Next Article in Journal
Ligand Size and Carbon-Chain Length Study of Silver Carboxylates in Focused Electron-Beam-Induced Deposition
Previous Article in Journal
Redox-Enhanced Photoelectrochemical Activity in PHV/CdS Hybrid Film
 
 
Font Type:
Arial Georgia Verdana
Font Size:
Aa Aa Aa
Line Spacing:
Column Width:
Background:
Article

Hybrid Nanomaterial of Graphene Oxide Quantum Dots with Multi-Walled Carbon Nanotubes for Simultaneous Voltammetric Determination of Four DNA Bases

1
Department of Physical and Environmental Sciences, University of Toronto Scarborough, 1265 Military Trail, Toronto, ON M1C 1A4, Canada
2
Department of Chemistry, University of Toronto, 80 St. George Street, Toronto, ON M5S 3H6, Canada
*
Authors to whom correspondence should be addressed.
These authors contributed equally to the work.
Nanomaterials 2023, 13(9), 1509; https://doi.org/10.3390/nano13091509
Submission received: 28 March 2023 / Revised: 19 April 2023 / Accepted: 25 April 2023 / Published: 29 April 2023
(This article belongs to the Topic Fabrication of Hybrid Materials for Catalysis)

Abstract

In this proof-of-concept study, a novel hybrid nanomaterial-based electrochemical sensor was developed for the simultaneous detection of four DNA bases. For the modification of the working electrode surface, graphene oxide quantum dots (GOQDs) were synthesized using a solvothermal method. GOQDs were then used for the preparation of a hybrid nanomaterial with multi-walled carbon nanotubes (GOQD-MWCNT) using a solvothermal technique for the first time. Transmission electron microscopy (TEM) was used to characterize the GOQDs-MWCNTs. A glassy carbon electrode (GCE) was modified with the GOQDs-MWCNTs using Nafion™ to prepare a GOQD-MWCNT/GCE for the simultaneous determination of four DNA bases in phosphate buffer solution (PBS, pH 7.0) using differential pulse voltammetry (DPV). The calibration plots were linear up to 50, 50, 500, and 500 µM with a limit of detection at 0.44, 0.2, 1.6, and 5.6 µM for guanine (G), adenine (A), thymine (T) and cytosine (C), respectively. The hybrid-modified sensor was used for the determination of G, A, T, and C spiked in the artificial saliva samples with the recovery values ranging from 95.9 to 106.8%. This novel hybrid-modified electrochemical sensor provides a promising platform for the future development of a device for cost-effective and efficient simultaneous detection of DNA bases in real biological and environmental samples.

1. Introduction

The key to the identity of any living organism lies in its genetic code, which is comprised of deoxyribonucleic acid (DNA). DNA holds the instructions for the growth, development, reproduction, and functioning of all organisms. Although the genetic instructions from DNA result in the formation of complex protein structures, DNA can ultimately be broken down into one of the four nitrogen derivative nucleobases (adenine (A), guanine (G), cytosine (C), and thymine (T)). These four nucleobases subsequently fall into two subcategories: purines (paired together with two hydrogen bonds (T and A)) and pyrimidines (paired together with three hydrogen bonds (G and C) [1]. DNA naturally undergoes mutations due to environmental factors, aging, and lifestyle behaviours such as diet induced biochemical alteration and smoking [2]. Common mutations are mismatched nitrogen derivative nucleobases due to erroneous duplication of nucleosides that are undamaged, adducts that form on DNA or breakage of single and double strands [2]. With mutations in DNA, the range of genetic diseases is endless, such as cancer [3,4]. There has yet to be a cure for these genetically inherited diseases; thus, sensitive detection of the respective nucleobases may assist in the development of early anti-cancer agents that target specific DNA bases such as cis-platin. Furthermore, several metabolic diseases resulting in abnormal levels of DNA bases such as HIV/AIDS, gout, Lesch–Nyhan disease, and prostatitis can be diagnosed earlier [5,6].
To date, there are a wide variety of analytical methods that can detect DNA. One such method is ultra-high-performance liquid chromatography enabled with electrospray ionization and tandem mass spectrometry. These methods were used to simultaneously detect 13 nucleosides and nucleobases in Cordyceps sinensis [7]. Capillary electrophoresis was used to detect A and C with high sensitivity [8,9,10]. Chemical luminescence studies made molecular recognition and DNA detection simple, sensitive and easy [10]. While Raman spectroscopy aided nucleotide identification and DNA sequencing [11]. Gas chromatography, spectrophotometric methods and high-performance liquid chromatography detected DNA bases in several different sample matrices [12,13,14]. These sophisticated analytical methods provided excellent quantification results; however, they may not be cost- and time-effective as the operations are complex and time consuming, requiring skilled technicians, making the cost for running these instruments expensive for routine analyses.
With the huge commercial success of glucose biosensors, electrochemistry has gained attention for the analysis of other biomolecules with high sensitivity [15]. Furthermore, due to the simplicity of executing operations, portable devices have been developed to support electrochemical analysis at point-of-care sites [15]. As a result of non-specific adsorption issues, biosensors are generally challenged with the adsorption of the oxidized DNA products on the surface of the electrode. Thus, researchers have been attempting to address the issue of non-specific adsorption [16]. Oliveira-Brett et al. [17] reported the electrochemical oxidation of both pyrimidine and purine compounds using a glassy carbon electrode (GCE) in basic conditions. A linear range of detection (from 1 to 20 µM for pyrimidines and from 0.2 to 10 µM for purines) was established for the four nucleobases. GCE implements both the ceramic and glassy properties of graphite, which include hardness, low electrical resistance, extreme resistance to chemical contamination, low density and friction, impermeability to gases and liquids, high-temperature resistance, and low thermal resistance, making GCE popular in electrochemistry. Suprun et al. reported the electrochemical behavior of DNA bases on carbon electrodes [18]. Arul et al. used a modified GCE with AgNPs embedded covalent organic framework for the simultaneous determination of DNA bases [19]. Carbon nanotubes (CNTs) pose great chemical stability. When used for the modification of sensor surfaces, they aid in promoting electron transfer. Since 1991, the mechanical properties and electrical conductivity of CNTs have been intensively studied [20]. To date, CNTs can be found in the forms of either multi-walled carbon nanotubes (MWCNTs) or single-walled carbon nanotubes (SWCNTs). MWCNTs contain rolled-up graphene tubules that are centric to each other. SWCNTs, on the other hand, possess only one graphite sheet rolled up [21]. In order to prepare a MWCNT-modified graphite paste electrode (MWCNT-GPE), MWCNTs are usually mixed with a graphite paste that contains mineral oil, bromoform, Nafion™, or liquid paraffin, and then packed into a glass or Teflon tube with a copper wire for electrical contact [22]. These electrodes could then be utilized to probe electrocatalytic and bioelectrochemical reactions [22,23,24]. CNTs are also widely used in the development of sensing surfaces in field-effect transistors and tips in scanning probe microscopy [25,26].
The latest research frontiers in carbon-based nanomaterials, carbon dots (CDs), graphene quantum dots (GQDs) and graphene oxide quantum dots (GOQDs) have opened new horizons in the field of electrochemical sensors. These nanomaterials present an excellent opportunity for biological sensing as they have great biocompatibility and intrinsically low toxicity [27]. They possess abundant edge sites for functionalization making them versatile as they present different possibilities for modification with attractive surface chemistries and other nanocomposites/nanomaterials. Furthermore, they maintain excellent electronic properties and large electro-active surface areas while being highly soluble in many solvents and relatively inexpensive to produce [28].
GOQDs and CDs can be used as electrode surface nanocomposites or signal tags for developing electrochemical bio-sensing strategies [29]. Due to its size, GOQDs have more available edges, surface active sites, and a larger specific surface area than CDs. However, due to the long synthesis process of GOQDs, there is minimal commercial availability. Nevertheless, GOQDs as zero-dimensional graphene can be a great candidate for optical and electrochemical sensing applications [28,30].
In our previous studies, we modified GCEs with GO/MWCNTs [5] and GO nanoribbons in chitosan [31] for the simultaneous determination of four DNA bases. We have also shown that incorporating sugarcane biochar along with methylene blue in a graphite paste electrode can enhance the sensing of DNA bases using biocompatible material [6]. Researchers have also coupled carbon fiber microelectrodes with fast-scan cyclic voltammetry to detect DNA bases [32]. Other reports included the use of epitaxial graphene to detect DNA bases [33]. Herein, GOQDs were synthesized and utilized for the development of a novel MWCNT/GOQDS hybrid nanomaterial via a solvothermal technique. The hybrid nanomaterial was incorporated into Nafion™ polymer and drop-cast onto a GCE. Differential pulse voltammetry (DPV) was employed in phosphate buffer solution (PBS, pH 7.0) for the simultaneous determination of G, A, C, and T. After the optimization of determination conditions, the hybrid nanomaterial-modified sensor was used for the determination of G, A, C, and T in artificial saliva using the standard addition method. This nanomaterial presents an opportunity to develop inexpensive, biocompatible materials that can be made into in vivo sensors that can be easily functionalized based on the analyte being sensed [27]. Ultimately, this sensor can be developed into a point-of-care device that can monitor, in real time, diseases that result in DNA nucleobase imbalances such as HIV/AIDS, gout, Lesch–Nyhan disease, and prostatitis [5,6].

