Parabolic–Gaussian Double Quantum Wells under a Nonresonant Intense Laser Field
Abstract
1. Introduction
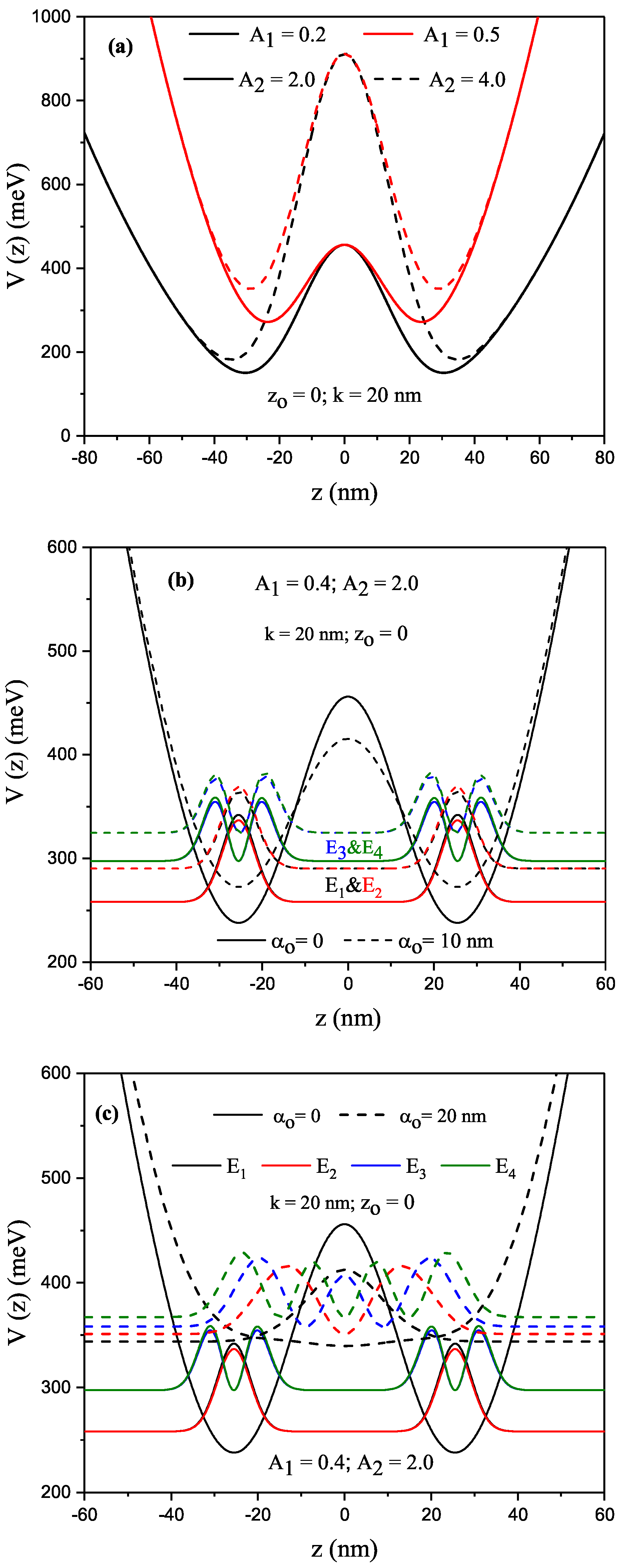
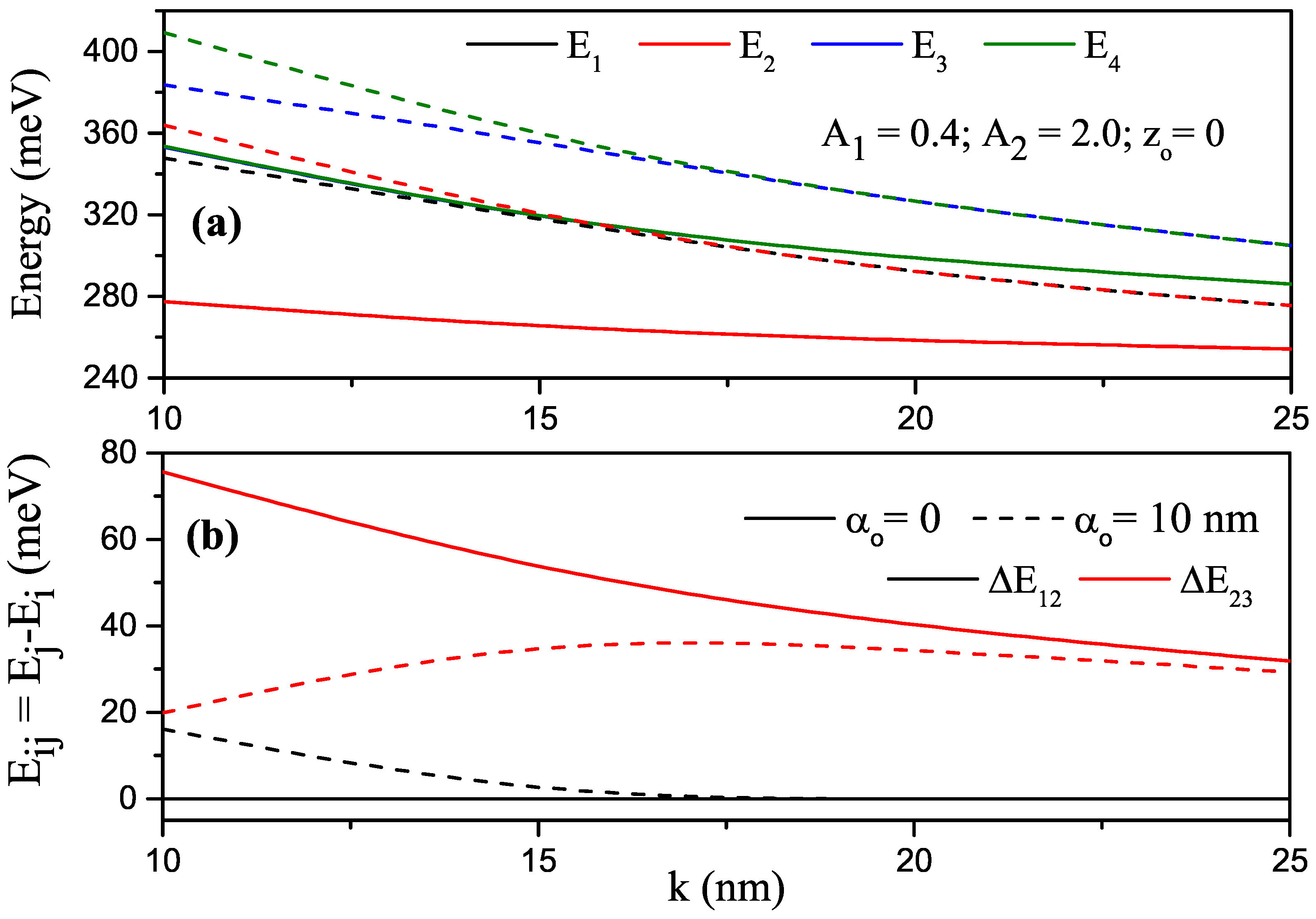
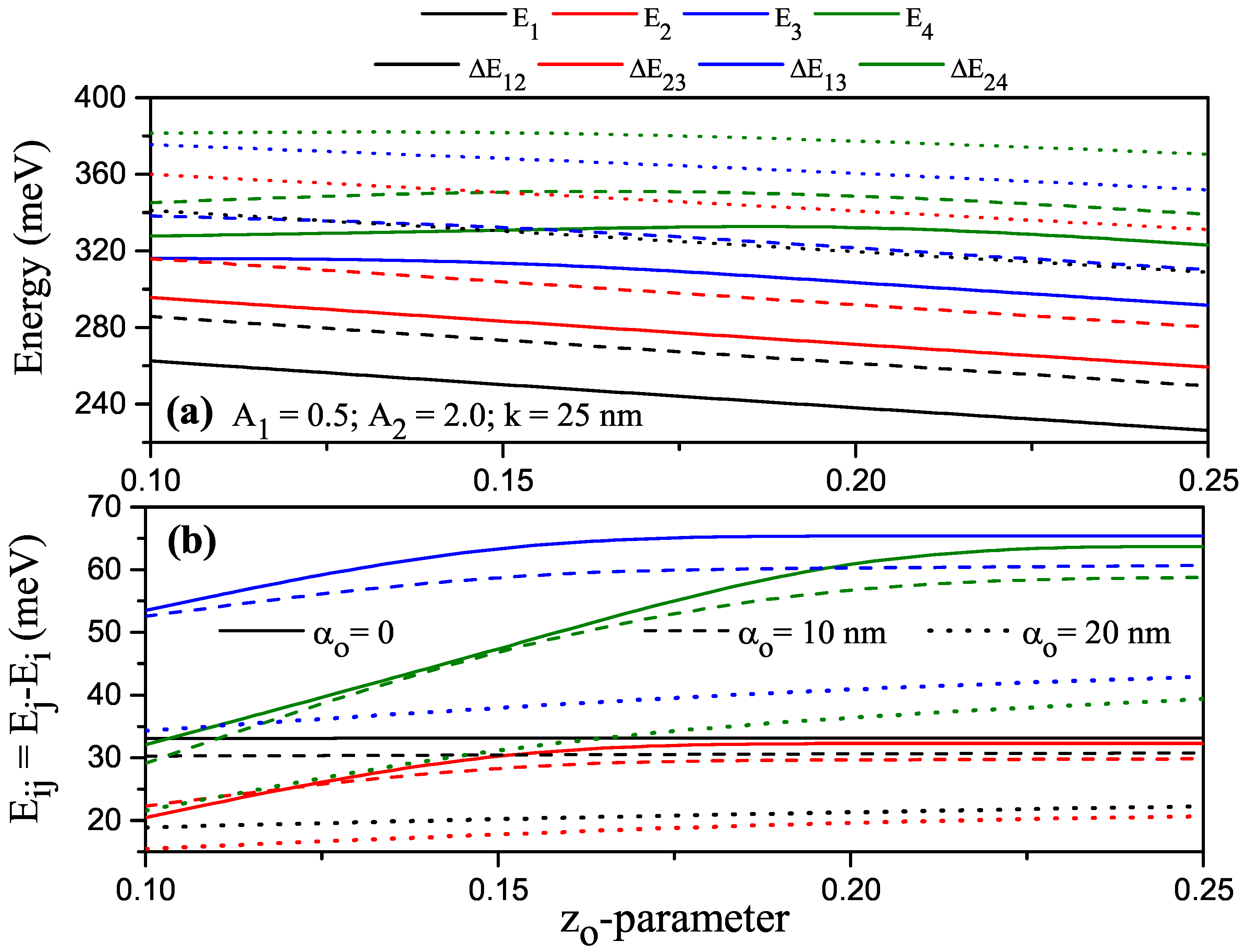
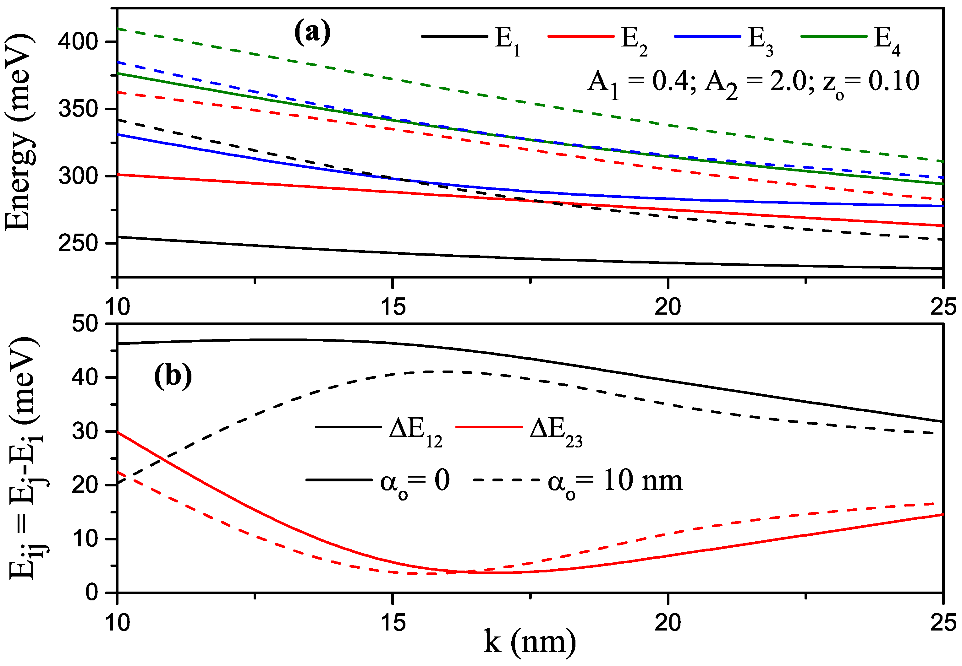
2. Theory
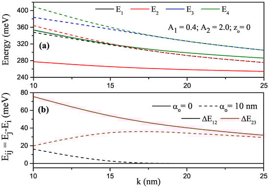
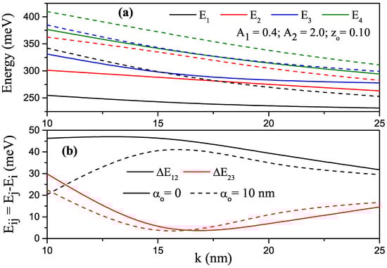
3. Results and Discussion
4. Conclusions
Author Contributions
Funding
Institutional Review Board Statement
Informed Consent Statement
Data Availability Statement
Conflicts of Interest
References
- Morse, P.M. Diatomic molecules according to the wave machanics. II. Vibrational levels. Phys. Rev. 1929, 34, 57–64. [Google Scholar] [CrossRef]
- Rong, Z.; Kjaergaard, H.G.; Sage, M.L. Comparison of the Morse and Deng-Fan potentials for X-H bonds in small molecules. Mol. Phys. 2003, 101, 2285–2294. [Google Scholar] [CrossRef]
- Jia, C.S.; Diao, Y.F.; Liu, X.J.; Wang, P.Q.; Liu, J.Y.; Zhang, G.D. Equivalence of the Wei potential model and Tietz potential model for diatomic molecules. J. Chem. Phys. 2012, 137, 014101. [Google Scholar] [CrossRef]
- Wang, P.Q.; Zhang, L.H.; Jia, C.S.; Liu, J.Y. Equivalence of the three empirical potential energy models for diatomic molecules. J. Mol. Spectrosc. 2012, 274, 5–8. [Google Scholar] [CrossRef]
- Wang, P.Q.; Liu, J.Y.; Zhang, L.H.; Cao, S.Y.; Jia, C.S. Improved expressions for the Schiöberg potential energy models for diatomic molecules. J. Mol. Spectrosc. 2012, 278, 23–26. [Google Scholar] [CrossRef]
- Hajigeorgiou, P.G.; Le Roy, R.J. A ‘‘modified Lennard-Jones oscillator’’ model for diatom potential functions. J. Chem. Phys. 2000, 112, 3949–3957. [Google Scholar] [CrossRef]
