Nude and Modified Electrospun Nanofibers, Application to Air Purification
Abstract
1. Introduction
2. Nude Electrospun Nanofibers
2.1. Synthesis of Polymers for Electrospun Nanofiber Membranes
2.1.1. Polymethyl Methacrylate (PMMA)
2.1.2. PVP Polyvinylpyrrolidone
2.1.3. Polyacrylenitrile (PAN)
2.1.4. Polystyrene (PS)
2.1.5. Polyvinyl Alcohol (PVA)
2.1.6. Polypropylene (PP)
2.1.7. Polylactic Acid (PLA)
2.1.8. Acrylonitrile Butadiene Styrene (ABS)
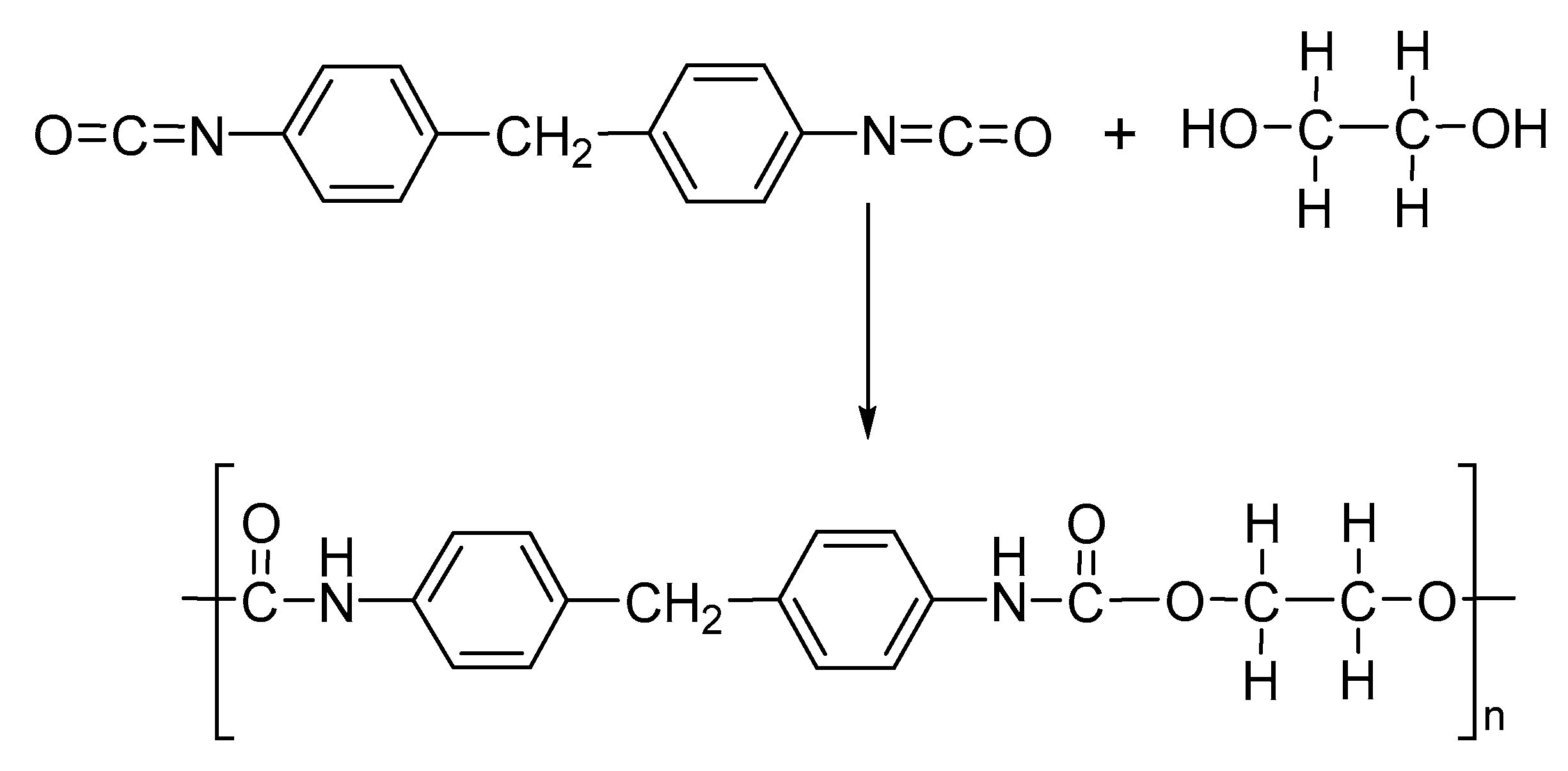
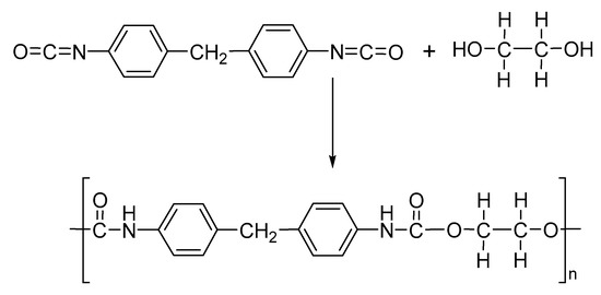
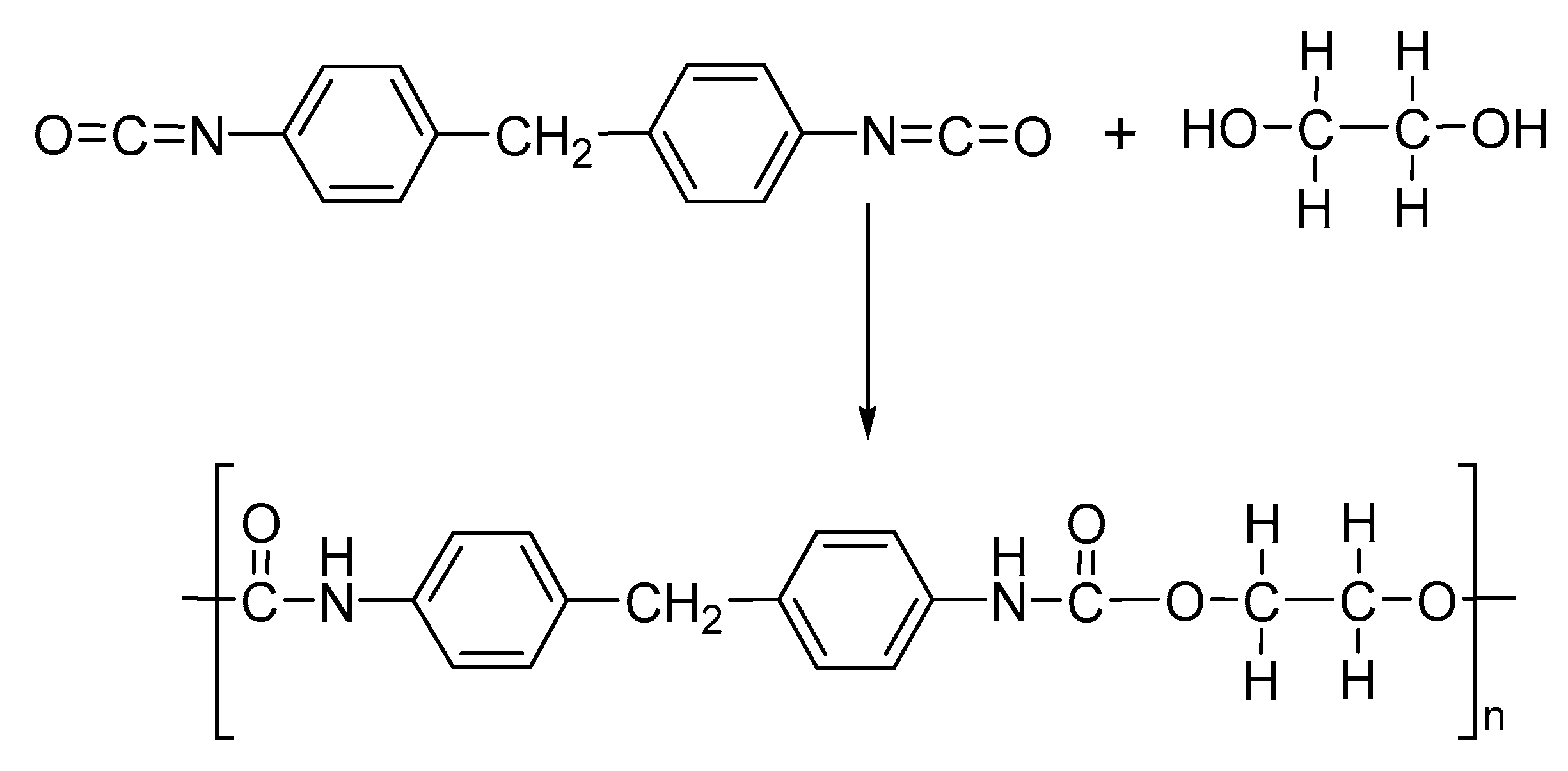
2.1.9. Polyurethane (PU)
2.1.10. Polyethylene Glycol (PEG)
2.1.11. Polyethylene Terephthalate (PET)
2.1.12. Polyamide-6 (PA-6)
2.2. Electrospun Nanofibers Synthesis
2.2.1. Nanofibers Synthesis by Electrosppining in Solution
| Polymer Conditions | Electrospinning Parameters | Result | Ref. |
|---|---|---|---|
| 8% PAN dissolved in DMF and 11% PMIA (m-phenylene isophthalamide) dissolved in LiCl (2% LiCl into DMAc) | Voltage: 55 kV Distance 18 cm Collector: rotating metal roller, at 70 rpm | The membranes, even after being exposed to high temperatures (140 to 220 °C) keep diameters around 100 nm and reach filtration efficiencies of 99%. | [184] |
| 14% PAN | Inner diameter needle: 0.5 mm Feed rate: 0.4 mL h−1 Voltage: 13 kV Distance: 20 cm Collector: aluminum foil, embossed paper, and a bulged bubble. Temperature: 25 °C | The collector influences the distribution of the electric field and nanofibers, the fibers collected in embossed paper resulted in greater filtration efficiency and with smaller pore size, and those collected in bulging bubbles resulted in a smaller pore size. | [185] |
| 30% β–CD into a polymer solution (8% PAN in DMF). | Collector: rotating metal roller 13 cm × 19 cm, at 30 mm s−1. Distance 20 cm | The membranes were efficient in the adsorption of VOCs, formaldehyde and xylene. Achieved a filtration efficiency of over 95% and a low pressure drop (112 Pa) | [139] |
| 6% PAN in DMF 15% PA6 in formic acid | Multistructured composition PA6/PAN/PA6 Distance 20 cm Collector: rotating metal roller at 50 rpm Voltage 30 kV Feed rate PA6: 0.3 mL h−1 Feed rate PAN: 1 mL h−1 | A multistructured membrane with integrated properties of the ultrafine diameter of PA6 and PAN beads was obtained, filtration efficiencies of 99.99% and pressure drops of 117.5 Pa were achieved for nanoparticles from 300 to 500 nm. | [186] |
| 15% β–CD in the polymer solution (8% PAN in DMF). | Voltage 18 kV Feed rate 0.5 mL h−1 Distance 20 cm Collector: rotating metal roller at 180 rpm Collection time: 120 min | It was achieved: Fiber diameter between 305 to 463 nm. Benzene filtration efficiency greater than 95%. Pressure drop from 92 to 164 Pa. | [166] |
| Uni1: 10% PAN/PVDF with ratio 6:4 Uni2:12% PAN/PVDF with ratio 6:4 Bi: 12% PAN/PVDF with ratio 8:2 and 10% PAN/PVDF with ratio 6:4. | Multineedled electrospinning Configuration: Uni1/Bi/Uni2 Voltage 60 kV Rate: 6 m min−1 | The filter with sandwich structure showed an excellent filtration efficiency of 99.984% for PM 0.26 with, a pressure drop of 85.02 Pa. | [187] |
| PVDF was prepared in DMF with 0, 0.5 and 1% of DTAB | Voltage: 60 kV Distance: 18 cm Collector: rotating metal roller at 60 mm min−1 Temperature: 22.5 °C | PVDF modification allowed a homogenous membrane production. The 1% DTBA membrane achieved a complete inhibition against Staphylococcus aureus subsp. Aureus | [188] |
| 12, 15 and 18% PVC were prepared in DMF/tetrahydrofuran (THF) in ratio 1:1. 6% PAN was dissolved in DMF | Bead-on-string structure Voltage: from 9 to 10.5 kV Collector: rotating metal roller at 50 rpm Distance 20 cm Collection time: from 0.05 to 0.15 mm min−1 | An ideal hydrophobic filter was obtained to retain particulate matter in environments with high relative humidity, since the pressure drop is reduced, compared to hydrophilic filters. | [189] |
| 21%, 24%, 27%, and 30% of Poly (arylene sulfide sulfone) (PASS) was prepared in NMP | Voltage: 15 kV Distance: 20 cm Flow rate 0.5 mL h−1 | The PASS membrane had a diameter of 0.31 μm and a base weight of 3 g/m2. With a high particle removal efficiency (99.98%), low pressure drop (68 Pa). | [190] |
| 5 mg of Magnesium Tetraphenylporphyrin (MgTPP) was added to 12% of Polyetherimide (PEI) solution (dissolved in DMF/THF, in ratio 1:1) | Voltage: 17.2 kV Flow rate: 1.5 mL h−1 Distance: 10 cm | The diameter of the nanofibers was in the range of 1.2 to 1.4 μm and had a thermal stability up to 411 °C. In addition, a CO2 and PM2.5 filtration capacity of 74% and 81% respectively was achieved. | [191] |
| 5, 10, 15, 20, 25, and 30% of polystyrene (PS) in DMF PA-6 solutions at concentrations of 10, 15, 20 and 25% of PA-6 were prepared in FA 5, 10, 15, and 20% (TPU) were dissolved in DMF/THF (1/1, v/v) | Collector: rotating metal roller covered with a polypropylene piece, at 180 rpm. Distance 15 cm Rate: 100 mm cm−1 Temperature 25 °C | A submicron fibrous layer of TPU, a pearly fibrous layer of PS and an ultrafine nanofibrous layer of PA-6 were successively prepared. A filtration efficiency of up to 99.99% and a low pressure drop of 54 Pa were achieved. After deterioration, a filtration efficiency of more than 70% was achieved. | [192] |
| 4.85 mg of GO was dispersed in 2 mL of DMF. Then, 2 mL of acetone was added. Subsequently, 0.97 g of PVDF powder was slowly added to the GO dispersion | Voltage 8.5 kV Injection rate 1 mL h−1 Collector: rotating roller at 60 rpm Distance 15 cm Temperature 25 °C | GO/PVDF membranes show a higher PM2.5 removal efficiency (99.31%) and better reusability than the pristine PVDF NFMs (93.74%). | [193] |
| Poly(lactic acid) PLA was prepared at 8% in dichloromethane (DCM)/DMF ratio 80:20. methyl-(β-CD) was added | Voltage 16 kV Distance 10 cm Flow rate 0.5 mL h−1 | A filtration efficiency greater than 98% and pressure drop of 30 Pa were achieved for Toluene (a VOC). | [87] |
| 0.5% of Tetrabutylammonium chloride (TBAC) was dissolved in Dimethyl carbonate (DMC)/DMF (7/3), then PLA was added at concentration of 3% | Voltage: 25 kV Distance: 18 cm Feed: 5 mm min−1 Collector: rotating roller at 0.04 to 0.2 m min−1 | A mask with filtration efficiency for PM0.3 of 99.996% and a low pressure drop (104 Pa) higher than the commercial filter N95 was developed. Additionally, it has natural biodegradability based on PLA | [194] |
| 8, 10, 12 and 14% PLA in DMF | Collector: aluminum foil or Recycled Poly(ethylene terephthalate) (R-PET) webs. | A filtration efficiency of 99.992% was achieved, a low pressure drop of 201.11 Pa. | [195] |
| Zeolitic imidazolate framework crystals (ZIF) (0.125 g) were dispersed in 2 g of DMF by ultrasonic treatment, and then 0.4 g of soluble PU was added. | Distance 15 cm Voltage 18 kV Feed rate 0.6 mL h−1 Temperature 25 °C | Filtration efficiencies greater than 99% were achieved for PM2.5 and pressure drop of 400 Pa. | [196] |
| 12% of Polyamide 66 (PA 66) in formic acid | Voltage: 16 kV Distance: 20 cm Feed: 0.5 mm h−1 Collector: copper mesh | 200 nm diameter nanofibers were obtained. Additionally, it was achieved a filtration efficiency of 99.99% for 0.3 µm particles. | [197] |
| 19% of PEO in a mixture water/ethanol (1/1) 9% of PVA in water | Voltage: 8 kV Distance: 8 cm Feed: 100 µL h−1 Voltage: 15 kV Distance: 15 cm Feed: 200 µL h−1 | PVA membrane had a better membrane efficiency than PEO, 97.6% and 92.8%, respectively. | [198] |
| 8% of PVA in water | Voltage: 10.02 kV Distance: 9 cm Feed: 200 µL h−1 Temperature: 27 °C Collector: rotating roller at 15 rev min−1 | PVA nanofibrous membrane had the highest filtration efficiency (99.9%) for the particles under 10 µm compared with two conventional filter (23.6 and 99.1%) | [154] |
