Highly Sensitive Graphene-Based Electrochemical Sensor for Nitrite Assay in Waters
Abstract
1. Introduction
2. Materials and Methods
2.1. Chemicals
2.2. Apparatus
2.3. Graphene Synthesis by Electrochemical Exfoliation of Graphite Rods (EGr)
2.4. Glassy-Carbon Modification with Graphene (EGr/GC)
3. Results and Discussions
3.1. Morphological and Structural Characterization of Graphene Sample
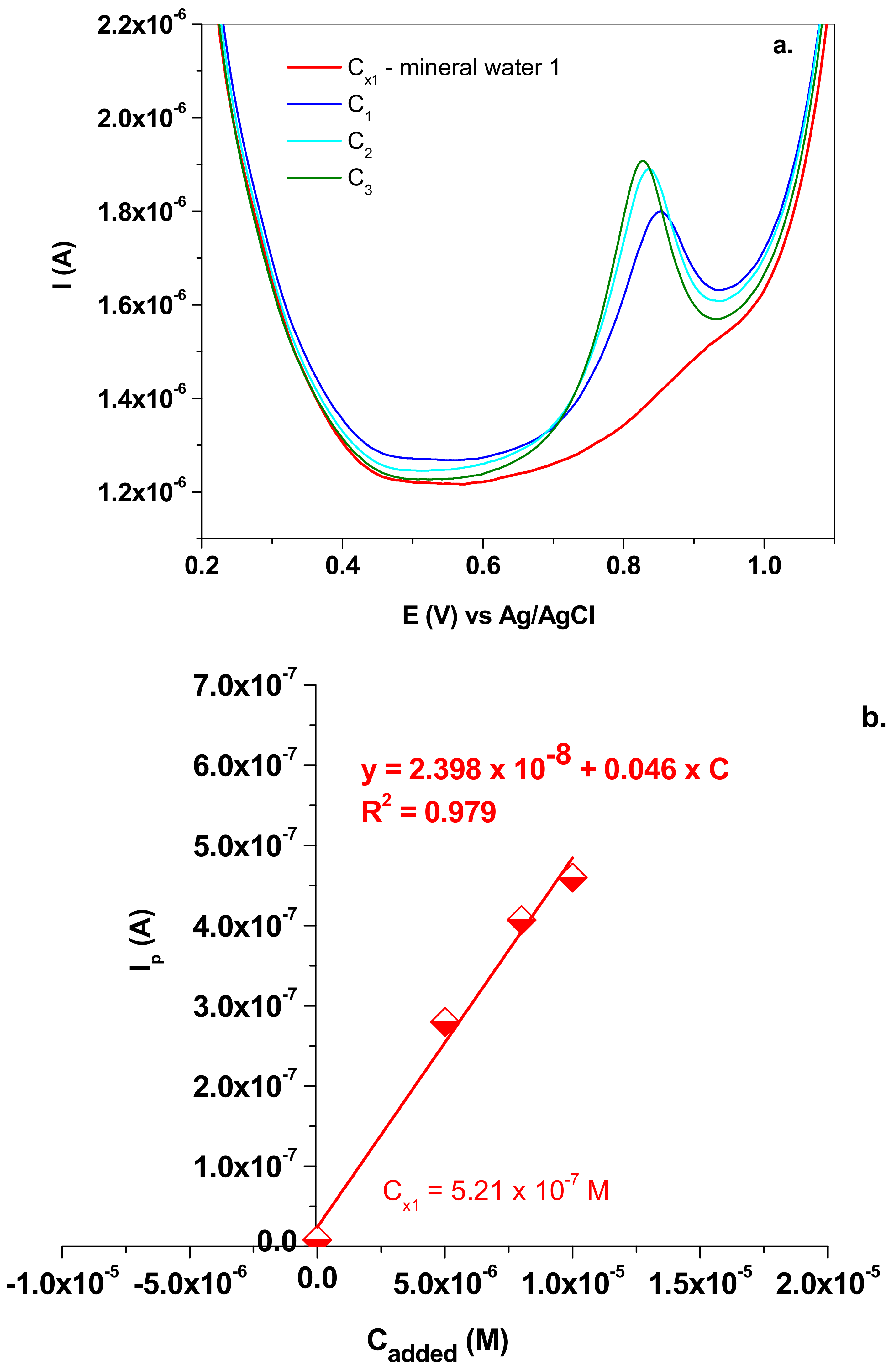
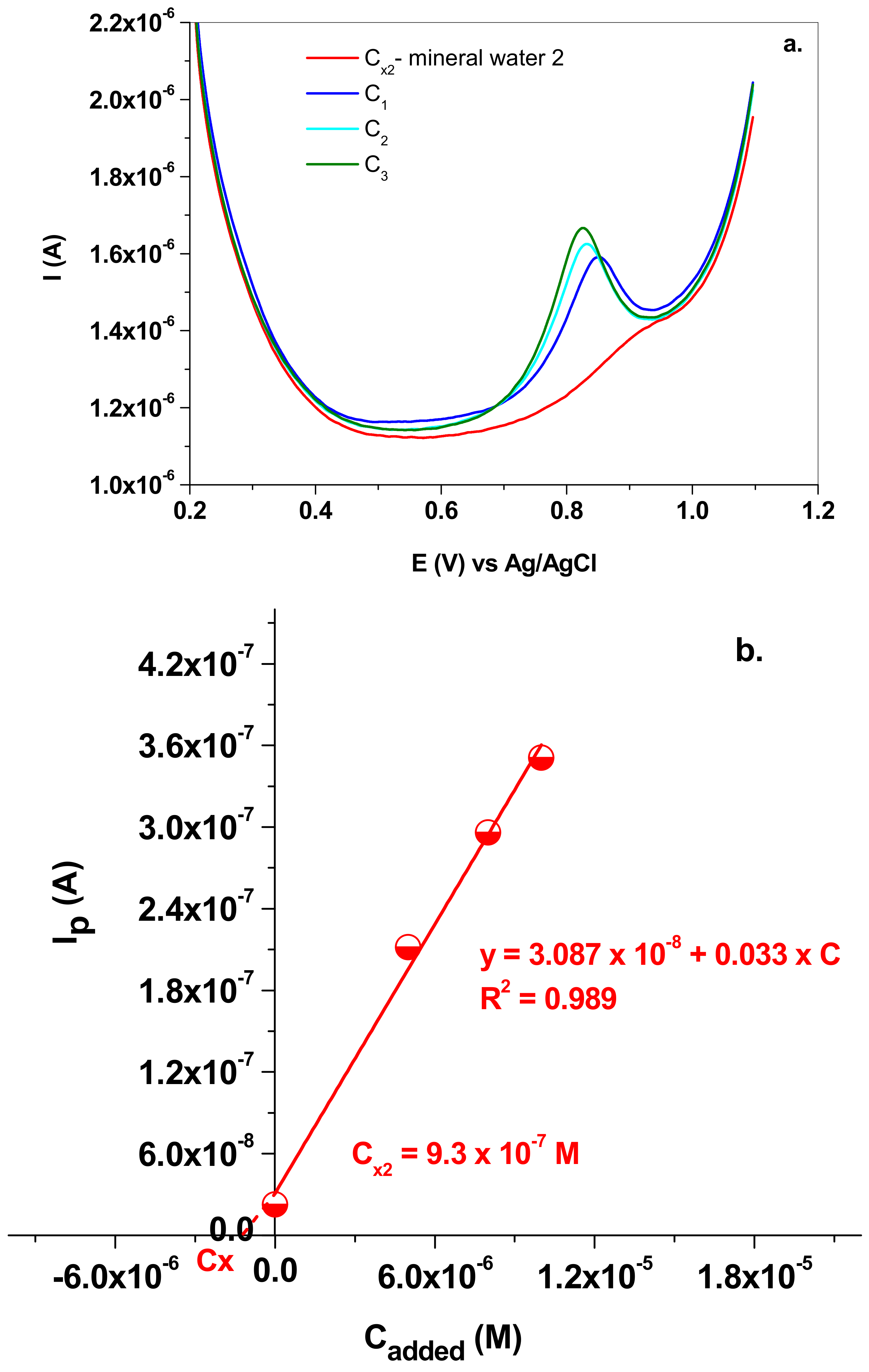
3.2. Electrochemical Studies with GC and EGr/GC Electrodes
4. Conclusions
Supplementary Materials
Author Contributions
Funding
Data Availability Statement
Acknowledgments
Conflicts of Interest
References
- Kuypers, M.; Marchant, H.; Kartal, B. The microbial nitrogen-cycling network. Nat. Rev. Microbiol. 2018, 16, 263–276. [Google Scholar] [CrossRef] [PubMed]
- Galloway, J.N.; Townsend, A.R.; Erisman, J.W.; Bekunda, M.; Cai, Z.; Freney, J.R.; Martinelli, L.A.; Seitzinger, S.P.; Sutton, M.A. Transformation of the Nitrogen Cycle: Recent Trends, Questions, and Potential Solutions. Science 2008, 320, 889–892. [Google Scholar] [CrossRef]
- Mateo-Sagasta, J.; Marjani Zadeh, S.; Turral, H. More People, More Food, Worse Water? A Global Review of Water Pollution from Agriculture; FAO: Rome, Italy, 2018. [Google Scholar]
- Camargo, J.A.; Alonso, Á. Ecological and toxicological effects of inorganic nitrogen pollution in aquatic ecosystems: A global assessment. Environ. Int. 2006, 32, 831–849. [Google Scholar] [CrossRef] [PubMed]
- Bailey, S.J.; Vanhatalo, A.; Winyard, P.G.; Jones, A.M. The nitrate-nitrite-nitric oxide pathway: Its role in human exercise physiology. Eur. J. Sport Sci. 2012, 12, 309–320. [Google Scholar] [CrossRef]
- Howarth, R.W. Human acceleration of the nitrogen cycle: Drivers, consequences, and steps toward solutions. Water Sci. Technol. 2004, 49, 7–13. [Google Scholar] [CrossRef]
- Usher, C.D.; Telling, G.M. Analysis of nitrate and nitrite in foodstuffs. J. Sci. Food Agric. 1975, 26, 1793–1805. [Google Scholar] [CrossRef]
- Hosseini, F.; Majdi, M.; Naghshi, S.; Sheikhhossein, F.; Djafarian, K.; Shab-Bidar, S. Nitrate-nitrite exposure through drinking water and diet and risk of colorectal cancer: A systematic review and meta-analysis of observational studies. Clin. Nutr. 2021, 40, 3073–3081. [Google Scholar] [CrossRef]