2. Materials and Methods

2.1. Materials and Reagents

Guanine (G), adenine (A), thymine (T), cytosine (C), Nafion™, NaNO3, NaOH, potassium ferricyanide(III) (K3[Fe(CN)6]), potassium ferrocyanide(II) trihydrate (K4[Fe(CN)6]·3H2O), potassium permanganate (KMnO₄), acetic acid, HCl, and H2SO4 were all purchased from Sigma-Aldrich (Oakville, ON, Canada). Phosphate electrolytes (from pH 3.0 to 6.0) and phosphate buffer solutions (PBS, from pH 6.0 to 8.0) of 0.2 M phosphoric acid (H3PO4) (Fischer Scientific, Mississauga, ON, Canada) were prepared according to the previous protocols using a solution of concentrated NaOH to adjust the pH [5,31]. The pH for each solution was measured prior to conducting the experiment. Multi-walled carbon nanotubes (MWCNTs, 13–18 nm) were purchased from Cheap Tubes Inc. (Cambridgeport, VT, USA). For the cleaning of GCE surfaces, various sizes of alumina powder at 1.0 µm, 0.3 µm, and 0.05 µm were obtained from CH Instrumental Inc. (Austin, TX, USA). Solutions of the aforementioned four DNA bases were prepared fresh by dissolving the compounds in a 40:1 deionized water:concentrated NaOH solution which was sonicated for 5 min. The final concentrations of DNA bases were 0.01 M for G and A and 0.05 M for T and C. All other chemicals and reagents were purchased from Sigma-Aldrich (Oakville, ON, Canada) and used without further purification. All stock analyte solutions were prepared using the sterile 18.2 µΩ ultra-pure water obtained from a Cascada LS water purification system, which is equipped with a UV-lamp and a 0.2 μm bacterial filter (Pall Co., Mississauga, ON, Canada).

2.2. Instrumentation

All electrochemical measurements were performed at room temperature using Autolab Potentiostat/Galvanostat (PGSTAT 302N, Metrohm AG, Herisau, Switzerland) controlled by NOVA™ 2.1.2 (Metrohm AG, Herisau, Switzerland) software. The electrochemical cell was composed of the GCE as the working electrode (diameter 2 mm), a reference electrode (saturated Ag/AgCl, 3 M KCl), and a platinum wire as the counter electrode. Cyclic voltammograms were run at bare GCE in a solution containing 5 mM of both K3[Fe(CN)6] and K4[Fe(CN)6] with 100 mM of KCl in 0.2 M PBS solution (pH 7.0) at a scan rate of 100 mV/s in order to estimate the formal potential which was found to be 0.23 V (Figure S1) [34]. Differential pulse voltammetry (DPV) was conducted in a potential window from 0 V to +1.5 V at a step potential of 5 mV, a modulation amplitude of 25 mV and modulation time of 0.05 s with an interval time of 0.5 s. All voltammograms were processed by smoothing and baseline correction with a moving average of window size 1 using NOVATM 2.1.2 software. X-ray photoelectron spectroscopy (XPS) was performed using a Thermo Scientific K-Alpha spectrometer (Mississauga, ON, Canada) equipped with a monochromated Al Kα X-ray source (1486.6 eV), using an acquisition angle of 90° with a 20 eV pass energy, and the acquisition chamber at a pressure of 10–8 mbar (Figure S2). A VWR SB70P pH meter (Thermo-Fisher, Mississauga, ON, Canada) was used to measure the pH of the electrolyte solutions prior to use for each experiment. All mixtures were sonicated using a VWR B2500A-DTH ultra-sonicator (Thermo-Fisher, Mississauga, ON, Canada). The transmission electron microscopy (TEM) images were collected by a Hitachi H-7500 transmission electron microscope (Hitachi, Chiyoda, Tokyo, Japan). Atomic force microscopy (AFM) of the GOQD was performed using NanoBrook Omni (Brookhaven Instruments, Holtsville, NY, USA). AFM images were taken in the Quantitative Imaging (QI) mode using a SNL-10A tip. The spring constant of the cantilever was equal to 0.35 N m1 with a 2 nm tip radius, and the setpoint for imaging was 2 nN.

2.3. Synthesis of GOQDs

First, GO was prepared from graphite using a modified Hummer’s method [35] as shown in Scheme 1. Briefly, 3 g of NaNO3 was dissolved in 150 mL of concentrated sulfuric acid. Subsequently, 3 g of graphite was added to the mixture and stirred. A desired amount (18 g) of KMnO4 was added to the mixture and stirred for 4 h at 10 °C. As the mixture was stirred, the colour changed from purple to brown, indicating the oxidation of graphite. Once the stirring was completed, 300 mL of deionized water was added to stop the reaction. The mixture was then centrifuged at 10,000 rpm for 15 min to collect the product. The product was washed and centrifuged 3 times with ultra-pure water and dried at 70 °C overnight. The synthesis of GOQDs was adapted from Liu et al. [36]. Briefly, 500 mg of the GO was mixed with 5 g potassium permanganate and then 10 mL of concentrated sulfuric acid step by step under magnetic stirring. The mixture was transferred to an ice bath and then 5 mL of concentrated nitric acid was added slowly. The mixture was transferred to a 25 mL Teflon-lined stainless-steel autoclave container and stirred. The final mixture was kept at 180 °C overnight in the oven (Thermo-Fisher, Mississauga, ON, Canada). The final product was transferred to an ice bath and 50 mL of ultra-pure water was added. The final product was separated from a solution with a centrifuge (12,000 rpm for 1 h, Millipore-Sigma, Oakville, ON, Canada) and washed with ultra-pure water three times and separated. Finally, GOQDs were dried overnight at 70 °C.