- Dong, Q.; Sun, G.H.; Aoki, M.A.; Chen, C.Y.; Dong, S.H. Exact solutions of a quartic potential. Mod. Phys. Lett. 2019, 34, 1950208. [Google Scholar] [CrossRef]
- Konwent, H. One-dimensional Schrödinger equation with a new type double-well potential. Phys. Lett. A 1986, 118, 467–470. [Google Scholar] [CrossRef]
- Razavy, M. An exactly soluble Schrödinger equation with a bistable potential. Am. J. Phys. 1980, 48, 285–288. [Google Scholar] [CrossRef]
- Manning, M.F. Energy levels of a symmetrical double minima problem with applications to the NH3 and ND33 Molecules. J. Chem. Phys. 1935, 3, 136–138. [Google Scholar] [CrossRef]
- Zhou, S.; Liu, X.; Yan, H.; Chen, Z.; Liu, Y.; Liu, S. Highly efficient GaN-based high-power flipchip light-emitting diodes. Opt. Express 2019, 27, A669–A692. [Google Scholar] [CrossRef] [PubMed]
- Fan, B.; Zhao, X.; Zhang, J.; Sun, Y.; Yang, H.; Jay Guo, L.; Zhou, S. Monolithically integrating III-Nitride quantum structure for full-spectrum white LED via bandgap engineering heteroepitaxial growth. Laser Photonics Rev. 2023, 17, 2200455. [Google Scholar] [CrossRef]
- Lin, H.-L.; Zeng, X.-H.; Shi, S.-m.; Tian, H.-J.; Yang, M.; Chu, K.-M.; Yang, K.; Li, Q.-S. Optimization of GaAs-based 940 nm infrared light emitting diode with dual-junction design. Optoelectron. Lett. 2019, 15, 113–116. [Google Scholar] [CrossRef]
- Panda, A.K.; Palo, S.K.; Sahoo, N.; Sahu, T. Electric field induced non-linear multisubband electron mobility in V-shaped asymmetric double quantum well structure. J. Philos. Mag. 2020, 100, 512–527. [Google Scholar] [CrossRef]
- Kasapoglu, E.; Sakiroglu, S.; Sari, H.; Sökmen, I.; Duque, C.A. Optical characterization of laser-driven double Morse quantum wells. Heliyon 2019, 5, e02022. [Google Scholar] [CrossRef]