- González-Soltero, R.; Bailén, M.; de Lucas, B.; Ramírez-Goercke, M.I.; Pareja-Galeano, H.; Larrosa, M. Role of Oral and Gut Microbiota in Dietary Nitrate Metabolism and Its Impact on Sports Performance. Nutrients 2020, 12, 3611. [Google Scholar] [CrossRef]
- Said Abasse, K.; Essien, E.E.; Abbas, M.; Yu, X.; Xie, W.; Sun, J.; Akter, L.; Cote, A. Association between Dietary Nitrate, Nitrite Intake, and Site-Specific Cancer Risk: A Systematic Review and Meta-Analysis. Nutrients 2022, 14, 666. [Google Scholar] [CrossRef]
- Essien, E.E.; Said Abasse, K.; Côté, A.; Mohamed, K.S.; Baig, M.M.F.A.; Habib, M.; Naveed, M.; Yu, X.; Xie, W.; Jinfang, S.; et al. Drinking-water nitrate and cancer risk: A systematic review and meta-analysis. Arch. Environ. Occup. Health 2022, 77, 51–67. [Google Scholar] [CrossRef]
- Barry, K.H.; Jones, R.R.; Cantor, K.P.; Beane Freeman, L.E.; Wheeler, D.C.; Baris, D.; Johnson, A.T.; Hosain, G.M.; Schwenn, M.; Zhang, H.; et al. Ingested Nitrate and Nitrite and Bladder Cancer in Northern New England. Epidemiology 2020, 31, 136–144. [Google Scholar] [CrossRef] [PubMed]
- Brender, J.D.; Werler, M.M.; Kelley, K.E.; Vuong, A.M.; Shinde, M.U.; Zheng, Q.; Huber, J.C.; Sharkey, J.R.; Griesenbeck, J.S.; Romitti, P.A.; et al. Nitrosatable Drug Exposure During Early Pregnancy and Neural Tube Defects in Offspring: National birth defects prevention study. Am. J. Epidemiol. 2011, 174, 1286–1295. [Google Scholar] [CrossRef] [PubMed]
- McNulty, R.; Kuchi, N.; Xu, E.; Gunja, N. Food-induced methemoglobinemia: A systematic review. J. Food Sci. 2022, 87, 1423–1448. [Google Scholar] [CrossRef] [PubMed]
- World Health Organization. Guidelines for Drinking Water Quality: Fourth Edition Incorporating the First and Second Addenda, 4th ed + 1st add + 2nd add; World Health Organization: Geneva, Switzerland, 2022; License: CC BY-NC-SA 3.0 IGO, ISBN 9789240045064 (electronic version), 9789240045071 (print version); Available online: https://apps.who.int/iris/handle/10665/352532 (accessed on 15 March 2023).