| 14% of PVDF mixed with 0, 0.5, 1 and 2% of lead zirconate titanate (PZT). The mixture was dissolved in DMF/acetone (1/1). | Voltage: 20 kV Distance: 10 cm Feed: 1 mL h−1 | An efficiency of 98.51% for particles from 50–500 nm. | [199] |
2.2.2. Nanofibers Synthesis by Melt Electrosppining
| Polymer Conditions | Electrospinning Parameters | Result | Ref. |
|---|---|---|---|
| PLA (polylactic acid) addition 6% ATBC (acetyl tributil citrate non-toxic) | Voltage: 40 kV Distance: 9 cm Airflow: 25 m s−1 Temperature of spinneret 240 °C | The membranes were stable, keep diameters around 236 nm. There was not thermal degradation of PLA | [203] |
| 10% PP (polypropylene) 90% polyvinyl butyral (PVB) | CO2 Laser-beam Laser beam distribution: 150 mm in length 2 mm in width Feed rate: 1.0 mm min−1 Voltage: 40–45 kV Collector distance: 10 cm | Fiber diameter depended on the amount of PVB in blends. The diameter of fibers decreased with increased PVB content. Diameter of fibers low of 181 ± 105 nm | [204] |
| Poly(ether-block-amide) (PEBA) in glacial acetic acid or butanal | Distance 6 cm Collector: rotating metal roller at 55 rpm Voltage 20 kV Feed rate: 3 mL h−1 Melt temperature 270 °C | Melt electrospinning produced large fibres. keep diameters around 1.92 ± 3.31 nm | [202] |
| Polymide 12 (Melt electrospinning) 15% Polymide 6/6-85% formic acid | Melt process Voltage 25 kV Feed rate 0.6 g h−1 Distance 7 cm Melt temperature 300 °C Electrospinning in solution Voltage 25 kV Feed rate 0.2 mL h−1 Distance 10 cm | It was achieved: membranes with porosity of 94.78%, filtration efficiency greater than 93.7% PM1 and 98.5% PM10 with, a pressure drops of 15.91–50.17 Pa. | [205] |
| Polypropylene (PP) 10 % polyvinyl alcohol (PVA) 2.5% Zeolite imidazole Frameworks-8 (ZIF-8) | Hot Air temperature 210 °C Voltage 24 kV Feed rate 0.8 mL h−1 Distance 20 cm | The membrane showed good air permeability, high mechanical properties, and optimal PM2,5 filtration performance. It was achieved: filtration efficiency of 96.5% with factor of quality of 0.099 Pa−1, and pressure drop of 34 Pa. | [200] |
2.3. Applications
3. Conclusions
Author Contributions
Funding
Data Availability Statement
Acknowledgments
Conflicts of Interest
References
- Lakshmanan, A.; Sarngan, P.P.; Sarkar, D. Inorganic-organic nanofiber networks with antibacteria properties for enhanced particulate filtration: The critical role of amorphous titania. Chemosphere 2022, 286, 131671. [Google Scholar] [CrossRef] [PubMed]
- Lv, D.; Zhu, M.; Jiang, Z.; Jiang, S.; Zhang, Q.; Xiong, R.; Huang, C. Green Electrospun Nanofibers and Their Application in Air Filtration. Macromol. Mater. Eng. 2018, 303, 1800336. [Google Scholar] [CrossRef]
- Zhu, M.; Han, J.; Wang, F.; Shao, W.; Xiong, R. Electrospun Nanofibers Membranes for Effective Air Filtration. Macromol. Mat. Eng. 2016, 302, 1600353. [Google Scholar] [CrossRef]
- Bui, T.T.; Shin, M.K.; Jee, S.Y.; Long, D.X.; Hong, J.; Kim, M.-G. Ferroelectric PVDF nanofiber membrane for high-efficiency PM0.3 air filtration with low air flow resistance. Colloids Surf. A Physicochem. Eng. Asp. 2022, 640, 128418. [Google Scholar] [CrossRef] [PubMed]
- Cao, M.; Gu, F.; Rao, C.; Fu, J.; Zhao, P. Improving the electrospinning process of fabricating nanofibrous membranes to filter PM2.5. Sci. Total Environ. 2019, 666, 1011–1021. [Google Scholar] [CrossRef]
- Wang, Y.; Zhao, X.; Jiao, X.; Chen, D. Electrospun filters for air filtration: Comparison with existing air filtration technologies. In Filtering Media by Electrospinning: Next Generation Membranes for Separation Applications; Springer: Cham, Switzerland, 2018; pp. 47–67. [Google Scholar]
- Miller, K.; Sullivan, J.H.; Anderson, G.L.; Ph, D.; Kaufman, J.D. Long-Term Exposure to Air Pollution and Incidence of Cardiovascular Events in Women. N. Engl. J. Med. 2007, 356, 447–458. [Google Scholar] [CrossRef]
- Mentz, R.J.; O’Brien, E.C. Air pollution in patients with heart failure. JACC Hear. Fail 2016, 4, 65–67. [Google Scholar] [CrossRef]
- Robert, B.; Nallathambi, G. A concise review on electrospun nanofibres/nanonets for filtration of gaseous and solid constituents (PM2.5) from polluted air. Colloid Interface Sci. Commun. 2020, 37, 100275. [Google Scholar] [CrossRef]
- Wang, Z.; Cui, Y.; Feng, Y.; Guan, L.; Dong, M.; Liu, Z.; Liu, L. A versatile Silk Fibroin based filtration membrane with enhanced mechanical property, disinfection and biodegradability. Chem. Eng. J. 2021, 426, 131947. [Google Scholar] [CrossRef]
- Zhang, H.; Zhang, X.; Wang, P.; Chen, R.; Gu, G.; Hu, S.; Tian, R. Laminated polyacrylonitrile nanofiber membrane codoped with boehmite nanoparticles for efficient electrostatic capture of particulate matters. Nanotechnology 2021, 32, 235601. [Google Scholar] [CrossRef]
- Iyenger, A.; Santhosh, P.; Manian, K.; Hee, J.; Ho, S.; Hwang, C.; Lee, K. Development of electrospun PVdF—PAN membrane-based polymer electrolytes for lithium batteries. J. Membr. Sci. 2008, 325, 683–690. [Google Scholar] [CrossRef]
- Sarbatly, R.; Sariau, J.; Alam, M.F.I. Advances in nanofiber membrane. Mater. Today 2020, 46, 2118–2121. [Google Scholar] [CrossRef]
- Lei, S.L.; Wang, L.M.; Wang, R.W.; Qin, X.H.; Yu, J.Y. Controllable diameter of electrospun nanofibers based on the velocity of whipping jets for high-efficiency air filtration. Sci. China Technol. Sci. 2021, 65, 481–489. [Google Scholar] [CrossRef]
- Berton, F.; Porrelli, D.; Di Lenarda, R.; Turco, G. A critical review on the production of electrospun nanofibres for guided bone regeneration in oral surgery. Nanomaterials 2020, 10, 16. [Google Scholar] [CrossRef]
- Xiao, Y.; Luo, H.; Tang, R.; Hou, J. Preparation and Applications of Electrospun Optically Transparent Fibrous Membrane. Polymers 2021, 13, 506. [Google Scholar] [CrossRef]
- Taylor, G.I. Disintegration of water drops in an electric field. Proc. R. Soc. London Ser. A Math. Phys. Sci. 1964, 280, 383–397. [Google Scholar]
- Valencia-Osorio, L.M.; Álvarez-Láinez, M.L. Global View and Trends in Electrospun Nanofiber Membranes for Particulate Matter Filtration: A Review. Macromol. Mater. Eng. 2021, 306, 2100278. [Google Scholar] [CrossRef]
- Kadam, V.; Kyratzis, I.L.; Truong, Y.B.; Schutz, J.; Wang, L.; Padhye, R. Electrospun bilayer nanomembrane with hierarchical placement of bead-on-string and fibers for low resistance respiratory air filtration. Sep. Purif. Technol. 2019, 224, 247–254. [Google Scholar] [CrossRef]
- Kaur, S.; Sundarrajan, S.; Rana, D. Review: The characterization of electrospun nanofibrous liquid filtration membranes. J. Mater. Sci. 2014, 49, 6143–6159. [Google Scholar] [CrossRef]
- Zhang, S.; Liu, H.; Tang, N.; Yu, J.; Ding, B. Electronetting. In Electrospinning: Nanofabrication and Applications; Elsevier: Amsterdam, The Netherlands, 2018; pp. 249–282. [Google Scholar]
- Liao, Y.; Loh, C.H.; Tian, M.; Wang, R.; Fane, A.G. Progress in electrospun polymeric nanofibrous membranes for water treatment: Fabrication, modification and applications. Prog. Polym. Sci. 2018, 77, 69–94. [Google Scholar] [CrossRef]
- Wei, L.; Sun, R.; Liu, C.; Xiong, J.; Qin, X. Mass production of nanofibers from needleless electrospinning by a novel annular spinneret. Mater. Des. 2019, 179, 107885. [Google Scholar] [CrossRef]
- Kang, L.; Liu, Y.; Wang, L.; Gao, X. Preparation of electrospun nanofiber membrane for air filtration and process optimization based on BP neural network. Mater. Res. Express 2021, 8, 115010. [Google Scholar] [CrossRef]
- Lyu, C.; Zhao, P.; Xie, J.; Dong, S.; Liu, J.; Rao, C.; Fu, J. Electrospinning of Nanofibrous Membrane and Its Applications in Air Filtration: A Review. Nanomaterials 2021, 11, 1501. [Google Scholar] [CrossRef] [PubMed]