- Karabulut, I.; Paspalakis, E. The role of permanent dipoles on the intensity-dependent nonlinear optical properties in asymmetric coupled quantum wells under a static electric field. Physica E 2016, 81, 294–301. [Google Scholar] [CrossRef]
- Silotia, P.; Batra, K.; Prasad, V. Asymmetric effects on the optical properties of double-quantum well systems. Opt. Eng. 2014, 53, 027105. [Google Scholar] [CrossRef]
- Zeiri, N.; Sfina, N.; Abdi-Ben Nasrallah, S.; Said, M. Linear and non-linear optical properties in symmetric and asymmetric double quantum wells. Optik 2013, 124, 7044–7048. [Google Scholar] [CrossRef]
- Hien, N.D. Comparison of the nonlinear optical properties of asymmetrical and symmetrical quantum wells. Eur. Phys. J. B 2022, 95, 192. [Google Scholar] [CrossRef]
- Montes, A.; Duque, C.A.; Porras-Montenegro, N. Density of shallow-donor impurity states in rectangular cross section GaAs quantum-well wires under applied electric field. J. Phys. Condens. Matter 1998, 10, 5351–5358. [Google Scholar] [CrossRef]
- Al, E.B.; Kasapoglu, E.; Sakiroglu, S.; Sari, H.; Sokmen, I.; Duque, C.A. Binding energies and optical absorption of donor impurities in spherical quantum dot under applied magnetic field. Physica E 2020, 119, 114011. [Google Scholar] [CrossRef]
- Ungan, F.; Restrepo, R.L.; Mora-Ramos, M.E.; Morales, A.L.; Duque, C.A. Intersubband optical absorption coefficients and refractive index changes in a graded quantum well under intense laser field: Effects of hydrostatic pressure, temperature and electric field. Physica B 2014, 434, 26–31. [Google Scholar] [CrossRef]
- Ganichev, S.D.; Prettl, W. Intense Terahertz Excitation of Semiconductors (Series on Semiconductor Science and Technology, 14), 5th ed.; Oxford University Press Inc.: New York, NY, USA, 2006; p. 434. [Google Scholar]