2.4. Synthesis of GOQD-MWCNT Hybrid Nanomaterial

The GOQD-MWCNT hybrid nanomaterial was prepared (Scheme 1) by mixing 10 mg of GOQDs and 50 mg MWCNTs with 5 mL of ultra-pure water in a scintillation vial. The mixture was placed in an ultrasonic bath for 15 min at 40 °C, which was then transferred to a Teflon-lined stainless-steel autoclave container and kept at 180 °C for 24 h. The resulting compound was washed with ultra-pure water three times and separated from a solution with a centrifuge (12,000 rpm for 1 h). Finally, the GOQD/MWCNT hybrid nanomaterial was dried overnight at 70 °C.

2.5. Modification of GCE Surface with GOQD-MWCNT

GCEs (2 mm in diameter) were polished using alumina powder paste of differing sizes (1.0, 0.3 to 0.05 µm) on a Nylon polishing pad until the mirror was shiny. The GCEs were then sonicated in deionized water followed by ethanol for 5 min to remove any adhering alumina. The electrodes were then electrochemically cleaned using CV (15 cycles) in 1.0 M H2SO4 solution in a potential window of −1.5 V to 1.5 V at a scan rate of 100 mV/s (Figure S3A). Then, 2 mg of this GOQD-MWCNT hybrid nanomaterial was dispersed in 20 µL of Nafion™ (1.5% v/v). Next, 1 µL of the prepared GOQD- MWCNT in Nafion™ was drop-cast onto the surface of the activated GCE and dried under heat for 30 min to form a stable layer on the GCE surface. Before each measurement, the nanocomposite-modified GCEs were electrochemically equilibrated by running 30 cycles of CV in 0.2 M PBS (pH 7.0) from −0.8 V to 1.6 V at 100 mV/s.

2.6. Artificial Saliva Sample Preparation

For the preparation of artificial saliva samples, a method described by Madsen et al. [37] was followed. An aliquot (25 mL) of artificial saliva solution (2.5 mM NaHCO3, 7.4 mM NaCl, 10 mM KCl, 2 mM CaCl2·2H2O, 6.4 mM NaH2PO4·2H2O in deionized water) was prepared. An aliquot (400 μL) of the artificial saliva was then diluted with 1600 μL of 10 mM PBS solution (pH 7.0). The four DNA base solutions were then used to spike the diluted samples using the standard addition method.

3. Results and Discussion

3.1. TEM and AFM Characterization

TEM was used for the characterization of the GOQD, the MWCNTs and the GOQDs-MWCNT hybrid nanomaterial. The samples for TEM images were prepared by dispersing the nanocomposite in iso- propanol and an aliquot (5 µL) of the suspension was put on the carbon film with 300 mesh and copper grid (CF300-CU). The results are shown in Figure 1. Figure 1A,B show the TEM of MWCNTs with different magnifications. Figure 1E,F show the TEM of GOQD-MWCNT with different magnifications. In comparison with the TEM images of MWCNTs alone, GOQD-MWCNT images displayed the attached clusters of GOQDs, such as small nanoparticles on the surface of MWCNTs as indicated by arrows. Based on the TEM images, we estimated that the sizes of the GOQDs were approximately 15–20 nm in diameter, which agreed with previous literature [29,38,39]. For comparison, the TEM image of GOQDs is shown in Figure 1C. Figure 1D shows the AFM characterization of the GOQD, which was prepared by dispersing the GOQD in isopropanol, then adding a 10 μL aliquot onto a glass slide and allowing it to dry. The lateral sizes of GOQDs are in the range of 25–45 nm. The AFM image shows consistent sizing with the TEM images.

3.2. Comparison Study

The electrochemical properties of the GOQD-MWCNT/GCE were investigated using DPV in 0.2 M PBS (pH 7.0). Figure 2 shows the typical DPV curves of bare GCE, MWCNT/GCE and GOQD- MWCNT/GCE in the presence of a mixture of G, A, T and C. The GOQD-MWCNT/GCE showed a significant increase in the peak currents of G, A, T and C, in comparison with those obtained using a bare GCE and MWCNT/GCE. Thus, this was clear evidence for the high electrocatalytic activity of GOQD-MWCNT in the electrochemical determination of G, A, T and C. The enhanced electrocatalytic activity of GOQD-MWCNT could be ascribed to the synergistic effect of the GOQDs with the MWCNTs. Due to the unique properties of GOQDs, the synergistic effect depends on the shape, size and high surface area of immobilized GOQDs on the surface of MWCNTs [40].