- Wang, B.; Sun, Z.; Sun, Q.; Wang, J.; Du, Z.; Li, C.; Li, X. The preparation of bifunctional electrospun air filtration membranes by introducing attapulgite for the efficient capturing of ultrafine PMs and hazardous heavy metal ions. Environ. Pollut. 2019, 249, 851–859. [Google Scholar] [CrossRef] [PubMed]
- Muñoz-Escobar, A.; Reyes-López, S.Y. Antifungal susceptibility of Candida species to copper oxide nanoparticles on polycaprolactone fibers (PCL-CuONPs). PLoS ONE 2020, 15, e0228864. [Google Scholar] [CrossRef]
- Kampalanonwat, P.; Supaphol, P. Preparation of Hydrolyzed Electrospun Polyacrylonitrile Fiber Mats as Chelating Substrates: A Case Study on Copper (II) Ions. Ind. Eng. Chem. Res. 2011, 50, 11912–11921. [Google Scholar] [CrossRef]
- Lu, T.; Cui, J.; Qu, Q.; Wang, Y.; Zhang, J.; Xiong, R.; Ma, W.; Huang, C. Multistructured Electrospun Nanofibers for Air Filtration: A Review. ACS Appl. Mater. Interfaces 2021, 13, 23293–23313. [Google Scholar] [CrossRef]
- Kadam, V.V.; Wang, L.; Padhye, R. Electrospun nanofibre materials to filter air pollutants—A review. J. Ind. Text. 2018, 47, 2253–2280. [Google Scholar] [CrossRef]
- Mamun, A.; Blachowicz, T.; Sabantina, L. Electrospun nanofiber mats for filtering Applications-Technology, Structure and Materials. Polymers 2021, 13, 1368. [Google Scholar] [CrossRef]
- Snowdon, M.R.; Liang, R.L. Electrospun Filtration Membranes for Environmental Remediation; Elsevier: Amsterdam, The Netherlands, 2020; pp. 309–341. [Google Scholar]
- Poudyal, A.; Beckermann, G.W.; Chand, N.A.; Hosie, I.C.; Blake, A.; Kannan, B. Electrospun Nanofibre Filter Media: New Emergent Technologies and Market Perspectives BT. In Filtering Media by Electrospinning: Next Generation Membranes for Separation Applications; Focarete, M.L., Gualandi, C., Ramakrishna, S., Eds.; Springer International Publishing: Cham, Switzerland, 2018; pp. 197–224. [Google Scholar]
- Scholten, E.; Bromberg, L.; Rutledge, G.C.; Hatton, T.A. Electrospun Polyurethane Fibers for Absorption of Volatile Organic Compounds from Air. ACS Appl. Mater. Interfaces 2011, 3, 3902–3909. [Google Scholar] [CrossRef]
- Wang, S.-X.; Yap, C.C.; He, J.; Chen, C.; Wong, S.Y.; Li, X. Electrospinning: A facile technique for fabricating functional nanofibers for environmental applications. Nanotechnol. Rev. 2016, 5, 51–73. [Google Scholar] [CrossRef]
- Choi, M.-C.; Kim, Y.; Ha, C.-S. Polymers for flexible displays: From material selection to device applications. Prog. Polym. Sci. 2008, 33, 581–630. [Google Scholar] [CrossRef]
- Goseki, R.; Ishizone, T. Poly(methyl methacrylate) (PMMA) BT—Encyclopedia of Polymeric Nanomaterials; Kobayashi, S., Müllen, K., Eds.; Springer: Berlin/Heidelberg, Germany, 2021; pp. 1–11. ISBN 978-3-64236-199-9. [Google Scholar]
- Forte, M.A.; Silva, R.M.; Tavares, C.J.; Silva, R.F. Is Poly(methyl methacrylate) (PMMA) a Suitable Substrate for ALD? A Review. Polymer 2021, 13, 1346. [Google Scholar] [CrossRef]
- Ali, U.; Karim, K.J.B.A.; Buang, N.A. A Review of the Properties and Applications of Poly (Methyl Methacrylate) (PMMA). Polym. Rev. 2015, 55, 678–705. [Google Scholar] [CrossRef]
- Bani-Salameh, A.A.; Ahmad, A.A.; Alsaad, A.M.; Qattan, I.A.; Aljarrah, I.A. Synthesis, Optical, Chemical and Thermal Characterizations of PMMA-PS/CeO2 Nanoparticles Thin Film. Polymers 2021, 13, 1158. [Google Scholar] [CrossRef]
- Celebioglu, A.; Demirci, S.; Uyar, T. Cyclodextrin-grafted electrospun cellulose acetate nanofibers via “Click” reaction for removal of phenanthrene. Appl. Surf. Sci. 2014, 305, 581–588. [Google Scholar] [CrossRef]
- Ahangaran, F.; Navarchian, A.H.; Picchioni, F. Material encapsulation in poly(methyl methacrylate) shell: A review. J. Appl. Polym. Sci. 2019, 136, 48039. [Google Scholar] [CrossRef]
- Haaf, F.; Sanner, A.; Straub, F. Polymers of n-vinylpyrrolidone: Synthesis, characterization and uses. Polym. J. 1985, 17, 143–152. [Google Scholar] [CrossRef]
- Bühler, V. Polyvinylpyrrolidone Excipients for Pharmaceuticals: Povidone, Crospovidone and Copovidone; Springer Science & Business Media: New York, NY, USA, 2005; ISBN 3-54-027090-6. [Google Scholar]
- Bothiraja, C.; Shinde, M.B.; Rajalakshmi, S.; Pawar, A.P. Evaluation of molecular pharmaceutical and in-vivo properties of spray-dried isolated andrographolide—PVP. J. Pharm. Pharmacol. 2009, 61, 1465–1472. [Google Scholar] [CrossRef]
- Martins, R.M.; Pereira, S.V.; Siqueira, S.; Salomão, W.F.; Freitas, L.A.P. Curcuminoid content and antioxidant activity in spray dried microparticles containing turmeric extract. Food Res. Int. 2013, 50, 657–663. [Google Scholar] [CrossRef]
- Liu, C.; Hsu, P.-C.; Lee, H.-W.; Ye, M.; Zheng, G.; Liu, N.; Li, W.; Cui, Y. Transparent air filter for high-efficiency PM2.5 capture. Nat. Commun. 2015, 6, 6205. [Google Scholar] [CrossRef] [PubMed]
- Pagadala, N.S.; Syed, K.; Tuszynski, J. Software for molecular docking: A review. Biophys. Rev. 2017, 9, 91–102. [Google Scholar] [CrossRef] [PubMed]
- Kausar, A. Polyacrylonitrile-based nanocomposite fibers: A review of current developments. J. Plast. Film Sheeting 2019, 35, 295–316. [Google Scholar] [CrossRef]
- Adegbola, T.A.; Agboola, O.; Fayomi, O.S.I. Review of polyacrylonitrile blends and application in manufacturing technology: Recycling and environmental impact. Res. Eng. 2020, 7, 100144. [Google Scholar] [CrossRef]
- Uryu, T.; Asakura, T.; Matsuzaki, K. NMR Spectroscopy and Stereoregularity of Poymers; Karger Publishers: London, UK, 1996; ISBN 3-80-556298-5. [Google Scholar]
- Duan, G.; Liu, S.; Hou, H. Synthesis of polyacrylonitrile and mechanical properties of its electrospun nanofibers. e-Polymers 2018, 18, 569–573. [Google Scholar] [CrossRef]
- Lian, Q.; Liu, H.; Zheng, X.; Jia, D.; Liu, C.; Wang, D. Synthesis of polyacrylonitrile nanoflowers and their controlled pH-sensitive drug release behavior. RSC Adv. 2020, 10, 15715–15725. [Google Scholar] [CrossRef]
- Shlyahtin, A.; Nifant’ev, I.E.; Bagrov, V.; Lemenovskii, D.A.; Tavtorkin, A.N.; Timashev, P.S. Synthesis of polyacrylonitrile copolymers as potential carbon fibre precursors in CO2. Green Chem. 2014, 16, 1344–1350. [Google Scholar] [CrossRef]
- Boguslavsky, L.; Baruch, S.; Margel, S. Synthesis and characterization of polyacrylonitrile nanoparticles by dispersion/emulsion polymerization process. J. Colloid Interface Sci. 2005, 289, 71–85. [Google Scholar] [CrossRef]
- Ahire, J.J.; Neveling, D.P.; Dicks, L.M.T. Polyacrylonitrile (PAN) nanofibres spun with copper nanoparticles: An anti-Escherichia coli membrane for water treatment. Appl. Microbiol. Biotechnol. 2018, 102, 7171–7181. [Google Scholar] [CrossRef]
- Ma, M.; Zhang, C.; Huang, G.; Xing, B.; Duan, Y.; Wang, X.; Yang, Z.; Zhang, C. Synthesis and Electrochemical Performance of Polyacrylonitrile Carbon Nanostructure Microspheres for Supercapacitor Application. J. Nanomater. 2015, 2015, 246093. [Google Scholar] [CrossRef]
- Gurman, J.L.; Baier, L.; Levin, B.C. Polystyrenes: A review of the literature on the products of thermal decomposition and toxicity. Fire Mater. 1987, 11, 109–130. [Google Scholar] [CrossRef]
- Scheirs, J.; Priddy, D. Modern Styrenic Polymers: Polystyrenes and Styrenic Copolymers. John Wiley & Sons: New York, NY, USA, 2003; Volume 6, ISBN 0-47-149752-5. [Google Scholar]
- Maharana, T.; Negi, Y.S.; Mohanty, B. Review Article: Recycling of Polystyrene. Polym. Plast. Technol. Eng. 2007, 46, 729–736. [Google Scholar] [CrossRef]
- Yousif, E.; Haddad, R. Photodegradation and photostabilization of polymers, especially polystyrene: Review. Springerplus 2013, 2, 398. [Google Scholar] [CrossRef]
- Maafa, I.M. Pyrolysis of Polystyrene Waste: A Review. Polymers 2021, 13, 225. [Google Scholar] [CrossRef]