- SCF (Scientific Committee for Food), Thirty-Eighth Series (1997) (No Catalogue: GT 07 97620-EN-DE-FR), Opinions on: Nitrate and Nitrite. Available online: https://food.ec.europa.eu/system/files/2020-12/sci-com_scf_reports_38.pdf (accessed on 15 March 2023).
- Singh, P.; Singh, M.K.; Beg, Y.R.; Nishad, G.R. A review on spectroscopic methods for determination of nitrite and nitrate in environmental samples. Talanta 2019, 191, 364–381. [Google Scholar] [CrossRef]
- Wang, H.; Wan, N.; Ma, L.; Wang, Z.; Cui, B.; Han, W.; Chen, Y. A novel and simple spectrophotometric method for detection of nitrite in water. Analyst 2018, 143, 4555–4558. [Google Scholar] [CrossRef]
- Jireš, J.; Douša, M. Nitrites as precursors of N-nitrosation in pharmaceutical samples—A trace level analysis. J. Pharm. Biomed. Anal. 2022, 213, 114677. [Google Scholar] [CrossRef]
- Lin, S.-L.; Hsu, J.-W.; Fuh, M.-R. Simultaneous determination of nitrate and nitrite in vegetables by poly(vinylimidazole-co-ethylene dimethacrylate) monolithic capillary liquid chromatography with UV detection. Talanta 2019, 205, 120082. [Google Scholar] [CrossRef]
- Wang, X.-F.; Fan, J.-C.; Ren, R.; Jin, Q.; Wang, J. Rapid determination of nitrite in foods in acidic conditions by high-performance liquid chromatography with fluorescence detection. J. Sep. Sci. 2016, 39, 2263–2269. [Google Scholar] [CrossRef]
- Gottardo, R.; Taus, F.; Pigaiani, N.; Bortolotti, F.; Lonati, D.; Scaravaggi, G.; Locatelli, C.A.; Tagliaro, F. Intentional and unintentional nitrite intoxications: A novel diagnostic strategy based on the direct ion determination by capillary electrophoresis. Toxicol. Anal. Clin. 2022, 34, S26. [Google Scholar] [CrossRef]
- Wang, Q.-H.; Yu, L.-J.; Liu, Y.; Lin, L.; Lu, R.-G.; Zhu, J.-P.; He, L.; Lu, Z.-L. Methods for the detection and determination of nitrite and nitrate: A review. Talanta 2017, 165, 709–720. [Google Scholar] [CrossRef]
- Yang, Y.; Lei, Q.; Li, J.; Hong, C.; Zhao, Z.; Xu, H.; Hu, J. Synthesis and enhanced electrochemical properties of AuNPs@MoS2/rGO hybrid structures for highly sensitive nitrite detection. Microchem. J. 2022, 172, 106904. [Google Scholar] [CrossRef]