3.3. pH Effect

Using the GOQD-MWCNT/GCE, the effect of the pH on the simultaneous determination of the four DNA bases was studied. Figure 3A shows the DPVs of the DNA bases spiked (16 µM G, A; 160 µM T, C) under various pH conditions ranging from pH 3.0 to 8.0. Based on this Figure, as the pH increased, the peak potentials of the analytes shifted to more negative values. This shift is caused by protons’ involvement in the analytes’ electrooxidation mechanism, which results in changes in their oxidation peak potentials [5,31,41,42,43,44,45]. This highlights the importance of pH control in electrochemical measurements, particularly when detecting proton-involved analytes. Figure 3B demonstrates the linear relationship between the oxidation potential (Ep) and pH for the four DNA bases. The slope of the linear relationship indicated the relative number of protons and electrons that were exchanged in the oxidation reaction of the DNA bases [5,31,41]. The equations for these relationships and pH of the four DNA bases are shown in Figure 3B. Based on the equations, the observed slopes for G, A, T and C were 0.0562, 0.0660, 0.0597, and 0.0763 V/pH, respectively. These values were compatible with value 𝑚 of the Nernstian slope (0.059 𝑛mV/pH [42,43,44,45], where m and n are the numbers of protons and electrons exchanged, respectively). The results indicated a proton-coupled redox process with an equivalent number of protons and electrons being exchanged at GOQD-MWCNT/GCE.
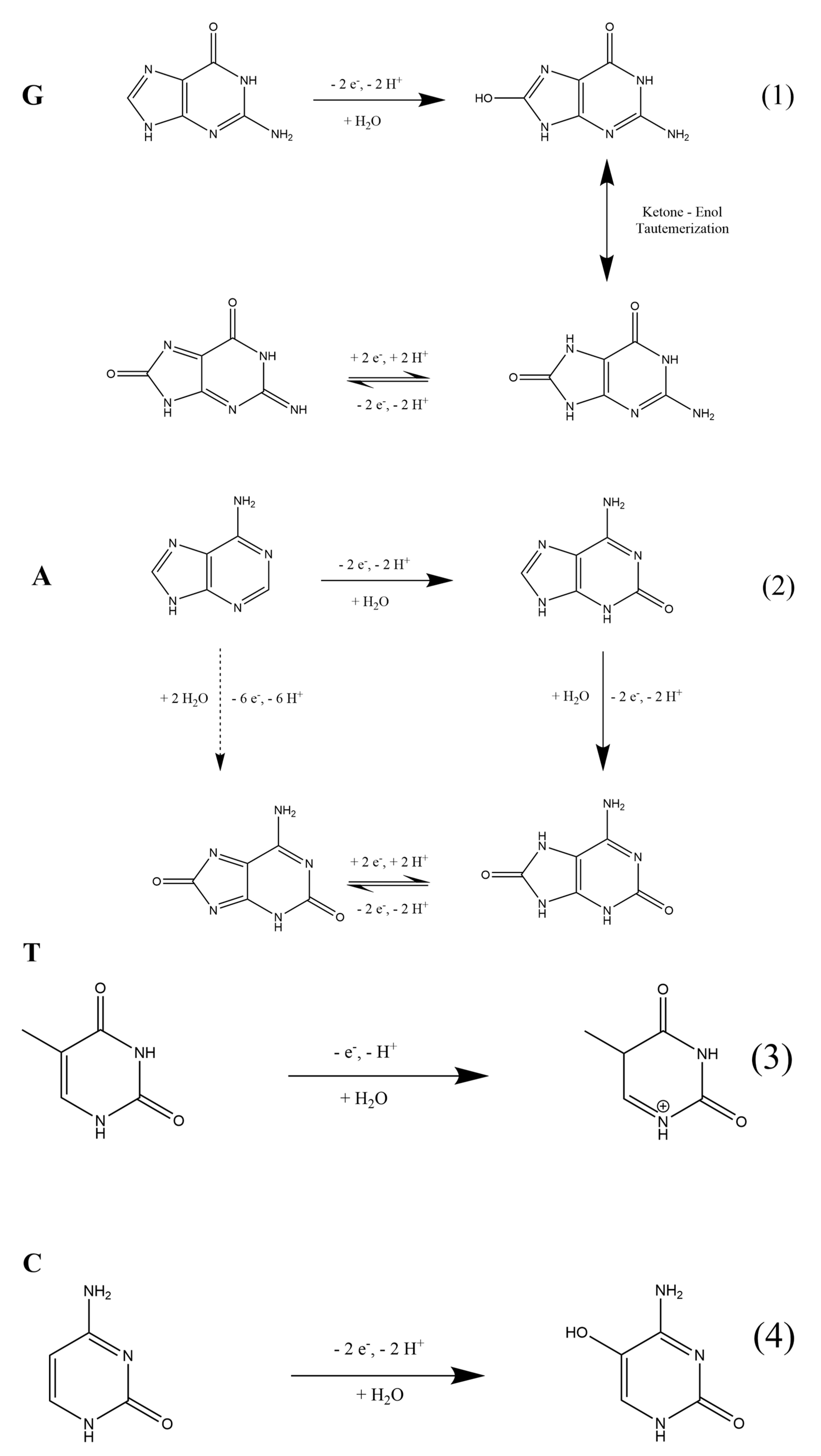
Based on these results, the proposed electrooxidation mechanisms for the four DNA bases are shown in Scheme 2, Equations (1)–(4), which are in agreement with the previously reported results in the literature [5,31,46,47,48,49]. Additionally, based on Figure 3A, the voltammogram displayed well-defined peaks pH 7.0 with high current intensities for G, A, T and C at low oxidation potentials (except pH 8.0) compared with the results obtained using other pH conditions. In addition, pH 7.0 was close to the physiological pH of 7.4, thus, pH 7.0 was chosen as the optimum pH condition for the simultaneous determination of four DNA bases using GOQD-MWCNT/GCE.

3.4. Interference Study

Four DNA bases can coexist at varying degrees in different real-life samples such as urine, sperm DNA, serum, and saliva [5,32,50,51]. Furthermore, other metabolites may coexist in these real samples, which may interfere with the detection of these DNA bases such as glucose, ascorbic acid, and cysteine [50]. Hence, the study of the standard addition of each DNA base is important to see whether the biomolecule can disrupt the detection of the other species. In all experiments conducted, the concentration of one species was increased while the others were kept at a high constant concentration in the solution throughout to test the electrooxidation processes of each analyte. This standard addition study for G, A, T and C is shown in Figure 4A–D. Based on these results, the peak current of one analyte increased in a concentration-dependent manner while the peak current signals of the other three bases remained unaffected and constant with a relative standard deviation of ±5.0% (n = 3). We concluded that the oxidation processes of four DNA bases took place without interfering with each other using GOQD-MWCNT/GCE. Additionally, an interference study was conducted using varying concentrations of ascorbic acid and glucose to determine whether these species interfered with the detection of the four DNA bases (Figure S4). As shown in Figure S4, even in the cases where either ascorbic acid or glucose were in excess of the other DNA bases, negligible interference was observed for the detection of the four DNA bases.

3.5. Calibration Study

DPV measurements were performed to explore the relationship between the peak currents and concentrations of G, A, T and C. The concentrations of four analytes were increased in a stepwise manner, and the measurements were stopped when the saturation of peak current signals was reached. The voltammograms are shown in Figure 5A with the corresponding calibration curves and equations in Figure 5B–E. For each analyte, the peak currents were subtracted by the background current of GOQD- MWCNT/GCE to produce ΔI, and ΔI was plotted against the concentration of the analytes. All four calibration curves showed one segment. LOD was calculated by using the equation 3𝑆D/m where SD is the standard deviation of the blank voltammograms (n = 10) and m is the slope of the curve obtained from the calibration curve. In addition, the repeatability of the GOQD/MWCNT/GCE was investigated using the DPV technique for 10 consecutive trials while simultaneously detecting G, A, T, and C. The results in Figure 6 show that the relative standard deviations for G, A, T, and C were 2.36, 2.02, 2.31, and 1.58%, respectively. Furthermore, the GOQD/MWCNT/GCE stability was investigated by measuring DPV signals for simultaneous detection of G, A, T, and C for 6 months in 0.2 M phosphate electrolyte solution (pH 7.0). The same concentration of DNA bases was used to record the DPV signals. The retained peak potential and peak current (Ipa) values for G, A, T, and C were 98.3, 97.6, 98.1, and 97.5%, highlighting the excellent stability of the PBNS-PANI/GPEs. These findings support the GOQD/MWCNT/GCE’s excellent stability and repeatability in the simultaneous determination of G, A, T, and C.
Table 1 summarizes the analytical performance of the modified electrode in comparison with similar sensors reported in recent literature. As shown in this table, three of the recently reported modified electrodes were used for the simultaneous determination of only G and A. We observed that the GOQD-MWCNT/GCE could provide satisfactory linear range and LOD in comparison with the other modified electrodes.

3.6. Artificial Saliva Sample Analyses

Artificial saliva solutions were used for the preparation of the spiked solutions that included four DNA bases. The standard addition method was used to quantify G, A, T and C in three separate trials. The results are shown in Table 2 with a good recovery value which ranged from 95.9 to 106.8% (n = 3). The good recovery values obtained were a promising indication of minimal interference from interfering molecules of various salts present in artificial saliva. These results demonstrated that the GOQD-MWCNT/GCE had good potential for the analyses of DNA bases in real biological fluids.

4. Conclusions

In this proof-of-concept work, the GOQD-MWCNT hybrid nanomaterial was developed and cast on the GCE surface using Nafion™. To the best of our knowledge, this hybrid nanomaterial was used as an electrochemical sensor surface for the first time. The modified electrode was used for the simultaneous oxidation of four DNA bases: G, A, T, and C. The calibration curves were linear up to 50.0 µM for both G and A and up to 500.0 µM for e T and C. The LODs were 0.44, 0.2, 1.6, and 5.6 µM for G, A, T, and C, respectively. Finally, the GOQD-MWCNT/GCE was used for the simultaneous determination of spiked G, A, T, and C in the artificial saliva samples with the recovery values ranging from 95.9 to 106.8%. We envisage that the electrochemical sensor provides a promising platform for the development of a rapid prescreening tool for the simultaneous detection of DNA bases in clinical diagnostic studies as well as in the quality control assessment departments of the pharmaceutical and food industries.

