scholar]
- Chereches, M.; Bejan, D.; Chereches, E.I.; Alexandru, A.; Minea, A.A. An Experimental Study on Electrical Conductivity of Several Oxide Nanoparticle Enhanced PEG 400 Fluid. Int. J. Thermophys. 2021, 42, 104. [Google Scholar] [CrossRef]
- Maxwell, J.C. A Treatise of Electricity and Magnetism, 3rd ed.; Oxford University Press: London, UK, 1892; pp. 435–449. [Google Scholar]
- Bruggeman, D.A.G. Berechnung verschiedener physikalischer Konstanten von heterogenen Substanzen. I. Dielektrizitätskonstanten und Leitfähigkeiten der Mischkörper aus isotropen Substanzen. Ann. Phys. 1935, 24, 639–664. [Google Scholar]
- Fricke, H. A Mathematical Treatment of the Electric Conductivity and Capacity of Disperse Systems I. The Electric Conductivity of a Suspension of Homogeneous Spheroids. Phys. Rev. 1924, 24, 575–585. [Google Scholar] [CrossRef]
- Wamkam, C.T.; Opoku, M.K.; Hong, H.; Smith, P. Effects of 𝑝H on heat transfer nanofluids containing ZrO2 and TiO2 nanoparticles. Int. J. Appl. Phys. 2011, 109, 024305. [Google Scholar] [CrossRef]
- Wang, X.-J.; Li, H.; Li, X.-F.; Wang, Z.-F.; Lin, F. Stability of TiO2 and Al2O3 Nanofluids. Chin. Phys. Lett. 2011, 28, 086601. [Google Scholar] [CrossRef]
- Menbari, A.; Alemrajabi, A.A.; Ghayeb, Y. Investigation on the stability, viscosity and extinction coefficient of CuO–Al2O3/Water binary mixture nanofluid. Exp. Therm. Fluid Sci. 2016, 74, 122–129. [Google Scholar] [CrossRef]
- Babita, S.K.; Sharma, S.M. Gupta, Preparation and evaluation of stable nanofluids for heat transfer application: A review. Exp. Therm. Fluid Sci. 2016, 79, 202–212. [Google Scholar] [CrossRef]
- Liu, W.; Sun, W.; Borthwick, A.G.L.; Ni, J. Comparison on aggregation and sedimentation of titanium dioxide, titanate nanotubes and titanate nanotubes-TiO2: Influence of pH, ionic strength and natural organic matter. Colloids Surf. A Physicochem. Eng. Asp. 2013, 434, 319–328. [Google Scholar] [CrossRef]
- Fal, J.; Wanic, M.; Malick, M.; Oleksy, M.; Zyła, G. Experimental investigation of electrical conductivity of ethylene glycol containing indium oxide nanoparticles. Acta Phys. Pol. A 2019, 135, 1237–1239. [Google Scholar] [CrossRef]
- Zyła, G.; Vallejo, J.P.; Fal, J.; Lugo, L. Nanodiamonds–Ethylene Glycol nanofluids: Experimental investigation of fundamental physical properties. Int. J. Heat Mass Transf. 2018, 121, 1201–1213. [Google Scholar] [CrossRef]
- Minea, A.A. A Review on Electrical Conductivity of Nanoparticle-Enhanced Fluids. Nanomaterials 2019, 9, 1592. [Google Scholar] [CrossRef]
- Fal, J.; Sobczakb, J.; Stagraczyński, R.; Estellé, P.; Żyła, G. Electrical conductivity of titanium dioxide ethylene glycol-based nanofluids: Impact of nanoparticles phase and concentration. Powder Technol. 2022, 404, 117423. [Google Scholar] [CrossRef]
- Chereches, M.; Bejan, D.; Chereches, E.I.; Minea, A.A. Experimental studies on several properties of PEG 400 and MWCNT nano-enhanced PEG 400 fluids. J. Mol. Liq. 2022, 356, 119049. [Google Scholar] [CrossRef]
- Minea, A.A. State of the Art in PEG-Based Heat Transfer Fluids and Their Suspensions with Nanoparticles. Nanomaterials 2021, 11, 86. [Google Scholar] [CrossRef]
- Awin, E.; Sajith, V.; Sobhan, C.; Peterson, G. Electrical and thermal conductivities of dilute nanofluids—Experimental determination and parametric studies. J. Nanofluid 2016, 5, 653–660. [Google Scholar] [CrossRef]
- Chereches, E.I.; Minea, A.A. Electrical conductivity of new nanoparticle enhanced fluids: An experimental study. Nanomaterials 2019, 9, 1228. [Google Scholar] [CrossRef]
- CurveExpert Pro 2.7.3. Software, Version 2.7.3; Hyams Development: Madison, AL, USA, 2023.
Disclaimer/Publisher’s Note: The statements, opinions and data contained in all publications are solely those of the individual author(s) and contributor(s) and not of MDPI and/or the editor(s). MDPI and/or the editor(s) disclaim responsibility for any injury to people or property resulting from any ideas, methods, instructions or products referred to in the content. |
© 2023 by the authors. Licensee MDPI, Basel, Switzerland. This article is an open access article distributed under the terms and conditions of the Creative Commons Attribution (CC BY) license (https://creativecommons.org/licenses/by/4.0/).