- Lin, Z.; Cheng, S.; Li, H.; Li, L. A novel, rapidly preparable and easily maintainable biocathode electrochemical biosensor for the continuous and stable detection of nitrite in water. Sci. Total Environ. 2022, 806, 150945. [Google Scholar] [CrossRef] [PubMed]
- Magerusan, L.; Pogacean, F.; Pruneanu, S. Enhanced Acetaminophen Electrochemical Sensing Based on Nitrogen-Doped Graphene. Int. J. Mol. Sci. 2022, 23, 14866. [Google Scholar] [CrossRef] [PubMed]
- Paisanpisuttisin, A.; Poonwattanapong, P.; Rakthabut, P.; Ariyasantichai, P.; Prasittichai, C.; Siriwatcharapiboon, W. Sensitive electrochemical sensor based on nickel/PDDA/reduced graphene oxide modified screen-printed carbon electrode for nitrite detection. RSC Adv. 2022, 12, 29491–29502. [Google Scholar] [CrossRef]
- Li, B.-Q.; Nie, F.; Sheng, Q.-L.; Zheng, J.-B. An electrochemical sensor for sensitive determination of nitrites based on Ag–Fe3O4–graphene oxide magnetic nanocomposites. Chem. Pap. 2015, 69, 911–920. [Google Scholar] [CrossRef]
- Radhakrishnan, S.; Krishnamoorthy, K.; Sekar, C.; Wilson, J.; Kim, S.J. A highly sensitive electrochemical sensor for nitrite detection based on Fe2O3 nanoparticles decorated reduced graphene oxide nanosheets. Appl. Catal. B 2014, 148–149, 22–28. [Google Scholar] [CrossRef]
- Yang, Z.; Zhou, X.; Yin, Y.; Xue, H.; Fang, W. Metal-organic framework derived rod-like Co@carbon for electrochemical detection of nitrite. J. Alloy Compd. 2022, 911, 164915. [Google Scholar] [CrossRef]
- Govindasamy, M.; Wang, S.-F.; Huang, C.-H.; Alshgari, R.A.; Ouladsmane, M. Colloidal synthesis of perovskite-type lanthanum aluminate incorporated graphene oxide composites: Electrochemical detection of nitrite in meat extract and drinking water. Microchim. Acta 2022, 189, 210. [Google Scholar] [CrossRef]
- Zhao, Z.; Zhang, J.; Wang, W.; Sun, Y.; Li, P.; Hu, J.; Chen, L.; Gong, W. Synthesis and electrochemical properties of Co3O4-rGO/CNTs composites towards highly sensitive nitrite detection. Appl. Surf. Sci. 2019, 485, 274–282. [Google Scholar] [CrossRef]
- Huang, S.-S.; Liu, L.; Mei, L.-P.; Zhou, J.-Y.; Guo, F.-Y.; Wang, A.-J.; Feng, J.-J. Electrochemical sensor for nitrite using a glassy carbon electrode modified with gold-copper nanochain networks. Microchim. Acta 2015, 183, 791–797. [Google Scholar] [CrossRef]