- Panwar, A.; Choudhary, V.; Sharma, D.K. Review: A review: Polystyrene/clay nanocomposites. J. Reinf. Plast. Compos. 2011, 30, 446–459. [Google Scholar] [CrossRef]
- Kim, G.-T.; Hwang, Y.-J.; Ahn, Y.-C.; Shin, H.-S.; Lee, J.-K.; Sung, C.-M. The morphology of electrospun polystyrene fibers. Korean J. Chem. Eng. 2005, 22, 147–153. [Google Scholar] [CrossRef]
- Nitanan, T.; Opanasopit, P.; Akkaramongkolporn, P.; Rojanarata, T.; Ngawhirunpat, T.; Supaphol, P. Effects of processing parameters on morphology of electrospun polystyrene nanofibers. Korean J. Chem. Eng. 2012, 29, 173–181. [Google Scholar] [CrossRef]
- Zulfi, A.; Fauzi, A.; Edikresnha, D.; Munir, M.M.; Khairurrijal, K. Synthesis of High-Impact Polystyrene Fibers using Electrospinning. IOP Conf. Ser. Mater. Sci. Eng. 2017, 202, 12010. [Google Scholar] [CrossRef]
- Lee, M.W.; An, S.; Latthe, S.S.; Lee, C.; Hong, S.; Yoon, S.S. Electrospun Polystyrene Nanofiber Membrane with Superhydrophobicity and Superoleophilicity for Selective Separation of Water and Low Viscous Oil. ACS Appl. Mater. Interfaces 2013, 5, 10597–10604. [Google Scholar] [CrossRef]
- Bahramzadeh, A.; Zahedi, P. Electrospun Polystyrene Nanofibers functionalization with acrylamide Using Plasma. In Proceedings of the 3rd International Conference on Nanotechnology (ICN2015), Istanbul, Turkey, 27–28 August 2015. [Google Scholar]
- Liu, F.; Song, D.; Huang, X.; Xu, H. Electrospun polystyrene nanofibers as a novel adsorbent to transfer an organic phase from an aqueous phase. J. Sep. Sci. 2016, 39, 1326–1330. [Google Scholar] [CrossRef]
- Shariati, S.; Shahpanah, E.; Bolouri, A.; Hashemifard, N.; Shariati, F. Electrospun polystyrene nanofiber adsorbent for solid phase extraction of phenol as its quinoid derivative from aqueous solutions. Eurasian Chem. Commun. 2019, 1, 470–479. [Google Scholar] [CrossRef]
- Liu, W.; Huang, C.; Jin, X. Electrospinning of Grooved Polystyrene Fibers: Effect of Solvent Systems. Nanoscale Res. Lett. 2015, 10, 237. [Google Scholar] [CrossRef] [PubMed]
- Shin, C.; Chase, G.G.; Reneker, D.H. Recycled expanded polystyrene nanofibers applied in filter media. Colloids Surf. A Physicochem. Eng. Asp. 2005, 262, 211–215. [Google Scholar] [CrossRef]
- Satoh, K. Poly(vinyl alcohol) (PVA) BT—Encyclopedia of Polymeric Nanomaterials; Kobayashi, S., Müllen, K., Eds.; Springer: Berlin/Heidelberg, Germany, 2015; pp. 1734–1739. ISBN 978-3-64229-648-2. [Google Scholar]
- Khalaji, S.; Golshan Ebrahimi, N.; Hosseinkhani, H. Enhancement of biocompatibility of PVA/HTCC blend polymer with collagen for skin care application. Int. J. Polym. Mater. Polym. Biomater. 2021, 70, 459–468. [Google Scholar] [CrossRef]
- Paradossi, G.; Cavalieri, F.; Chiessi, E.; Spagnoli, C.; Cowman, M.K. Poly(vinyl alcohol) as versatile biomaterial for potential biomedical applications. J. Mater. Sci. Mater. Med. 2003, 14, 687–691. [Google Scholar] [CrossRef]
- Dhall, R.K.; Alam, M.S. Biodegradable Packaging; Hashmi, S., Choudhury, I.A., Eds.; Elsevier: Oxford, UK, 2020; pp. 26–43. ISBN 978-0-12813-196-1. [Google Scholar]
- Alvarado, Y.; Muro, C.; Illescas, J.; Riera, F. Chapter 5—Polymer Nanoparticles for the Release of Complex Molecules; Holban, A.-M., Grumezescu, A.M., Eds.; Elsevier: Amsterdam, The Netherlands, 2019; pp. 135–163. ISBN 978-0-12818-433-2. [Google Scholar]
- Wang, W. Introductory Chapter: Polypropylene-Synthesis and Functionalization. In Polypropylene—Polymerization and Characterization of Mechanical and Thermal Properties; IntechOpen: Rijeka, Croatia, 2020; ISBN 978-1-83880-416-9. [Google Scholar]
- Tsioptsias, C.; Leontiadis, K.; Tzimpilis, E.; Tsivintzelis, I. Polypropylene nanocomposite fibers: A review of current trends and new developments. J. Plast. Film Sheeting 2020, 37, 283–311. [Google Scholar] [CrossRef]
- Teh, J.W.; Rudin, A.; Keung, J.C. A review of polyethylene–polypropylene blends and their compatibilization. Adv. Polym. Technol. 1994, 13, 1–23. [Google Scholar] [CrossRef]
- Lopes, M.; Jardini, A.; Filho, R. Synthesis and Characterizations of Poly (Lactic Acid) by Ring-Opening Polymerization for Biomedical Applications. Chem. Eng. Trans. 2014, 38, 331–336. [Google Scholar] [CrossRef]
- Casalini, T.; Rossi, F.; Castrovinci, A.; Perale, G. A Perspective on Polylactic Acid-Based Polymers Use for Nanoparticles Synthesis and Applications. Front. Bioeng. Biotechnol. 2019, 7, 259. [Google Scholar] [CrossRef]
- Martin, O.; Avérous, L. Poly(lactic acid): Plasticization and properties of biodegradable multiphase systems. Polymer 2001, 42, 6209–6219. [Google Scholar] [CrossRef]
- Gómez-Pachón, E.Y.; Vera-Graziano, R.; Campos, R.M. Structure of poly(lactic-acid) PLA nanofibers scaffolds prepared by electrospinning. IOP Conf. Ser. Mater. Sci. Eng. 2014, 59, 12003. [Google Scholar] [CrossRef]
- Santos, A.L.; Duarte, M.A.T.; Pezzin, S.H.; Silva, L.; Domingues, J.A. Preparation of porous poly (lactic acid) fibers by medium field electrospinning for tissue engineering applications. Mater. Res. 2020, 23, e20190468. [Google Scholar] [CrossRef]
- Chi, H.Y.; Chan, V.; Li, C.; Hsieh, J.H.; Lin, P.H.; Tsai, Y.-H.; Chen, Y. Fabrication of polylactic acid/paclitaxel nano fibers by electrospinning for cancer therapeutics. BMC Chem. 2020, 14, 63. [Google Scholar] [CrossRef]
- Palmieri, S.; Pierpaoli, M.; Riderelli, L.; Qi, S.; Ruello, M.L. Preparation and Characterization of an Electrospun PLA-Cyclodextrins Composite for Simultaneous High-Efficiency PM and VOC Removal. J. Compos. Sci. 2020, 4, 79. [Google Scholar] [CrossRef]
- Olivera, S.; Muralidhara, H.B.; Venkatesh, K.; Gopalakrishna, K.; Vivek, C.S. Plating on acrylonitrile–butadiene–styrene (ABS) plastic: A review. J. Mater. Sci. 2016, 51, 3657–3674. [Google Scholar] [CrossRef]
- Vishwakarma, S. Characterization of ABS Material: A Review. J. Res. Mech. Eng. 2017, 3, 13–16. [Google Scholar]
- Kamelian, F.S.; Saljoughi, E.; Shojaee Nasirabadi, P.; Mousavi, S.M. Modifications and research potentials of acrylonitrile/butadiene/styrene (ABS) membranes: A review. Polym. Compos. 2018, 39, 2835–2846. [Google Scholar] [CrossRef]
- Kuo, C.-C.; Liu, L.-C.; Teng, W.-F.; Chang, H.-Y.; Chien, F.-M.; Liao, S.-J.; Kuo, W.-F.; Chen, C.-M. Preparation of starch/acrylonitrile-butadiene-styrene copolymers (ABS) biomass alloys and their feasible evaluation for 3D printing applications. Compos. Part B Eng. 2016, 86, 36–39. [Google Scholar] [CrossRef]
- Fan, L.; Wei, L.; Zhu, Y.; Wang, Y.; Fei, J.; Li, Y. Synthesis of Environmentally Friendly Acrylonitrile Butadiene Styrene Resin with Low VOC. Materials 2020, 13, 1663. [Google Scholar] [CrossRef]
- Moradi, E.; Ebrahimzadeh, H.; Mehrani, Z. Electrospun acrylonitrile butadiene styrene nanofiber film as an efficient nanosorbent for head space thin film microextraction of polycyclic aromatic hydrocarbons from water and urine samples. Talanta 2019, 205, 120080. [Google Scholar] [CrossRef]
- Zulfi, A.; Hapidin, D.A.; Munir, M.M.; Iskandar, F.; Khairurrijal, K. The synthesis of nanofiber membranes from acrylonitrile butadiene styrene (ABS) waste using electrospinning for use as air filtration media. RSC Adv. 2019, 9, 30741–30751. [Google Scholar] [CrossRef] [PubMed]
- Akindoyo, J.O.; Beg, M.D.H.; Ghazali, S.; Islam, M.R.; Jeyaratnam, N.; Yuvaraj, A.R. Polyurethane types, synthesis and applications—A review. RSC Adv. 2016, 6, 114453–114482. [Google Scholar] [CrossRef]
- Gama, N.V.; Ferreira, A.; Barros-Timmons, A. Polyurethane Foams: Past, Present, and Future. Materials 2018, 11, 1841. [Google Scholar] [CrossRef] [PubMed]
- Reghunadhan, A.; Thomas, S. Polyurethanes: Structure, properties, synthesis, characterization, and applications. In Polyurethane Polymers; Elsevier: Amsterdam, The Netherlands, 2017; pp. 1–16. [Google Scholar]