- Peter, A.J.; Kasapoglu, E.; Ungan, F. Magneto-optical properties of impurity associated photoionization cross-section in laser-driven delta-doped quantum wires. Physica B 2021, 620, 413285. [Google Scholar] [CrossRef]
- Tiutiunnyk, A.; Mora-Ramos, M.E.; Morales, A.L.; Duque, C.M.; Restrepo, R.L.; Ungan, F.; Martínez-Orozco, J.C.; Kasapoglu, E.; Duque, C.A. Electron Raman scattering in a double quantum well tuned by an external nonresonant intense laser field. Opt. Mater. 2017, 64, 496–501. [Google Scholar] [CrossRef]
- Panda, S.; Panda, B.K. Optical properties in symmetric and asymmetric Pöschl–Teller potentials under intense laser field. Superlattices Microstruct. 2014, 73, 160–170. [Google Scholar] [CrossRef]
- Rodríguez-Magdaleno, K.A.; Nava-Maldonado, F.M.; Kasapoglu, E.; Mora-Ramos, M.E.; Ungan, F.; Martínez-Orozco, J.C. Nonlinear absorption coefficient and relative refractive index change for Konwent potential quantum well as a function of intense laser field effect. Physica E 2023, 148, 115618. [Google Scholar] [CrossRef]
- Niculescu, E.C.; Eseanu, N. Interband absorption in square and semiparabolic near-surface quantum wells under intense laser field. Eur. Phys. J. B 2011, 79, 313–319. [Google Scholar] [CrossRef]
- AL-Naghmaish, A.; Dakhlaoui, H.; Ghrib, T.; Wong, B.M. Effects of magnetic, electric, and intense laser fields on the optical properties of AlGaAs/GaAs quantum wells for terahertz photodetectors. Physica B 2022, 635, 413838. [Google Scholar] [CrossRef]
- Das, N.R.; Sen, S. Threshold for photoelectric emission from a quantum ring of narrow-gap semiconductor. Physica B 2008, 403, 3734–3739. [Google Scholar] [CrossRef]