Supplementary Materials

The following supporting information can be downloaded at: https://www.mdpi.com/article/10.3390/nano13091509/s1, Figure S1: Cyclic voltammogram of a bare GCE in a solution of 5 mM of both K3[Fe(CN)6] and K4[Fe(CN)6] with 100 mM of KCl in 0.2 M PBS (pH 7.0). The formal potential was estimated as 0.23 V vs. Ag/AgCl (using Ef = (Eo + Er)/2), where Eo = 0.30 V and Er = 0.15 V.; Figure S2: XPS spectra of (A) carbon, (B) oxygen, and (C) fluorine. The red spectra refer to the experimental acquisition while the green spectra refer to the background acquisition.; Figure S3: (A) Cyclic voltammograms showing the cleaning of the bare GCE in 1 M H2SO4 at a scan rate of 100 mV/s. The first two and last two scans are shown. (B) Cyclic voltammogram of a bare GCE in 0.2 M PBS (pH 7.0) at a scan rate of 1 V/s. The electrode capacity values calculated for the oxidation and reduction peak were 1.63 × 10−7 C and 2.33 × 10−6 C, respectively.; Figure S4: Interference study of G (40 μM), A (40 μM), T (400 μM), and C (400 μM) while varying the concentrations of (A) ascorbic acid and (B) glucose from 267 to 667 μM at GOQDMWCNT/GCE in 0.2 M PBS (pH 7.0).

Author Contributions

Conceptualization, Q.H., C.R., M.N. and K.K.; methodology, C.R. and M.N.; writing—original draft preparation, Q.H, M.N. and K.K.; writing—review and editing, Q.H., M.N. and K.K.; visualization, Q.H.; supervision, M.N. and K.K.; project administration, M.N., and K.K.; funding acquisition, K.K. All authors have read and agreed to the published version of the manuscript.

Funding

This work was supported by the Canada Research Chair Tier-2 award to K. Kerman for “Bioelectrochemistry of Proteins” (Project No. 950-231116), the Ontario Ministry of Research and Innovation (Project No. 35272), Discovery Grant (Project No. RGPIN-2020-07164) from the Natural Sciences and Engineering Research Council of Canada (NSERC), and the Canada Foundation for Innovation (Project No. 35272).

Data Availability Statement

The data presented in this study are available on request from the corresponding author.

Acknowledgments

The authors would like to thank Durga Acharya from the Centre for the Neurobiology of Stress in the University of Toronto Scarborough for their technical assistance with SEM studies. We would also like to thank Rana Sodhi from Surface Interface Ontario for his assistance with conducting the XPS experiment. We would also like to especially thank Yilei Xue and Ruby Sullan from the University of Toronto Scarborough for their assistance in conducting the AFM imaging.

Conflicts of Interest

The authors declare no conflict of interest.