- Craciun, C.; Andrei, F.; Bonciu, A.; Brajnicov, S.; Tozar, T.; Filipescu, M.; Palla-Papavlu, A.; Dinescu, M. Nitrites Detection with Sensors Processed via Matrix-Assisted Pulsed Laser Evaporation. Nanomaterials 2022, 12, 1138. [Google Scholar] [CrossRef] [PubMed]
- Wang, T.; Xu, X.; Wang, C.; Li, Z.; Li, D. A Novel Highly Sensitive Electrochemical Nitrite Sensor Based on a AuNPs/CS/Ti3C2 Nanocomposite. Nanomaterials 2022, 12, 397. [Google Scholar] [CrossRef] [PubMed]
- Le, H.T.; Tran, D.T.; Kim, N.H.; Lee, J.H. Worm-like gold nanowires assembled carbon nanofibers-CVD graphene hybrid as sensitive and selective sensor for nitrite detection. J. Colloid Interface Sci. 2021, 583, 425–434. [Google Scholar] [CrossRef] [PubMed]
- Talbi, M.; Al-Hamry, A.; Teixeira, P.R.; Paterno, L.G.; Ali, M.B.; Kanoun, O. Enhanced Nitrite Detection by a Carbon Screen Printed Electrode Modified with Photochemically-Made AuNPs. Chemosensors 2022, 10, 40. [Google Scholar] [CrossRef]
- Ahmadi, M.T.; Bodaghzadeh, M.; Rahimian Koloor, S.S.; Petrů, M. Graphene Nanoparticle-Based, Nitrate Ion Sensor Characteristics. Nanomaterials 2021, 11, 150. [Google Scholar] [CrossRef] [PubMed]
- Singh, S.; Hasan, M.R.; Sharma, P.; Narang, J. Graphene nanomaterials: The wondering material from synthesis to applications. Sens. Int. 2022, 3, 100190. [Google Scholar] [CrossRef]
- Hernaez, M. Applications of Graphene-Based Materials in Sensors. Sensors 2020, 20, 3196. [Google Scholar] [CrossRef]
- Khan, M.A.; Ramzan, F.; Ali, M.; Zubair, M.; Mehmood, M.Q.; Massoud, Y. Emerging Two-Dimensional Materials-Based Electrochemical Sensors for Human Health and Environment Applications. Nanomaterials 2023, 13, 780. [Google Scholar] [CrossRef]
- Pogacean, F.; Coros, M.; Magerusan, L.; Mirel, V.; Turza, A.; Katona, G.; Staden, R.-I.; Pruneanu, S. Exfoliation of graphite rods via pulses of current for graphene synthesis: Sensitive detection of 8-hydroxy-2′-deoxyguanosine. Talanta 2018, 196, 182–190. [Google Scholar] [CrossRef]
- Warren, B.E. X-ray Diffraction, 1st ed.; Addison-Wesley: Reading, UK, 1969; pp. 27–40. ISBN 0486663175. [Google Scholar]