- Niculescu, E.C.; Burileanu, L.M.; Radu, A. Density of impurity states of shallow donors in a quantum well under intense laser field. Superlattices Microstruct. 2008, 44, 173–182. [Google Scholar] [CrossRef]
- Knox, W.H.; Chemla, D.S.; Miller, D.A.B.; Stark, J.B.; Schmitt-Rink, S. Femtosecond ac Stark effect in semiconductor quantum wells: Extreme low-and high-intensity limits. Phys. Rev. Lett. 1989, 62, 1189–1192. [Google Scholar] [CrossRef] [PubMed]
- Asmar, N.G.; Markelz, A.G.; Gwinn, E.G.; Černe, J.; Sherwin, M.S.; Campman, K.L.; Gossard, A.C. Resonant-energy relaxation of terahertz-driven two-dimensional electron gases. Phys. Rev. B 1995, 51, 18041. [Google Scholar] [CrossRef]
- Hirori, H.; Shinokita, K.; Shirai, M.; Tani, S.; Kadoya, Y.; Tanaka, K. Highly Efficient Carrier Multiplication and Bright Exciton Luminescence under Intense Terahertz Pulse. In CLEO: 2011-Laser Applications to Photonic Applications; OSA Technical Digest (CD); Optica Publishing Group: Washington, DC, USA, 2011; PDPC8. [Google Scholar]
- Teich, M.; Wagner, M.; Schneider, H.; Helm, M. Semiconductor quantum well excitons in strong, narrowband terahertz fields. New J. Phys. 2013, 15, 065007. [Google Scholar] [CrossRef]
- Swallen, J.D.; Ibers, J.A. Potential function for the inversion of Ammonia. J. Chem. Phys. 1962, 36, 1914–1918. [Google Scholar] [CrossRef]
- Flanigan, M.C.; de la Vega, J.R. Tunneling in the proton transfer between two water molecules. Chem. Phys. Lett. 1973, 21, 521–524. [Google Scholar] [CrossRef]
- Chan, S.I.; Stelman, D. Oscillators perturbed by Gaussian barriers. J. Chem. Phys. 1963, 39, 545–551. [Google Scholar] [CrossRef]
- Kasapoglu, E.; Yücel, M.B.; Duque, C.A. Harmonic-Gaussian Symmetric and Asymmetric Double Quantum Wells: Magnetic Field Effects. Nanomaterials 2023, 13, 892. [Google Scholar] [CrossRef]