References

  1. Ivandini, T.A.; Honda, K.; Rao, T.N.; Fujishima, A.; Einaga, Y. Simultaneous Detection of Purine and Pyrimidine at Highly Boron-Doped Diamond Electrodes by Using Liquid Chromatography. Talanta 2007, 71, 648–655. [Google Scholar] [CrossRef] [PubMed]
  2. Ng, K.L.; Khor, S.M. Graphite-Based Nanocomposite Electrochemical Sensor for Multiplex Detection of Adenine, Guanine, Thymine, and Cytosine: A Biomedical Prospect for Studying DNA Damage. Anal. Chem. 2017, 89, 10004–10012. [Google Scholar] [CrossRef] [PubMed]
  3. Xiao, F.; Zhao, F.; Li, J.; Liu, L.; Zeng, B. Characterization of Hydrophobic Ionic Liquid-Carbon Nanotubes-Gold Nanoparticles Composite Film Coated Electrode and the Simultaneous Voltammetric Determination of Guanine and Adenine. Electrochim. Acta 2008, 53, 7781–7788. [Google Scholar] [CrossRef]
  4. Lin, L.; Liu, Y.; Tang, L.; Li, J. Electrochemical DNA Sensor by the Assembly of Graphene and DNA-Conjugated Gold Nanoparticles with Silver Enhancement Strategy. Analyst 2011, 136, 4732. [Google Scholar] [CrossRef]
  5. Wang, S.; Ferrag, C.; Noroozifar, M.; Kerman, K. Simultaneous Determination of Four DNA Bases at Graphene Oxide/Multi-Walled Carbon Nanotube Nanocomposite-Modified Electrode. Micromachines 2020, 11, 294. [Google Scholar] [CrossRef] [PubMed]
  6. Hassan, Q.; Meng, Z.; Noroozifar, M.; Kerman, K. Methylene Blue-Modified Biochar from Sugarcane for the Simultaneous Electrochemical Detection of Four DNA Bases. Chemosensors 2023, 11, 169. [Google Scholar] [CrossRef]
  7. Zong, S.Y.; Han, H.; Wang, B.; Li, N.; Dong, T.T.X.; Zhang, T.; Tsim, K.W.K.; McPhee, D.J. Fast Simultaneous Determination of 13 Nucleosides and Nucleobases in Cordyceps Sinensis by UHPLC-ESI-MS/MS. Molecules 2015, 20, 21816–21825. [Google Scholar] [CrossRef]
  8. Friedeck, D.; Adam, T.; Bartk, P. Capillary Electrophoresis for Detection of Inherited Disorders of Purine and Pyrimidine Metabolism: A Selective Approach. Electrophoresis 2002, 23, 565–571. [Google Scholar] [CrossRef]
  9. Wang, P.; Ren, J. Separation of Purine and Pyrimidine Bases by Capillary Electrophoresis Using β-Cyclodextrin as an Additive. J. Pharm. Biomed. Anal. 2004, 34, 277–283. [Google Scholar] [CrossRef]
  10. Li, T.; Li, B.; Dong, S. Aptamer-Based Label-Free Method for Hemin Recognition and DNA Assay by Capillary Electrophoresis with Chemiluminescence Detection. Anal. Bioanal. Chem. 2007, 389, 887–893. [Google Scholar] [CrossRef]
  11. Zhu, Z.; Zhan, L.; Hou, C.; Wang, Z. Nanostructured Metal-Enhanced Raman Spectroscopy for DNA Base Detection. IEEE Photonics J. 2012, 4, 1333–1339. [Google Scholar] [CrossRef]
  12. Huang, Q.; Kaiser, K.; Benner, R. A Simple High Performance Liquid Chromatography Method for the Measurement of Nucleobases and the RNA and DNA Content of Cellular Material. Limnol. Oceanogr. Methods 2012, 10, 608–616. [Google Scholar] [CrossRef]
  13. Brohi, R.O.Z.; Khuhawar, M.Y.; Channa, A.; Laghari, A.J.; Abbasi, K. Gas Chromatographic Determination of Purines and Pyrimidines from DNA Using Ethyl Chloroformate as Derivatizing Reagent. Pakistan J. Anal. Environ. Chem. 2016, 17, 50–57. [Google Scholar] [CrossRef]
  14. Brohi, R.O.Z.Z.; Khuhawar, M.Y.; Khuhawar, T.M.J. GC-FID Determination of Nucleobases Guanine, Adenine, Cytosine, and Thymine from DNA by Precolumn Derivatization with Isobutyl Chloroformate. J. Anal. Sci. Technol. 2016, 7, 10. [Google Scholar] [CrossRef]
  15. Tamiya, E. Portable Electrochemical DNA Sensors Based on Gene Amplification Reactions to Screen and Identify Pathogen and SNPs. Sensors 2022, 22, 1865. [Google Scholar] [CrossRef] [PubMed]
  16. Lichtenberg, J.Y.; Ling, Y.; Kim, S. Non-Specific Adsorption Reduction Methods in Biosensing. Sensors 2019, 19, 2488. [Google Scholar] [CrossRef]
  17. Oliveira-Brett, A.M.; Piedade, J.A.P.; Silva, L.A.; Diculescu, V.C. Voltammetric Determination of All DNA Nucleotides. Anal. Biochem. 2004, 332, 321–329. [Google Scholar] [CrossRef]
  18. Suprun, E.V.; Kutdusova, G.R.; Khmeleva, S.A.; Radko, S.P. Towards deeper understanding of DNA electrochemical oxidation on carbon electrodes. Electrochem. Commun. 2021, 124, 106947. [Google Scholar] [CrossRef]
  19. Arul, P.; Huang, S.T.; Gowthaman, N.S.; Shankar, S. Gowthaman, Sekar Shankar, Simultaneous electrochemical determination of DNA nucleobases using AgNPs embedded covalent organic framework. Microchimica Acta 2021, 188, 358. [Google Scholar] [CrossRef]
  20. Wang, J.; Musameh, M. Carbon Nanotube/Teflon Composite Electrochemical Sensors and Biosensors. Anal. Chem. 2003, 75, 2075–2079. [Google Scholar] [CrossRef]
  21. Banks, C.E.; Compton, R.G. New Electrodes for Old: From Carbon Nanotubes to Edge Plane Pyrolytic Graphite. Analyst 2006, 131, 15–21. [Google Scholar] [CrossRef]
  22. Wang, J. Carbon-Nanotube Based Electrochemical Biosensors: A Review. Electroanalysis 2005, 17, 7–14. [Google Scholar] [CrossRef]
  23. Hashemi, P.; Dankoski, E.C.; Petrovic, J.; Keithley, R.B.; Wightman, R.M. Voltammetric Detection of 5-Hydroxytryptamine Release in the Rat Brain. Anal. Chem. 2009, 81, 9462–9471. [Google Scholar] [CrossRef] [PubMed]
  24. Swamy, B.E.K.; Venton, B.J. Carbon Nanotube-Modified Microelectrodes for Simultaneous Detection of Dopamine and Serotonin in Vivo. Analyst 2007, 132, 876–884. [Google Scholar] [CrossRef] [PubMed]
  25. Oh, J.; Yoo, G.; Chang, Y.W.; Kim, H.J.; Jose, J.; Kim, E.; Pyun, J.C.; Yoo, K.H. A Carbon Nanotube Metal Semiconductor Field Effect Transistor-Based Biosensor for Detection of Amyloid-Beta in Human Serum. Biosens. Bioelectron. 2013, 50, 345–350. [Google Scholar] [CrossRef] [PubMed]
  26. Stevens, R.M.; Nguyen, C.V.; Meyyappan, M. Carbon Nanotube Scanning Probe for Imaging in Aqueous Environment. IEEE Trans. Nanobioscience 2004, 3, 56–60. [Google Scholar] [CrossRef]
  27. Kumar, Y.R.; Deshmukh, K.; Sadasivuni, K.K.; Pasha, S.K.K. Graphene Quantum Dot Based Materials for Sensing, Bio-Imaging and Energy Storage Applications: A Review. RSC Adv. 2020, 10, 23861–23898. [Google Scholar] [CrossRef]
  28. Tajik, S.; Dourandish, Z.; Zhang, K.; Beitollahi, H.; Van Le, Q.; Jang, H.W.; Shokouhimehr, M. Carbon and Graphene Quantum Dots: A Review on Syntheses, Characterization, Biological and Sensing Applications for Neurotransmitter Determination. RSC Adv. 2020, 10, 15406–15429. [Google Scholar] [CrossRef]
  29. Campuzano, S.; Yáñez-Sedeño, P.; Pingarrón, J.M. Carbon Dots and Graphene Quantum Dots in Electrochemical Biosensing. Nanomaterials 2019, 9, 634. [Google Scholar] [CrossRef]
  30. Li, M.; Chen, T.; Gooding, J.J.; Liu, J. Review of Carbon and Graphene Quantum Dots for Sensing. ACS Sens. 2019, 4, 1732–1748. [Google Scholar] [CrossRef]
  31. Zhou, J.; Li, S.; Noroozifar, M.; Kerman, K. Graphene Oxide Nanoribbons in Chitosan for Simultaneous Electrochemical Detection of Guanine, Adenine, Thymine and Cytosine. Biosensors 2020, 10, 30. [Google Scholar] [CrossRef] [PubMed]
  32. Asrat, T.M.; Cho, W.; Liu, F.A.; Shapiro, S.M.; Bracht, J.R.; Zestos, A.G. Direct Detection of DNA and RNA on Carbon Fiber Microelectrodes Using Fast-Scan Cyclic Voltammetry. ACS Omega 2021, 6, 6571–6581. [Google Scholar] [CrossRef] [PubMed]
  33. Lim, C.X.; Hoh, H.Y.; Ang, P.K.; Loh, K.P. Direct Voltammetric Detection of DNA and PH Sensing on Epitaxial Graphene: An Insight into the Role of Oxygenated Defects. Anal. Chem. 2010, 82, 7387–7393. [Google Scholar] [CrossRef] [PubMed]
  34. Bard, A.J.; Faulkner, L.R. Electrochemical Methods: Fundamentals and Applications; John Wiley & Sons: Hoboken, NJ, USA, 2001; ISBN 0471043729. [Google Scholar]
  35. Hummers, W.S.; Offeman, R.E. Preparation of Graphitic Oxide. J. Am. Chem. Soc. 1958, 80, 1339. [Google Scholar] [CrossRef]
  36. Liu, B.; Xie, J.; Ma, H.; Zhang, X.; Pan, Y.; Lv, J.; Ge, H.; Ren, N.; Su, H.; Xie, X.; et al. From Graphite to Graphene Oxide and Graphene Oxide Quantum Dots. Small 2017, 13, 1601001. [Google Scholar] [CrossRef]
  37. Madsen, K.D.; Sander, C.; Baldursdottir, S.; Pedersen, A.M.L.; Jacobsen, J. Development of an Ex Vivo Retention Model Simulating Bioadhesion in the Oral Cavity Using Human Saliva and Physiologically Relevant Irrigation Media. Int. J. Pharm. 2013, 448, 373–381. [Google Scholar] [CrossRef]
  38. Melo, J.P.; Ríos, P.L.; Povea, P.; Morales-Verdejo, C.; Camarada, M.B. Graphene Oxide Quantum Dots as the Support for the Synthesis of Gold Nanoparticles and Their Applications as New Catalysts for the Decomposition of Composite Solid Propellants. ACS Omega 2018, 3, 7278–7287. [Google Scholar] [CrossRef]
  39. Kang, S.; Kim, K.M.; Jung, K.; Son, Y.; Mhin, S.; Ryu, J.H.; Shim, K.B.; Lee, B.; Han, H.; Song, T. Graphene Oxide Quantum Dots Derived from Coal for Bioimaging: Facile and Green Approach. Sci. Rep. 2019, 9, 4101. [Google Scholar] [CrossRef]
  40. Zhou, X.; Tian, Z.; Li, J.; Ruan, H.; Ma, Y.; Yang, Z.; Qu, Y. Synergistically Enhanced Activity of Graphene Quantum Dot/Multi-Walled Carbon Nanotube Composites as Metal-Free Catalysts for Oxygen Reduction Reaction. Nanoscale 2014, 6, 2603–2607. [Google Scholar] [CrossRef]
  41. Horvath, S.; Fernandez, L.E.; Appel, A.M.; Hammes-Schiffer, S. PH-Dependent Reduction Potentials and Proton-Coupled Electron Transfer Mechanisms in Hydrogen-Producing Nickel Molecular Electrocatalysts. Inorg. Chem. 2013, 52, 3643–3652. [Google Scholar] [CrossRef]