- Cançado, L.G.; Takai, K.; Enoki, T.; Endo, M.; Kim, Y.A.; Mizusaki, H.; Jorio, A.; Coelho, L.N.; Magalhães-Paniago, R.; Pimenta, M.A. General equation for the determination of the crystallite size La of nanographite by Raman spectroscopy. Appl. Phys. Lett. 2006, 88, 163106. [Google Scholar] [CrossRef]
- Zanello, P. Inorganic Electrochemistry: Theory, Practice and Application; The Royal Society of Chemistry: London, UK, 2003; ISBN 0-85404-661-5. [Google Scholar]
- Milczarek, G. Selective and sensitive detection of nitrite based on NO sensing on a polymer-coated rotating disc electrode. J. Electroanal. Chem. 2007, 610, 199–204. [Google Scholar] [CrossRef]
- Laviron, E. General expression of the linear potential sweep voltammogram in the case of diffusionless electrochemical systems. J. Electroanal. Chem. 1979, 101, 19–28. [Google Scholar] [CrossRef]
- Ma, X.; Miao, T.; Zhu, W.; Gao, X.; Wang, C.; Zhao, C.; Ma, H. Electrochemical detection of nitrite based on glassy carbon electrode modified with gold–polyaniline–graphene nanocomposites. RSC Adv. 2014, 4, 57842–57849. [Google Scholar] [CrossRef]
- Anindya, W.; Wahyuni, W.T.; Rafi, M.; Riza Putra, B. Electrochemical sensor based on graphene oxide/PEDOT:PSS composite modified glassy carbon electrode for environmental nitrite detection. Int. J. Electrochem. Sci. 2023, 18, 10003. [Google Scholar] [CrossRef]
- Han, Y.; Zhang, R.; Dong, C.; Cheng, F.; Guo, Y. Sensitive electrochemical sensor for nitrite ions based on rose-like AuNPs/MoS2/graphene composite. Biosens. Bioelectron. 2019, 142, 111529. [Google Scholar] [CrossRef]
- Dorovskikh, S.I.; Klyamer, D.D.; Fedorenko, A.D.; Morozova, N.B.; Basova, T.V. Electrochemical Sensor Based on Iron(II) Phthalocyanine and Gold Nanoparticles for Nitrite Detection in Meat Products. Sensors 2022, 22, 5780. [Google Scholar] [CrossRef]
- Wang, Z.; Liao, F.; Guo, T.; Yang, S.; Zeng, C. Synthesis of crystalline silver nanoplates and their application for detection of nitrite in foods. J. Electroanal. Chem. 2012, 664, 135–138. [Google Scholar] [CrossRef]
- Promsuwan, K.; Thavarungkul, P.; Kanatharana, P.; Limbut, W. Flow injection amperometric nitrite sensor based on silver microcubics-poly (acrylic acid)/poly (vinyl alcohol) modified screen printed carbon electrode. Electrochim. Acta 2017, 232, 357–369. [Google Scholar] [CrossRef]