- Seymour, R.B.; Kauffman, G.B. Polyurethanes: A class of modern versatile materials. J. Chem. Educ. 1992, 69, 909. [Google Scholar] [CrossRef]
- Farshchi, N.; Gedan-Smolka, M. Polyurethane Powder Coatings: A Review of Composition and Characterization. Ind. Eng. Chem. Res. 2020, 59, 15121–15132. [Google Scholar] [CrossRef]
- Briffa, M.; Decelis, S.; Brincat, J.-P.; Grima, J.; Gatt, R.; Valdramidis, V. Evaluation of polyurethane foam materials as air filters against fungal contamination. Food Control 2016, 73, 91–100. [Google Scholar] [CrossRef]
- Zhuo, H.; Hu, J.; Chen, S.; Yeung, L. Preparation of polyurethane nanofibers by electrospinning. J. Appl. Polym. Sci. 2008, 109, 406–411. [Google Scholar] [CrossRef]
- Agarwal, S.; Wendorff, J.H.; Greiner, A. Use of electrospinning technique for biomedical applications. Polymer 2008, 49, 5603–5621. [Google Scholar] [CrossRef]
- Akduman, C.; Akumbasar, P. Electrospun Polyurethane Nanofibers; IntechOpen: Rijeka, Croatia, 2017; ISBN 978-9-53513-545-6. [Google Scholar]
- D’souza, A.A.; Shegokar, R. Polyethylene glycol (PEG): A versatile polymer for pharmaceutical applications. Expert Opin. Drug Deliv. 2016, 13, 1257–1275. [Google Scholar] [CrossRef]
- Li, J.; Kao, W.J. Synthesis of Polyethylene Glycol (PEG) Derivatives and PEGylated−Peptide Biopolymer Conjugates. Biomacromolecules 2003, 4, 1055–1067. [Google Scholar] [CrossRef]
- Soni, J.; Sahiba, N.; Sethiya, A.; Agarwal, S. Polyethylene glycol: A promising approach for sustainable organic synthesis. J. Mol. Liq. 2020, 315, 113766. [Google Scholar] [CrossRef]
- Nhivekar, G.S.; Rathod, V.K. Optimization of lipase-catalyzed synthesis of polyethylene glycol stearate in a solvent-free system. Green Process. Synth. 2019, 8, 30–37. [Google Scholar] [CrossRef]
- Cesteros, L.C. A simple and green procedure to prepare poly(ethylene glycol) networks: Synthesis and properties. Green Chem. 2011, 13, 197–206. [Google Scholar] [CrossRef]
- Harris, J.M. Laboratory Synthesis of Polyethylene Glycol Derivatives. J. Macromol. Sci. Part C 1985, 25, 325–373. [Google Scholar] [CrossRef]
- Liu, J.; Chen, R.; Wang, C.; Zhao, Y.; Chu, F. Synthesis and characterization of polyethylene glycol-phenol-formaldehyde based polyurethane composite. Sci. Rep. 2019, 9, 19545. [Google Scholar] [CrossRef]
- Li, Z.; Chau, Y. Synthesis of heterobifunctional poly(ethylene glycol)s by an acetal protection method. Polym. Chem. 2010, 1, 1599–1601. [Google Scholar] [CrossRef]
- Bagheri, H.; Najarzadekan, H.; Roostaie, A. Electrospun polyamide–polyethylene glycol nanofibers for headspace solid-phase microextration. J. Sep. Sci. 2014, 37, 1880–1886. [Google Scholar] [CrossRef]
- Lobo, A.O.; Afewerki, S.; de Paula, M.M.M.; Ghannadian, P.; Marciano, F.R.; Zhang, Y.S.; Webster, T.J.; Khademhosseini, A. Electrospun nanofiber blend with improved mechanical and biological performance. Int. J. Nanomed. 2018, 13, 7891. [Google Scholar] [CrossRef]
- El Fray, M.; Wagner, H.D. Influence of PEG molecular masses on electrospinning of new multiblock terpoly(ester-ether-ester)s. Des. Monomers Polym. 2012, 15, 547–559. [Google Scholar] [CrossRef]
- Tan, H.-L.; Kai, D.; Pasbakhsh, P.; Teow, S.-Y.; Lim, Y.-Y.; Pushpamalar, J. Electrospun cellulose acetate butyrate/polyethylene glycol (CAB/PEG) composite nanofibers: A potential scaffold for tissue engineering. Colloids Surf. B Biointerfaces 2020, 188, 110713. [Google Scholar] [CrossRef]
- Zhang, H.; Zhen, Q.; Liu, Y.; Liu, R.; Zhang, Y. One-step melt blowing process for PP/PEG micro-nanofiber filters with branch networks. Res. Phys. 2019, 12, 1421–1428. [Google Scholar] [CrossRef]
- Dutt, K.; Soni, R. A review on synthesis of value added products from polyethylene terephthalate (PET) waste. Polym. Sci. Ser. B 2013, 55, 430–452. [Google Scholar] [CrossRef]
- Franz, R.; Welle, F. Contamination Levels in Recollected PET Bottles from Non-Food Applications and their Impact on the Safety of Recycled PET for Food Contact. Mol. 2020, 25, 4998. [Google Scholar] [CrossRef] [PubMed]
- Djapovic, M.; Milivojevic, D.; Ilic-Tomic, T.; Lješević, M.; Nikolaivits, E.; Topakas, E.; Maslak, V.; Nikodinovic-Runic, J. Synthesis and characterization of polyethylene terephthalate (PET) precursors and potential degradation products: Toxicity study and application in discovery of novel PETases. Chemosphere 2021, 275, 130005. [Google Scholar] [CrossRef] [PubMed]
- Jankauskaite, V.; Macijauskas, G.; Lygaitis, R. Polyethylene Terephthalate Waste Recycling and Application Possibilities: A Review. Medziagotyra 2008, 14, 119–127. [Google Scholar]
- Das, S.K.; Eshkalak, S.K.; Chinnappan, C.; Ghosh, R.; Jayathilaka, W.A.D.M.; Baskar, C.; Ramakrishna, S. Plastic Recycling of Polyethylene Terephthalate (PET) and Polyhydroxybutyrate (PHB)—A Comprehensive Review. Mater. Circ. Econ. 2021, 3, 9. [Google Scholar] [CrossRef]
- Koshti, R.; Mehta, L.; Samarth, N. Biological Recycling of Polyethylene Terephthalate: A Mini-Review. J. Polym. Environ. 2018, 26, 3520–3529. [Google Scholar] [CrossRef]
- Barnard, E.; Rubio Arias, J.J.; Thielemans, W. Chemolytic depolymerisation of PET: A review. Green Chem. 2021, 23, 3765–3789. [Google Scholar] [CrossRef]
- Chowdhury, M.T.U.; Mahi, M.; Azizul Haque, K. Rahman A Review On The Use Of Polyethylene Terephthalate (Pet) As Aggregates In Concrete. Malaysian J. Sci. 2018, 37, 118–136. [Google Scholar] [CrossRef]
- Saint-Loup, R.; Jeanmaire, T.; Robin, J.-J.; Boutevin, B. Synthesis of (polyethylene terephthalate/polyϵ-caprolactone) copolyesters. Polymer 2003, 44, 3437–3449. [Google Scholar] [CrossRef]
- Xiao, B.; Zheng, M.; Pang, J.; Jiang, Y.; Wang, H.; Sun, R.; Wang, A.; Wang, X.; Zhang, T. Synthesis and Characterization of Poly(ethylene terephthalate) from Biomass-Based Ethylene Glycol: Effects of Miscellaneous Diols. Ind. Eng. Chem. Res. 2015, 54, 5862–5869. [Google Scholar] [CrossRef]
- Hu, Y.; Wang, Y.; Zhang, X.; Qian, J.; Xing, X.; Wang, X. Synthesis of poly(ethylene terephthalate) based on glycolysis of waste PET fiber. J. Macromol. Sci. Part A 2020, 57, 430–438. [Google Scholar] [CrossRef]
- Guo, Y.; He, W.; Liu, J. Electrospinning polyethylene terephthalate/SiO2 nanofiber composite needle felt for enhanced filtration performance. J. Appl. Polym. Sci. 2020, 137, 48282. [Google Scholar] [CrossRef]
- Grumezescu, A.M.; Stoica, A.E.; Mihnea-Ștefan, D.-B.; Chircov, C.; Gharbia, S.; Baltă, C.; Ro, M.; Herman, H.; Holban, A.M.; Ficai, A.; et al. Electrospun Polyethylene Terephthalate Nanofibers Loaded with Silver Nanoparticles: Novel Approach in Anti-Infective Therapy. J. Clin. Med. 2019, 8, 1039. [Google Scholar] [CrossRef]
- Hussain, N.; Mehdi, M.; Yousif, M.; Ali, A.; Ullah, S.; Hussain Siyal, S.; Hussain, T.; Kim, I.S. Synthesis of Highly Conductive Electrospun Recycled Polyethylene Terephthalate Nanofibers Using the Electroless Deposition Method. Nanomaterials 2021, 11, 531. [Google Scholar] [CrossRef]
- Sereshti, H.; Amini, F.; Najarzadekan, H. Electrospun polyethylene terephthalate (PET) nanofibers as a new adsorbent for micro-solid phase extraction of chromium(vi) in environmental water samples. RSC Adv. 2015, 5, 89195–89203. [Google Scholar] [CrossRef]
- Hirano, T.; Onimura, K.; Tsutsumi, H.; Oishi, T. Synthesis and Thermal Properties of Polyamide 6-block-Poly(cyclohexylmaleimide). Polym. J. 1999, 31, 500–505. [Google Scholar] [CrossRef]
- Kricheldorf, H.R. Handbook of Polymer Synthesis; CRC Press: Boca Raton, FL, USA, 1991; Volume 24, ISBN 0-82-478514-2. [Google Scholar]
- Zhang, S.; Zhang, J.; Tang, L.; Huang, J.; Fang, Y.; Ji, P.; Wang, C.; Wang, H. A Novel Synthetic Strategy for Preparing Polyamide 6 (PA6)-Based Polymer with Transesterification. Polymers 2019, 11, 978. [Google Scholar] [CrossRef]