  42. Patel, B.R.; Noroozifar, M.; Kerman, K. Prussian Blue-Doped Nanosized Polyaniline for Electrochemical Detection of Benzenediol Isomers. Anal. Bioanal. Chem. 2020, 412, 1769–1784. [Google Scholar] [CrossRef]
  43. Shahbakhsh, M.; Noroozifar, M. 2D-Single-Crystal Hexagonal Gold Nanosheets for Ultra-Trace Voltammetric Determination of Captopril. Microchim. Acta 2019, 186, 195. [Google Scholar] [CrossRef] [PubMed]
  44. Ganesh, H.; Noroozifar, M.; Kerman, K. Epigallocatechin Gallate-Modified Graphite Paste Electrode for Simultaneous Detection of Redox-Active Biomolecules. Sensors 2017, 18, 23. [Google Scholar] [CrossRef]
  45. Tohidinia, M.; Noroozifar, M. Investigation of Carbon Allotropes for Simultaneous Determination of Ascorbic Acid, Epinephrine, Uric Acid, Nitrite and Xanthine. Int. J. Electrochem. Sci. 2018, 13, 2310–2328. [Google Scholar] [CrossRef]
  46. Cryan, M.T.; Ross, A.E. Subsecond Detection of Guanosine Using Fast-Scan Cyclic Voltammetry. Analyst 2019, 144, 249–257. [Google Scholar] [CrossRef] [PubMed]
  47. Swamy, B.E.K.; Venton, B.J. Subsecond Detection of Physiological Adenosine Concentrations Using Fast-Scan Cyclic Voltammetry. Anal. Chem. 2007, 79, 744–750. [Google Scholar] [CrossRef] [PubMed]
  48. Jankowska-Śliwińska, J.; Dawgul, M.; Kruk, J.; Pijanowska, D.G. Comparison of Electrochemical Determination of Purines and Pyrimidines by Means of Carbon, Graphite and Gold Paste Electrodes. Int. J. Electrochem. Sci. 2017, 12, 2329–2343. [Google Scholar] [CrossRef]
  49. Cryan, M.T.; Ross, A.E. Scalene Waveform for Codetection of Guanosine and Adenosine Using Fast-Scan Cyclic Voltammetry. Anal. Chem. 2019, 91, 5987–5993. [Google Scholar] [CrossRef]
  50. Qin, X.; Liu, X.; Hong-Bo, L.; Li-Na, Y.; Xiaoya, H. Electrochemical Determination of Purine and Pyrimidine DNA Bases Based on the Recognition Properties of Azocalix[4]Arene. Biosens. Bioelectron. 2013, 42, 355–361. [Google Scholar] [CrossRef]
  51. Wang, X.; Zhang, J.; Wei, Y.; Xing, T.; Cao, T.; Wu, S.; Zhu, F. A Copper-Based Metal-Organic Framework/Graphene Nanocomposite for the Sensitive and Stable Electrochemical Detection of DNA Bases. Analyst 2020, 145, 1933–1942. [Google Scholar] [CrossRef]
  52. Yin, H.; Zhou, Y.; Ma, Q.; Ai, S.; Ju, P.; Zhu, L.; Lu, L. Electrochemical Oxidation Behavior of Guanine and Adenine on Graphene-Nafion Composite Film Modified Glassy Carbon Electrode and the Simultaneous Determination. Process Biochem. 2010, 45, 1707–1712. [Google Scholar] [CrossRef]
  53. Yari, A.; Derki, S. New MWCNT-Fe3O4@PDA-Ag Nanocomposite as a Novel Sensing Element of an Electrochemical Sensor for Determination of Guanine and Adenine Contents of DNA. Sens. Actuators B Chem. 2016, 227, 456–466. [Google Scholar] [CrossRef]
  54. Thangaraj, R.; Senthil Kumar, A. Simultaneous Detection of Guanine and Adenine in DNA and Meat Samples Using Graphitized Mesoporous Carbon Modified Electrode. J. Solid State Electrochem. 2013, 17, 583–590. [Google Scholar] [CrossRef]
  55. Anu Prathap, M.U.; Srivastava, R.; Satpati, B. Simultaneous Detection of Guanine, Adenine, Thymine, and Cytosine at Polyaniline/MnO2 Modified Electrode. Electrochim. Acta 2013, 114, 285–295. [Google Scholar] [CrossRef]
Scheme 1. Synthetic scheme showing the synthesis of the GOQD-MWCNT hybrid nanomaterial.
Scheme 1. Synthetic scheme showing the synthesis of the GOQD-MWCNT hybrid nanomaterial.
Nanomaterials 13 01509 sch001
Figure 1. (A,B) TEM images of MWCNTs alone with different magnifications; (C) TEM image of the GOQDs without the MWCNT; (D) AFM image of the GOQDs; (E,F) TEM images of the GOQDs- MWCNT hybrid nanomaterial with different magnifications.
Figure 1. (A,B) TEM images of MWCNTs alone with different magnifications; (C) TEM image of the GOQDs without the MWCNT; (D) AFM image of the GOQDs; (E,F) TEM images of the GOQDs- MWCNT hybrid nanomaterial with different magnifications.
Nanomaterials 13 01509 g001
Figure 2. Differential pulse voltammograms of bare GCE (red), MWCNT/GCE (green) and GOQD- MWCNT/GCE (blue) in 0.2 M PBS (pH 7.0) containing guanine (G, 16.0 µM), adenine (A, 18.0 µM), thymine (T, 190 µM) and cytosine (C, 160 µM) under identical conditions.
Figure 2. Differential pulse voltammograms of bare GCE (red), MWCNT/GCE (green) and GOQD- MWCNT/GCE (blue) in 0.2 M PBS (pH 7.0) containing guanine (G, 16.0 µM), adenine (A, 18.0 µM), thymine (T, 190 µM) and cytosine (C, 160 µM) under identical conditions.
Nanomaterials 13 01509 g002
Figure 3. (A) Differential pulse voltammograms of the four DNA bases (16 µM G and A; 160 µM T and C) in 25 mL PBS and electrolyte solutions at different pH conditions between pH 3.0 and 8.0 and (B) linear relationship between Ep and pH for G, A, T and C using the GOQD-MWCNT/GCE.
Figure 3. (A) Differential pulse voltammograms of the four DNA bases (16 µM G and A; 160 µM T and C) in 25 mL PBS and electrolyte solutions at different pH conditions between pH 3.0 and 8.0 and (B) linear relationship between Ep and pH for G, A, T and C using the GOQD-MWCNT/GCE.
Nanomaterials 13 01509 g003
Scheme 2. The proposed electrooxidation mechanisms for G, A, T, and C based on oxidation potential of G, A, T, and C as a function of the pH of the analyte solution.
Scheme 2. The proposed electrooxidation mechanisms for G, A, T, and C based on oxidation potential of G, A, T, and C as a function of the pH of the analyte solution.
Nanomaterials 13 01509 sch002
Figure 4. Differential pulse voltammograms for the standard addition of G, A, T and C at GOQD- MWCNT/GCE in 0.2 M PBS (pH 7.0); using (A) G (16 µM), A (16 µM) and T (160 µM) with varying concentrations of C; (B) G (16 µM), A (16 µM) and C (160 µM) with varying concentrations of T; (C) G (16 µM), T (160 µM) and C (160 µM) with varying concentrations of A; (D) A (16 µM), T (160 µM) and C (160 µM) with varying concentrations of G.
Figure 4. Differential pulse voltammograms for the standard addition of G, A, T and C at GOQD- MWCNT/GCE in 0.2 M PBS (pH 7.0); using (A) G (16 µM), A (16 µM) and T (160 µM) with varying concentrations of C; (B) G (16 µM), A (16 µM) and C (160 µM) with varying concentrations of T; (C) G (16 µM), T (160 µM) and C (160 µM) with varying concentrations of A; (D) A (16 µM), T (160 µM) and C (160 µM) with varying concentrations of G.
Nanomaterials 13 01509 g004
Figure 5. (A) Differential pulse voltammograms of GOQD-MWCNT/GCE in the presence of G (0.8–50 μM), A (0.8–50 μM), T (8.0–500 μM), C (8.0–500 μM) and (B) The calibration curves for the concentration dependence of the anodic peak current of (B) G, (C) A, (D) T, and (E) C in 0.2 M PBS (pH 7.0).
Figure 5. (A) Differential pulse voltammograms of GOQD-MWCNT/GCE in the presence of G (0.8–50 μM), A (0.8–50 μM), T (8.0–500 μM), C (8.0–500 μM) and (B) The calibration curves for the concentration dependence of the anodic peak current of (B) G, (C) A, (D) T, and (E) C in 0.2 M PBS (pH 7.0).
Nanomaterials 13 01509 g005
Figure 6. DPVs of GOQD/MWCNT/GCE’s in 0.2 M phosphate electrolyte solution (pH 7.0) for ten consecutive measurements in a solution containing G (9.0 µM), A (9.0 µM), T (70.0 µM), and C (80.0 µM); the changes in the current peaks of four analytes are plotted across ten consecutive measurements.
Figure 6. DPVs of GOQD/MWCNT/GCE’s in 0.2 M phosphate electrolyte solution (pH 7.0) for ten consecutive measurements in a solution containing G (9.0 µM), A (9.0 µM), T (70.0 µM), and C (80.0 µM); the changes in the current peaks of four analytes are plotted across ten consecutive measurements.
Nanomaterials 13 01509 g006
Table 1. Comparison study of the GCE/GOQDs-MWCNT with reported modified electrodes in recent literature for the detection of DNA bases.
Table 1. Comparison study of the GCE/GOQDs-MWCNT with reported modified electrodes in recent literature for the detection of DNA bases.
ElectrodeAnalytesLOD (µM)Linear Range (µM)Reference
Graphene-Nafion modified GCEG0.62–200[52]
A0.85–200
MWCNT-Fe3O4 coated with PDA-Ag
modified GPE
G1.58–130[53]
A5.710–120
GMC modified GCEG0.825–150[54]
A0.625–200
PANI-MnO2 modified GCEG4.810–100[55]
A2.910–100
T1.310–100
C1.310–100
MWCNT-graphite deposited with Au-rGO modified GPEG3.33–170[2]
A3.73–190
T7.97.5–800
C9.09–900
GO/MWCNT modified GCEG0.11–78[5]
A0.42–119.5
T1.712.5–227.5
C0.85–132.5
GCE/GOQDs-MWCNTG0.42.8–50.0This work
A0.20.8–50.0
T1.68.0–500.0
C5.68.0–500.0
Abbreviations: PDA = polydopamine; GMC = graphitized mesoporous carbon; PANI = polydopamine rGO = reduced graphene oxide; GPE = graphite paste electrode; GO = graphene oxide.
Table 2. Summary of simultaneous voltammetric detection studies using the artificial saliva samples at GOQD-MWCNT/GCE (n = 3).
Table 2. Summary of simultaneous voltammetric detection studies using the artificial saliva samples at GOQD-MWCNT/GCE (n = 3).
Real SampleAnalytesDetected
Concentration (µM)
Concentration (µM)% Recovery
G4.44.397.7
Artificial salivaA4.44.6104.5
(Sample 1)T44.045.2102.7
C44.046.3105.2
G10.810.496.3
Artificial salivaA10.811.5106.5
(Sample 2)T92.093.9102.1
C92.097.6106.1
G20.420.8102.0
Artificial salivaA20.420.5100.5
(Sample 3)T300.0305.2101.7
C300.0306.8102.3
Disclaimer/Publisher’s Note: The statements, opinions and data contained in all publications are solely those of the individual author(s) and contributor(s) and not of MDPI and/or the editor(s). MDPI and/or the editor(s) disclaim responsibility for any injury to people or property resulting from any ideas, methods, instructions or products referred to in the content.