- Bati, M. The effects of the intense laser field on the resonant tunneling properties of the symmetric triple inverse parabolic barrier double well structure. Physica B 2020, 594, 412314. [Google Scholar] [CrossRef]
- Dakhlaoui, H.; Vinasco, J.A.; Duque, C.A. External fields controlling the nonlinear optical properties of quantum cascade laser based on staircase-like quantum well. Superlattices Microstruct. 2021, 155, 106885. [Google Scholar] [CrossRef]
- Kasapoglu, E.; Sari, H.; Sökmen, I.; Vinasco, J.A.; Laroze, D.; Duque, C.A. Effects of intense laser field and position dependent effective mass in Razavy quantum wells and quantum dots. Physica E 2021, 126, 114461. [Google Scholar] [CrossRef]
- Pradhan, B.; Panda, B.K. Effect of intense laser Field in GaAs/AlxGa1-xAs quantum well. Adv. Sci. Lett. 2014, 20, 726–728. [Google Scholar] [CrossRef]
- Panda, M.; Das, T.; Panda, B.K. Nonlinear optical properties in the laser-dressed two-level AlxGa1-xN/GaN single quantum well. Int. J. Mod. Phys. B 2017, 31, 1850032. [Google Scholar] [CrossRef]
- Duque, C.A.; Mora-Ramos, M.E.; Kasapoglu, E.; Sari, H.; Sökmen, I. Intense laser field effect on impurity states in a semiconductor quantum well: Transition from the single to double quantum well potential. Eur. Phys. J. B 2011, 81, 441–449. [Google Scholar] [CrossRef]
- Dakhlaoui, H. Tunability of the optical absorption and refractive index changes in step-like and parabolic quantum wells under external electric field. Optik 2018, 168, 416–423. [Google Scholar] [CrossRef]
- Turkoglu, A.; Dakhlaoui, H.; Mora-Ramos, M.E.; Ungan, F. Optical properties of a quantum well with Razavy confinement potential: Role of applied external fields. Physica E 2021, 134, 114919. [Google Scholar] [CrossRef]