- Bakkali-Hassani, C.; Planes, M.; Roos, K.; Wirotius, A.-L.; Ibarboure, E.; Carlotti, S. Synthesis of polyamide 6 with aramid units by combination of anionic ring-opening and condensation reactions. Eur. Polym. J. 2018, 102, 231–237. [Google Scholar] [CrossRef]
- Wang, H.-H. Synthesis of nylon 6,6 copolymers with aromatic polyamide structure. J. Appl. Polym. Sci. 2001, 80, 2167–2175. [Google Scholar] [CrossRef]
- Marsano, E.; Francis, L.; Giunco, F. Polyamide 6 Nanofibrous Nonwovens via Electrospinning. J. Appl. Polym. Sci. 2010, 117, 1754–1765. [Google Scholar] [CrossRef]
- Al-Attabi, R.; Dumée, L.F.; Kong, L.; Schütz, J.A.; Morsi, Y. High Efficiency Poly(acrylonitrile) Electrospun Nanofiber Membranes for Airborne Nanomaterials Filtration. Adv. Eng. Mater. 2018, 20, 1700572. [Google Scholar] [CrossRef]
- Kadam, V.; Truong, Y.B.; Easton, C.; Mukherjee, S.; Wang, L.; Padhye, R.; Kyratzis, I.L. Electrospun Polyacrylonitrile/β-Cyclodextrin Composite Membranes for Simultaneous Air Filtration and Adsorption of Volatile Organic Compounds. ACS Appl. Nano Mater. 2018, 1, 4268–4277. [Google Scholar] [CrossRef]
- Roche, R.; Yalcinkaya, F. Electrospun Polyacrylonitrile Nanofibrous Membranes for Point-of-Use Water and Air Cleaning. Chemistryopen 2019, 8, 97–103. [Google Scholar] [CrossRef] [PubMed]
- Zhang, C.; Yao, L.; Yang, Z.; Kong, E.S.-W.; Zhu, X.; Zhang, Y. Graphene Oxide-Modified Polyacrylonitrile Nanofibrous Membranes for Efficient Air Filtration. ACS Appl. Nano Mater. 2019, 2, 3916–3924. [Google Scholar] [CrossRef]
- Li, J.; Zhang, D.; Yang, T.; Yang, S.; Yang, X.; Zhu, H. Nanofibrous membrane of graphene oxide-in-polyacrylonitrile composite with low filtration resistance for the effective capture of PM2.5. J. Membr. Sci. 2018, 551, 85–92. [Google Scholar] [CrossRef]
- Li, J.; Zhang, D.; Jiang, X.; Zhao, X.; Hu, R.; Zhong, Y.; Zhu, H. Nest-like multilevel structured graphene oxide-on-polyacrylonitrile membranes for highly efficient filtration of ultrafine particles. J. Mater. 2019, 5, 422–427. [Google Scholar] [CrossRef]
- Dai, H.; Liu, X.; Zhang, C.; Ma, K.; Zhang, Y. Electrospinning Polyacrylonitrile/Graphene Oxide/Polyimide nanofibrous membranes for High-efficiency PM2.5 filtration. Sep. Purif. Technol. 2021, 276, 119243. [Google Scholar] [CrossRef]
- Al-Attabi, R.; Morsi, Y.; Kujawski, W.; Kong, L.; Schütz, J.A.; Dumée, L.F. Wrinkled silica doped electrospun nano-fiber membranes with engineered roughness for advanced aerosol air filtration. Sep. Purif. Technol. 2019, 215, 500–507. [Google Scholar] [CrossRef]
- Huang, J.J.; Tian, Y.; Wang, R.; Tian, M.; Liao, Y. Fabrication of bead-on-string polyacrylonitrile nanofibrous air filters with superior filtration efficiency and ultralow pressure drop. Sep. Purif. Technol. 2020, 237, 116377. [Google Scholar] [CrossRef]
- Al-Attabi, R.; Morsi, Y.; Schütz, J.A.; Dumée, L.F. One-pot synthesis of catalytic molybdenum based nanocomposite nano-fiber membranes for aerosol air remediation. Sci. Total Environ. 2019, 647, 725–733. [Google Scholar] [CrossRef]
- Yan, S.; Yu, Y.; Ma, R.; Fang, J. The formation of ultrafine polyamide 6 nanofiber membranes with needleless electrospinning for air filtration. Polym. Adv. Technol. 2019, 30, 1635–1643. [Google Scholar] [CrossRef]
- Xiong, J.; Zhou, M.; Zhang, H.; Quan, Z.; Wang, R.; Qin, X. Sandwich-structured fibrous membranes with low filtration resistance for effective PM2.5 capture via one-step needleless electrospinning. Mater. Res. Express 2019, 6, 035027. [Google Scholar] [CrossRef]
- Wei, L.; Zhang, H.; Qin, X. Fabricated narrow diameter distribution nanofiber for an air filtration membrane using a double rings slit spinneret. Text. Res. J. 2019, 89, 936–947. [Google Scholar] [CrossRef]
- Chen, R.; Zhang, H.; Wang, M.; Zhang, X.; Gan, Z. Thermoplastic Polyurethane Nanofiber Membrane Based Air Filters for Efficient Removal of Ultrafine Particulate Matter PM0.1. ACS Appl. Nano Mater. 2021, 4, 182–189. [Google Scholar] [CrossRef]
- Xu, Y.; Li, X.; Xiang, H.-F.; Zhang, Q.-Q.; Wang, X.-X.; Yu, M.; Hao, L.-Y.; Long, Y.-Z. Large-Scale Preparation of Polymer Nanofibers for Air Filtration by a New Multineedle Electrospinning Device. J. Nanomater. 2020, 2020, 4965438. [Google Scholar] [CrossRef]
- Fang, Q.; Zhu, M.; Yu, S.; Sui, G.; Yang, X. Studies on soy protein isolate/polyvinyl alcohol hybrid nanofiber membranes as multi-functional eco-friendly filtration materials. Mater. Sci. Eng. B Solid-State Mater. Adv. Technol. 2016, 214, 1–10. [Google Scholar] [CrossRef]
- Wang, H.; Zheng, G.-F.; Wang, X.; Sun, D.-H. Study on the air filtration performance of nanofibrous membranes compared with conventional fibrous filters. In Proceedings of the 2010 IEEE 5th International Conference on Nano/Micro Engineered and Molecular Systems, NEMS 2010, Xiamen, China, 20–23 January 2010; pp. 387–390. [Google Scholar]
- Wang, H.; Yang, Z.Y.; Liu, J.Y.; Zheng, G.F.; Chen, L.M. Explore on pressure-drop performance of nanofibrous filtration membrane. Adv. Mater. Res. 2011, 236–238, 1885–1888. [Google Scholar] [CrossRef]
- Cui, J.; Lu, T.; Li, F.; Wang, Y.; Lei, J.; Ma, W.; Zou, Y.; Huang, C. Flexible and transparent composite nanofibre membrane that was fabricated via a “green” electrospinning method for efficient particulate matter 2.5 capture. J. Colloid Interface Sci. 2021, 582, 506–514. [Google Scholar] [CrossRef]
- Cui, J.; Wang, Y.; Lu, T.; Liu, K.; Huang, C. High performance, environmentally friendly and sustainable nanofiber membrane filter for removal of particulate matter 1.0. J. Colloid Interface Sci. 2021, 597, 48–55. [Google Scholar] [CrossRef]
- Yu, J.; Tian, X.; Xin, B.; Xu, J. Preparation and Characterization of PMIA Nanofiber Filter Membrane for Air Filter. Fibers Polym. 2021, 22, 2413–2423. [Google Scholar] [CrossRef]
- Xu, H.; Jin, W.; Wang, F.; Liu, G.; Li, C.; Wang, J.; Zhu, H.; Guo, Y. Formation and characterization of polytetrafluoroethylene nanofiber membranes for high-efficiency fine particulate filtration. RSC Adv. 2019, 9, 13631–13645. [Google Scholar] [CrossRef] [PubMed]
- Lin, S.; Huang, X.; Bu, Z.; Lin, Z.; Xie, P.; Lin, X.; Wang, L.; Lv, W. Nanofibrous Membranes with High Air Permeability and Fluffy Structure based on Low Temperature Electrospinning Technology. Fibers Polym. 2020, 21, 1466–1474. [Google Scholar] [CrossRef]
- Amin, A.; Merati, A.A.; Bahrami, S.H.; Bagherzadeh, R. Effects of porosity gradient of multilayered electrospun nanofibre mats on air filtration efficiency. J. Text. Inst. 2017, 108, 1563–1571. [Google Scholar] [CrossRef]
- Shao, Z.; Jiang, J.; Wang, X.; Li, W.; Fang, L.; Zheng, G. Self-powered electrospun composite nanofiber membrane for highly efficient air filtration. Nanomaterials 2020, 10, 1706. [Google Scholar] [CrossRef]
- Fan, Z.-Z.; He, H.-W.; Yuan, D.; Pang, L.-L.; Huang, Y.-Z.; Long, Y.-Z.; Ning, X. Fabrication of epoxy resin reinforced polyimide (PI)nanofibrous membrane. Mater. Lett. 2019, 252, 138–141. [Google Scholar] [CrossRef]
- Cao, J.; Cheng, Z.; Kang, L.; Zhang, Y.; Zhao, X.; Zhao, S.; Gao, B. Novel anti-fouling polyethersulfone/polyamide 66 membrane preparation for air filtration by electrospinning. Mater. Lett. 2017, 192, 12–16. [Google Scholar] [CrossRef]
- Ryšánek, P.; Čapková, P.; Štojdl, J.; Trögl, J.; Benada, O.; Kormunda, M.; Kolská, Z.; Munzarová, M. Stability of antibacterial modification of nanofibrous PA6/DTAB membrane during air filtration. Mater. Sci. Eng. C 2019, 96, 807–813. [Google Scholar] [CrossRef]
- Kadam, V.; Truong, Y.B.; Kyratzis, I.L.; Wang, L.; Padhye, R. Nanofibres for Clean Air Breathing. J. Inst. Eng. Ser. E 2021, 102, 137–143. [Google Scholar] [CrossRef]