Share and Cite

MDPI and ACS Style

Hassan, Q.; Riley, C.; Noroozifar, M.; Kerman, K. Hybrid Nanomaterial of Graphene Oxide Quantum Dots with Multi-Walled Carbon Nanotubes for Simultaneous Voltammetric Determination of Four DNA Bases. Nanomaterials 2023, 13, 1509. https://doi.org/10.3390/nano13091509

AMA Style

Hassan Q, Riley C, Noroozifar M, Kerman K. Hybrid Nanomaterial of Graphene Oxide Quantum Dots with Multi-Walled Carbon Nanotubes for Simultaneous Voltammetric Determination of Four DNA Bases. Nanomaterials. 2023; 13(9):1509. https://doi.org/10.3390/nano13091509

Chicago/Turabian Style

Hassan, Qusai, Chevon Riley, Meissam Noroozifar, and Kagan Kerman. 2023. "Hybrid Nanomaterial of Graphene Oxide Quantum Dots with Multi-Walled Carbon Nanotubes for Simultaneous Voltammetric Determination of Four DNA Bases" Nanomaterials 13, no. 9: 1509. https://doi.org/10.3390/nano13091509

APA Style

Hassan, Q., Riley, C., Noroozifar, M., & Kerman, K. (2023). Hybrid Nanomaterial of Graphene Oxide Quantum Dots with Multi-Walled Carbon Nanotubes for Simultaneous Voltammetric Determination of Four DNA Bases. Nanomaterials, 13(9), 1509. https://doi.org/10.3390/nano13091509

Note that from the first issue of 2016, this journal uses article numbers instead of page numbers. See further details here.

Article Metrics

Back to TopTop