- Stevanović, L.; Filipović, N.; Pavlović, V. Effect of magnetic field on absorption coefficients, refractive index changes and group index of spherical quantum dot with hydrogenic impurity. Opt. Mater. 2019, 91, 62–69. [Google Scholar] [CrossRef]










Disclaimer/Publisher’s Note: The statements, opinions and data contained in all publications are solely those of the individual author(s) and contributor(s) and not of MDPI and/or the editor(s). MDPI and/or the editor(s) disclaim responsibility for any injury to people or property resulting from any ideas, methods, instructions or products referred to in the content. |
© 2023 by the authors. Licensee MDPI, Basel, Switzerland. This article is an open access article distributed under the terms and conditions of the Creative Commons Attribution (CC BY) license (https://creativecommons.org/licenses/by/4.0/).
Share and Cite
Kasapoglu, E.; Yücel, M.B.; Duque, C.A. Parabolic–Gaussian Double Quantum Wells under a Nonresonant Intense Laser Field. Nanomaterials 2023, 13, 1360. https://doi.org/10.3390/nano13081360
Kasapoglu E, Yücel MB, Duque CA. Parabolic–Gaussian Double Quantum Wells under a Nonresonant Intense Laser Field. Nanomaterials. 2023; 13(8):1360. https://doi.org/10.3390/nano13081360
Chicago/Turabian StyleKasapoglu, Esin, Melike Behiye Yücel, and Carlos A. Duque. 2023. "Parabolic–Gaussian Double Quantum Wells under a Nonresonant Intense Laser Field" Nanomaterials 13, no. 8: 1360. https://doi.org/10.3390/nano13081360
APA StyleKasapoglu, E., Yücel, M. B., & Duque, C. A. (2023). Parabolic–Gaussian Double Quantum Wells under a Nonresonant Intense Laser Field. Nanomaterials, 13(8), 1360. https://doi.org/10.3390/nano13081360