- Wu, X.; Li, P.; Cong, L.; Yu, H.; Zhang, D.; Yue, Y.; Xu, H.; Xu, K.; Zheng, X.; Wang, X. Electrospun poly(vinyl alcohol) nanofiber films containing menthol/β-cyclodextrin inclusion complexes for smoke filtration and flavor retention. Colloids Surf. A Physicochem. Eng. Asp. 2020, 605, 125378. [Google Scholar] [CrossRef]
- Nicosia, A.; Keppler, T.; Müller, F.A.; Vazquez, B.; Ravegnani, F.; Monticelli, P.; Belosi, F. Cellulose acetate nanofiber electrospun on nylon substrate as novel composite matrix for efficient, heat-resistant, air filters. Chem. Eng. Sci. 2016, 153, 284–294. [Google Scholar] [CrossRef]
- Zhang, K.; Li, Z.; Kang, W.; Deng, N.; Yan, J.; Ju, J.; Liu, Y.; Cheng, B. Preparation and characterization of tree-like cellulose nanofiber membranes via the electrospinning method. Carbohydr. Polym. 2018, 183, 62–69. [Google Scholar] [CrossRef]
- Wang, J.; Liu, S.; Yan, X.; Jiang, Z.; Zhou, Z.; Liu, J.; Han, G.; Ben, H.; Jiang, W. Biodegradable and reusable cellulose-based nanofiber membrane preparation for mask filter by electrospinning. Membranes 2022, 12, 23. [Google Scholar] [CrossRef]
- Gao, X.; Gou, J.; Zhang, L.; Duan, S.; Li, C. A silk fibroin based green nano-filter for air filtration. RSC Adv. 2018, 8, 8181–8189. [Google Scholar] [CrossRef]
- Shalihah, H.; Kusumaatmaja, A.; Nugraheni, A.D.; Triyana, K. Optimization of chitosan/pva concentration in fabricating nanofibers membrane and its prospect as air filtration. Mater. Sci. Forum 2017, 901, 20–25. [Google Scholar] [CrossRef]
- Souzandeh, H.; Wang, Y.; Netravali, A.N.; Zhong, W.-H. Towards Sustainable and Multifunctional Air-Filters: A Review on Biopolymer-Based Filtration Materials. Polym. Rev. 2019, 59, 651–686. [Google Scholar] [CrossRef]
- Deng, Y.; Lu, T.; Cui, J.; Keshari Samal, S.; Xiong, R.; Huang, C. Bio-based electrospun nanofiber as building blocks for a novel eco-friendly air filtration membrane: A review. Sep. Purif. Technol. 2021, 277, 119623. [Google Scholar] [CrossRef]
- Lu, S.; Li, C.; Liu, R.; Lv, A. PVP-assisted shellac nanofiber membrane as highly efficient, eco-friendly, translucent air filter. Appl. Sci. 2021, 11, 1094. [Google Scholar] [CrossRef]
- Zulfi, A.; Hapidin, D.A.; Saputra, C.; Mustika, W.S.; Munir, M.M.; Khairurrijal, K. The synthesis of fiber membranes from High-Impact Polystyrene (HIPS) Waste using needleless electrospinning as air filtration media. Proc. Mater. Today 2019, 13, 154–159. [Google Scholar] [CrossRef]
- Zulfi, A.; Munir, M.M.; Hapidin, D.A.; Rajak, A.; Edikresnha, D.; Iskandar, F.; Khairurrijal, K. Air filtration media from electrospun waste high-impact polystyrene fiber membrane. Mater. Res. Express 2018, 5, 035049. [Google Scholar] [CrossRef]
- Rajak, A.; Hapidin, D.A.; Iskandar, F.; Munir, M.M.; Khairurrijal, K. Electrospun nanofiber from various source of expanded polystyrene (EPS) waste and their characterization as potential air filter media. Waste Manag. 2020, 103, 76–86. [Google Scholar] [CrossRef] [PubMed]
- Li, B.; Huang, C.; Yang, X. Preparation and characterization of electrospun wool keratin/polyethylene oxide nanofibers for air filtration applications. Dig. J. Nanomater. Biostruct. 2017, 12, 293–301. [Google Scholar]
- Guo, J.; Hanif, A.; Shang, J.; Deka, B.J.; Zhi, N.; An, A.K. PAA@ZIF-8 incorporated nanofibrous membrane for high-efficiency PM2.5 capture. Chem. Eng. J. 2021, 405, 126584. [Google Scholar] [CrossRef]
- Hao, Z.; Wu, J.; Wang, C.; Liu, J. Electrospun Polyimide/Metal-Organic Framework Nanofibrous Membrane with Superior Thermal Stability for Efficient PM 2.5 Capture. ACS Appl. Mater. Interfaces 2019, 11, 11904–11909. [Google Scholar] [CrossRef]
- Wang, Z.; Zhang, Y.; Ma, X.Y.D.; Ang, J.; Zeng, Z.; Ng, B.F.; Wan, M.P.; Wong, S.-C.; Lu, X. Polymer/MOF-derived multilayer fibrous membranes for moisture-wicking and efficient capturing both fine and ultrafine airborne particles. Sep. Purif. Technol. 2020, 235, 116183. [Google Scholar] [CrossRef]
- Lee, J.; Ha, J.-H.; Song, I.-H.; Anwar, M.S. Electrospun YSZ/silica nanofibers with controlled fiber diameters for air/water filtration media. J. Korean Ceram. Soc. 2021, 58, 471–482. [Google Scholar] [CrossRef]
- Zhang, H.; Xie, Y.; Song, Y.; Qin, X. Preparation of high-temperature resistant poly (m-phenylene isophthalamide)/polyacrylonitrile composite nanofibers membrane for air filtration. Colloids Surf. A Physicochem. Eng. Asp. 2021, 624, 126831. [Google Scholar] [CrossRef]
- Lou, L.-H.; Qin, X.-H.; Zhang, H. Preparation and study of low-resistance polyacrylonitrile nano membranes for gas filtration. Text. Res. J. 2017, 87, 208–215. [Google Scholar] [CrossRef]
- Yang, Y.; Zhang, S.; Zhao, X.; Yu, J.; Ding, B. Sandwich structured polyamide-6/polyacrylonitrile nanonets/bead-on-string composite membrane for effective air filtration. Sep. Purif. Technol. 2015, 152, 14–22. [Google Scholar] [CrossRef]
- Quan, Z.; Zu, Y.; Wang, Y.; Zhou, M.; Qin, X.; Yu, J. Slip effect based bimodal nanofibrous membrane for high-efficiency and low-resistance air purification. Sep. Purif. Technol. 2021, 275, 119258. [Google Scholar] [CrossRef]
- Capkova, P.; Kormunda, M.; Kolska, Z.; Trögl, J.; Munzarova, M.; Rysanek, P. Electrospun Antimicrobial PVDF-DTAB Nanofibrous Membrane for Air Filtration: Effect of DTAB on Structure, Morphology, Adhesion, and Antibacterial Properties. Macromol. Mater. Eng. 2018, 303, 1700415. [Google Scholar] [CrossRef]
- Gao, X.; Wen, S.; Yang, B.; Xue, J.; Wang, H. Enhanced air filtration performance under high-humidity condition through electrospun membranes with optimized structure. Chin. J. Chem. Eng. 2020, 28, 1788–1795. [Google Scholar] [CrossRef]
- Wei, Z.; Su, Q.; Yang, J.; Zhang, G.; Long, S.; Wang, X. High-performance filter membrane composed of oxidized Poly (arylene sulfide sulfone) nanofibers for the high-efficiency air filtration. J. Hazard. Mater. 2021, 417, 126033. [Google Scholar] [CrossRef]
- Ramachandran, S.; Rajiv, S. Ethylenediamine Functionalized Metalloporphyrin Loaded Nanofibrous Membrane: A New Strategic Approach to Air filtration. J. Inorg. Organomet. Polym. Mater. 2020, 30, 2142–2151. [Google Scholar] [CrossRef]
- Chen, J.-P.; Chen, S.-C.; Wu, X.-Q.; Ke, X.-X.; Wu, R.-X.; Zheng, Y.-M. Multilevel structured TPU/PS/PA-6 composite membrane for high-efficiency airborne particles capture: Preparation, performance evaluation and mechanism insights. J. Membr. Sci. 2021, 633, 119392. [Google Scholar] [CrossRef]
- Chen, M.; Jiang, J.; Feng, S.; Low, Z.-X.; Zhong, Z.; Xing, W. Graphene oxide functionalized polyvinylidene fluoride nanofibrous membranes for efficient particulate matter removal. J. Membr. Sci. 2021, 635, 119463. [Google Scholar] [CrossRef]
- Wang, L.; Gao, Y.; Xiong, J.; Shao, W.; Cui, C.; Sun, N.; Zhang, Y.; Chang, S.; Han, P.; Liu, F.; et al. Biodegradable and high-performance multiscale structured nanofiber membrane as mask filter media via poly(lactic acid) electrospinning. J. Colloid Interface Sci. 2022, 606, 961–970. [Google Scholar] [CrossRef]
- Deng, L.; Zhang, P.; Zhang, W.; Zhu, R.; Yan, Y. High filtration efficiency fluffy material: Nano-fiber constructing gradient structure on recycled curved PET micro-fibers web. SN Appl. Sci. 2019, 1, 190. [Google Scholar] [CrossRef]
- Wang, H.; Xu, H.; Li, H.; Liu, X.; Du, Z.; Yu, W. Electrospun Polyurethane/Zeolitic Imidazolate Framework Nanofibrous Membrane with Superior Stability for Filtering Performance. ACS Appl. Polym. Mater. 2021, 3, 710–719. [Google Scholar] [CrossRef]
- Cheng, Z.; Cao, J.; Kang, L.; Luo, Y.; Li, T.; Liu, W. Novel transparent nano-pattern window screen for effective air filtration by electrospinning. Mater. Lett. 2018, 221, 157–160. [Google Scholar] [CrossRef]
- Wang, H.; Zheng, G.; Sun, D. Electrospun nanofibrous membrane for air filtration. In Proceedings of the 2007 7th IEEE International Conference on Nanotechnology—IEEE-NANO 2007, Hong Kong, China, 2–5 August 2007; pp. 1244–1247. [Google Scholar]