- Rameshkumar, P.; Ramaraj, R. Electroanalysis of nitrobenzene derivatives and nitrite ions using silver nanoparticles deposited silica spheres modified electrode. J. Electroanal. Chem. 2014, 731, 72–77. [Google Scholar] [CrossRef]
- Menart, E.; Jovanovski, V.; Hočevar, S.B. Silver particle-decorated carbon paste electrode based on ionic liquid for improved determination of nitrite. Electrochem. Commun. 2015, 52, 45–48. [Google Scholar] [CrossRef]












| Modified Electrode | Method | Linear Range (µM) | LOD (µM) | Reference |
|---|---|---|---|---|
| Ni/PDDA/rGO/SPCE Ni/PDDA/rGO—nickelpoly(diallyldimethylammonium chloride) reduced graphene oxide composite SPCE—screen-printed carbon electrode | CV | 6–100 | 1.99 | [27] |
| LaAlO3@GO/GCE LaAlO3@GO—La-based perovskite-type lanthanum aluminate nanorod-incorporated graphene oxide nanosheets GCE—glassy carbon electrode | CV | 0.01–1540.5 | 0.0041 | [31] |
| Fe2O3/rGO/GCE Fe2O3/rGO—hematite—reduced graphene oxide composite GCE—glassy carbon electrode | DPV | 0.05–780 | 0.015 | [29] |
| GO/PEDOT:PSS/GCE GO/PEDOT:PSS—graphene oxide—poly(3,4-ethylenedioxythiophene):poly(styrenesulfonate) (PEDOT:PSS) composite GCE—glassy carbon electrode | DPV | 1–200 | 0.5 | [49] |
| AuCu NCNs/GCE AuCu NCNs—gold-copper nanochain network GCE—glassy carbon electrode | DPV | 10–4000 | 0.2 | [33] |
| CoN-CRs/GCE CoN-CRs—Co@N-doped carbon nanorods GCE—glassy carbon electrode | AMP | 0.5–8000 | 0.17 | [30] |
| Co3O4-rGO/CNTs/GCE Co3O4-rGO/CNTs—cobalt oxide decorated reduced graphene oxide and carbon nanotubes GCE—glassy carbon electrode | AMP | 0.1–8000 | 0.016 | [32] |
| Ag–Fe3O4–GO/GCE Ag–Fe3O4–GO—Ag–Fe3O4–graphene oxide magnetic nanocomposites GCE—glassy carbon electrode | AMP | 0.5–7200 | 0.17 | [28] |
| AuNPs/MoS2/Gr/GCE AuNPs/MoS2/Gr—rose-like Au nanoparticles/MoS2 nanoflower/graphene composite GCE—glassy carbon electrode | AMP | 5–5000 | 1 | [50] |
| Au/FePc(tBu)4/GCE Au/FePc(tBu)4—Fe(II) tetra-tert-butyl phthalocyanine film decorated with gold nanoparticles heterostructure GCE—glassy carbon electrode | AMP | 2–26 20–120 | 0.35 | [51] |