- He, W.; Guo, Y.; Zhao, Y.-B.; Jiang, F.; Schmitt, J.; Yue, Y.; Liu, J.; Cao, J.; Wang, J. Self-supporting smart air filters based on PZT/PVDF electrospun nanofiber composite membrane. Chem. Eng. J. 2021, 423, 130247. [Google Scholar] [CrossRef]
- Li, T.; Fan, Y.; Cen, X.; Wang, Y.; Shiu, B.; Ren, H.; Peng, H.; Jiang, Q.; Lou, C.; Lin, J. Polypropylene/Polyvinyl Alcohol/Metal-Organic Framework-Based Melt-Blown Electrospun Composite Membranes for Highly Efficient Filtration of PM2.5. Nanomaterials 2020, 8, 2025. [Google Scholar] [CrossRef] [PubMed]
- Morikawa, K.; Green, M.; Naraghi, M. A Novel Approach for Melt Electrospinning of Polymer Fibers. Procedia Manuf. 2018, 26, 205–208. [Google Scholar] [CrossRef]
- Sarwar, Z.; Krugly, E.; Danilovas, P.P.; Ciuzas, D.; Kauneliene, V.; Martuzevicius, D. Fabrication and characterization of PEBA fibers by melt and solution electrospinning. J. Mater. Res. Technol. 2019, 8, 6074–6085. [Google Scholar] [CrossRef]
- Qin, Y.; Cheng, L.; Zhang, Y.; Chen, X.; Wang, X.; He, X.; Yang, W.; An, Y.; Li, H. Efficient preparation of poly(lactic acid) nanofibers by melt differential electrospinning with addition of acetyl tributyl citrate. J. Appl. Polym. Sci. 2018, 135, 42–45. [Google Scholar] [CrossRef]
- Zakaria, M.; Nakane, K. Fabrication of Polypropylene Nanofibers from Polypropylene/Polyvinyl Butyral Blend Films Using Laser-Assisted Melt-Electrospinning. Polym. Eng. Sci. 2020, 60, 362–370. [Google Scholar] [CrossRef]
- Buivydiene, D.; Todea, A.M.; Asbach, C.; Krugly, E.; Martuzevicius, D.; Kliucininkas, L. Composite micro/nano fibrous air filter by simultaneous melt and solution electrospinning. J. Aerosol Sci. 2021, 154, 105754. [Google Scholar] [CrossRef]
- Ding, B.; Yu, J. Electrospun Nanofibers for Energy and Environmental Applications; Ding, B., Yu, J., Eds.; Springer: Shanghai, China, 2013; ISBN 978-3-64254-159-9. [Google Scholar]
- Pu, Y.; Zheng, J.; Chen, F.; Long, Y.; Wu, H.; Li, Q.; Yu, S.; Wang, X.; Ning, X. Preparation of Polypropylene Micro and Nanofibers by Electrostatic-Assisted Melt Blown and Their Application. Polymers 2018, 10, 959. [Google Scholar] [CrossRef]
- Balgis, R.; Murata, H.; Goi, Y.; Ogi, T.; Okuyama, K.; Bao, L. Synthesis of Dual-Size Cellulose–Polyvinylpyrrolidone Nanofiber Composites via One-Step Electrospinning Method for High-Performance Air Filter. Langmuir 2017, 33, 6127–6234. [Google Scholar] [CrossRef]
- Tang, H.; Han, D.; Zhang, J. Electrospinning fabrication of polystyrene-silica hybrid fibrous membrane for high-efficiency air filtration. Nano Express 2021, 2, 020017. [Google Scholar] [CrossRef]
- Wang, C.; Fan, J.; Xu, R.; Zhang, L.; Zhong, S.; Wang, W.; Yu, D. Quaternary ammonium chitosan/polyvinyl alcohol composites prepared by electrospinning with high antibacterial properties and filtration efficiency. J. Mater. Sci. 2019, 54, 12522–12532. [Google Scholar] [CrossRef]
- Liang, W.; Xu, Y.; Li, X.; Wang, X.-X.; Zhang, H.-D.; Yu, M.; Ramakrishna, S.; Long, Y.-Z. Transparent Polyurethane Nanofiber Air Filter for High-Efficiency PM2.5 Capture. Nanoscale Res. Lett. 2019, 14, 361. [Google Scholar] [CrossRef]
- Bonfim, D.P.; Cruz, F.G.; Bretas, R.E.; Guerra, V.G.; Aguiar, M.L. A Sustainable Recycling Alternative: Electrospun PET-Membranes for Air Nanofiltration. Polymers 2021, 13, 1166. [Google Scholar] [CrossRef]
- Zhang, S.; Tang, N.; Cao, L.; Yin, X.; Yu, J.; Ding, B. Highly Integrated Polysulfone/Polyacrylonitrile/Polyamide-6 Air Filter for Multilevel Physical Sieving Airborne Particles. ACS Appl. Mater. Interfaces 2016, 8, 29062–29072. [Google Scholar] [CrossRef]
















| Polymer | Product | Technique of Development of Nanofibers | Uses | Ref. |
|---|---|---|---|---|
| Polymethyl methacrylate (PMMA) | Electrospun nanofiber of PMMA/cyclodextrins | Electrospinning | Capture of VOCs | [41] |
| Polyvinylpyrrolidone (PVP) | Dual-size PVP−cellulose composite nanofibers | Via one-step electrospinning | multilayer air filters to capture aerosol particles | [208] |
| Polyacrylenitrile (PAN) | Electrospun nanofibers web of PAN | Needle-free wire electrospinning industrial production method. | Point-of-use water and air cleaning removing PM2.5 and PM10 | [140] |
| Polystyrene (PS) | Polystyrene-SiO2 nanoparticle (PS-SNP) fibrous membrane | Electrospun PS fibers and SiO2 nanoparticles | Composite multi-layered filter masks with high air filtration and permeability. | [209] |
| Polyvinyl alcohol (PVA) | Electrospining nanofibres of Quaternary ammonium chitosan/PVA | Electrospun of composite nanofiber membranes. | Air purification and antimicrobial material. | [210] |
| Polypropylene (PP) | Polypropylene Micro and Nanofibers | Electrostatic-assisted melt-blown system | Filtration efficiency may be used in air filtration. | [207] |
| Polylactic acid (PLA) | Electrospun PLA-Cyclodextrins Composite | Electrospun of composite. | Removal of PM and VOC | [87] |
| Acrylonitrile butadiene styrene (ABS) | Nanofiber membranes from ABS | Electrospinning method | Air filter applications for remove PM2.5 | [94] |
| Polyurethane (PU) | Transparent Polyurethane Nanofiber | rotating bead spinneret for large-scale electrospinning | Capture of fine particle matter. | [211] |
| Polyethylene glycol (PEG) | Electrospun PA/PEG nanofibers | Electrospinning | Headspace solid-phase microextraction | [112] |
| Polyethylene terephthalate (PET) | Electrospun microfiber membranes from PET | Electrospinning | Removal of viable aerosol nanoparticles like bacteria, fungi, and also viruses, mainly SARS-CoV-2 | [212] |
| Polyamide-6 (PA-6) | Electrospun nanofiber from polysulfone/polyacrylonitrile/polyamide-6 | Sequential electrospinning. | Filtration and separation | [213] |
Disclaimer/Publisher’s Note: The statements, opinions and data contained in all publications are solely those of the individual author(s) and contributor(s) and not of MDPI and/or the editor(s). MDPI and/or the editor(s) disclaim responsibility for any injury to people or property resulting from any ideas, methods, instructions or products referred to in the content. |
© 2023 by the authors. Licensee MDPI, Basel, Switzerland. This article is an open access article distributed under the terms and conditions of the Creative Commons Attribution (CC BY) license (https://creativecommons.org/licenses/by/4.0/).
Share and Cite
Espinoza-Montero, P.J.; Montero-Jiménez, M.; Rojas-Quishpe, S.; Alcívar León, C.D.; Heredia-Moya, J.; Rosero-Chanalata, A.; Orbea-Hinojosa, C.; Piñeiros, J.L. Nude and Modified Electrospun Nanofibers, Application to Air Purification. Nanomaterials 2023, 13, 593. https://doi.org/10.3390/nano13030593
Espinoza-Montero PJ, Montero-Jiménez M, Rojas-Quishpe S, Alcívar León CD, Heredia-Moya J, Rosero-Chanalata A, Orbea-Hinojosa C, Piñeiros JL. Nude and Modified Electrospun Nanofibers, Application to Air Purification. Nanomaterials. 2023; 13(3):593. https://doi.org/10.3390/nano13030593
Chicago/Turabian StyleEspinoza-Montero, Patricio J., Marjorie Montero-Jiménez, Stalin Rojas-Quishpe, Christian David Alcívar León, Jorge Heredia-Moya, Alfredo Rosero-Chanalata, Carlos Orbea-Hinojosa, and José Luis Piñeiros. 2023. "Nude and Modified Electrospun Nanofibers, Application to Air Purification" Nanomaterials 13, no. 3: 593. https://doi.org/10.3390/nano13030593
APA StyleEspinoza-Montero, P. J., Montero-Jiménez, M., Rojas-Quishpe, S., Alcívar León, C. D., Heredia-Moya, J., Rosero-Chanalata, A., Orbea-Hinojosa, C., & Piñeiros, J. L. (2023). Nude and Modified Electrospun Nanofibers, Application to Air Purification. Nanomaterials, 13(3), 593. https://doi.org/10.3390/nano13030593