| AgNPs/GCE AgNPs—crystalline silver nanoplates GCE—glassy carbon electrode | AMP | 10–1000 | 1.2 | [52] |
| AgMC-PAA/PVA/SPCE AgMCs-PAA/PVA—silver microcubics-polyacrylic acid/poly vinyl alcohol SPCE—screen printed carbon electrode | AMP | 2–800 | 4.5 | [53] |
| AgNPs/TPDT–SiO2/GCE AgNPs/TPDT–SiO2—silver nanoparticles (Ag NPs) deposited on amine functionalized silica (SiO2) spheres GCE—glassy carbon electrode | SWV | 1–10 | 1 | [54] |
| AgPs-IL-CPE/CPE AgPs-IL-CPE—carbon powder decorated with silver sub-micrometre particles (AgPs) and a hydrophobic ionic liquid trihexyltetradecylphosphonium chloride CPE—carbon paste electrode | SWV | 50–1000 | 3 | [55] |
| EGr/GC | AMP SWV | 0.3–400 0.3–1000 | 0.0909 | current study |
Disclaimer/Publisher’s Note: The statements, opinions and data contained in all publications are solely those of the individual author(s) and contributor(s) and not of MDPI and/or the editor(s). MDPI and/or the editor(s) disclaim responsibility for any injury to people or property resulting from any ideas, methods, instructions or products referred to in the content. |
© 2023 by the authors. Licensee MDPI, Basel, Switzerland. This article is an open access article distributed under the terms and conditions of the Creative Commons Attribution (CC BY) license (https://creativecommons.org/licenses/by/4.0/).
Share and Cite
Pogăcean, F.; Varodi, C.; Măgeruşan, L.; Pruneanu, S. Highly Sensitive Graphene-Based Electrochemical Sensor for Nitrite Assay in Waters. Nanomaterials 2023, 13, 1468. https://doi.org/10.3390/nano13091468
Pogăcean F, Varodi C, Măgeruşan L, Pruneanu S. Highly Sensitive Graphene-Based Electrochemical Sensor for Nitrite Assay in Waters. Nanomaterials. 2023; 13(9):1468. https://doi.org/10.3390/nano13091468
Chicago/Turabian StylePogăcean, Florina, Codruţa Varodi, Lidia Măgeruşan, and Stela Pruneanu. 2023. "Highly Sensitive Graphene-Based Electrochemical Sensor for Nitrite Assay in Waters" Nanomaterials 13, no. 9: 1468. https://doi.org/10.3390/nano13091468
APA StylePogăcean, F., Varodi, C., Măgeruşan, L., & Pruneanu, S. (2023). Highly Sensitive Graphene-Based Electrochemical Sensor for Nitrite Assay in Waters. Nanomaterials, 13(9), 1468. https://doi.org/10.3390/nano13091468

