Atomistic Investigation on the Blocking Phenomenon of Crack Propagation in Cu Substrate Reinforced by CNT
Abstract
1. Introduction
2. Details of Molecular Statics Simulations
2.1. Empirical Potentials for Describing Atomic Interactions
2.2. Details of the Simulation Models
3. Results
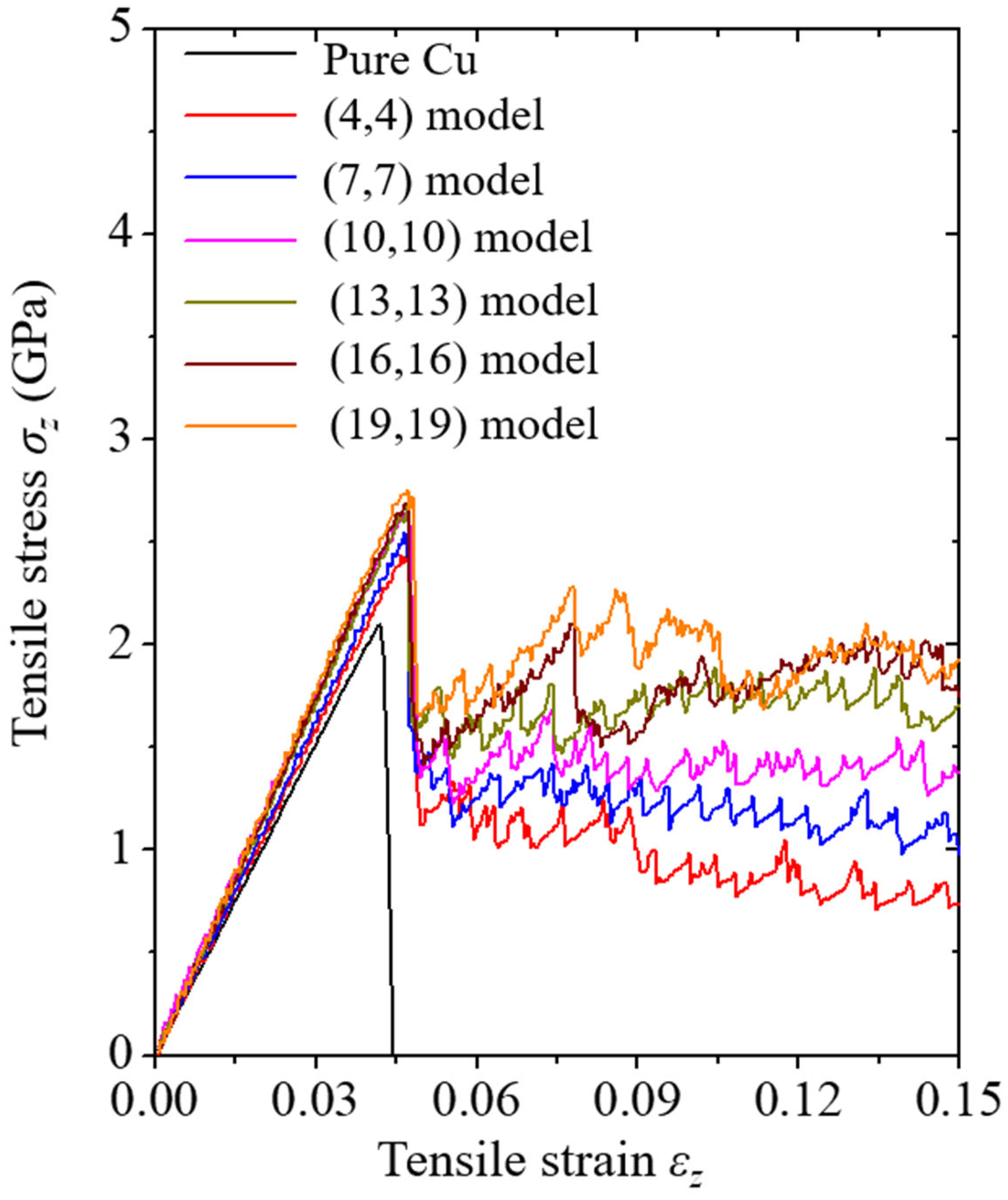
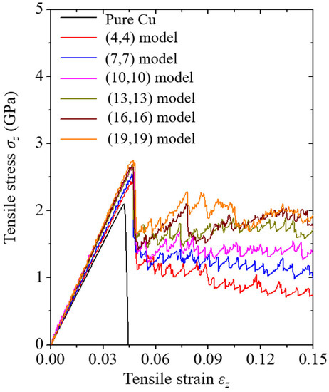
3.1. Stress–Strain Curves
3.2. Deformation Behaviors of the Cu/CNT Composites
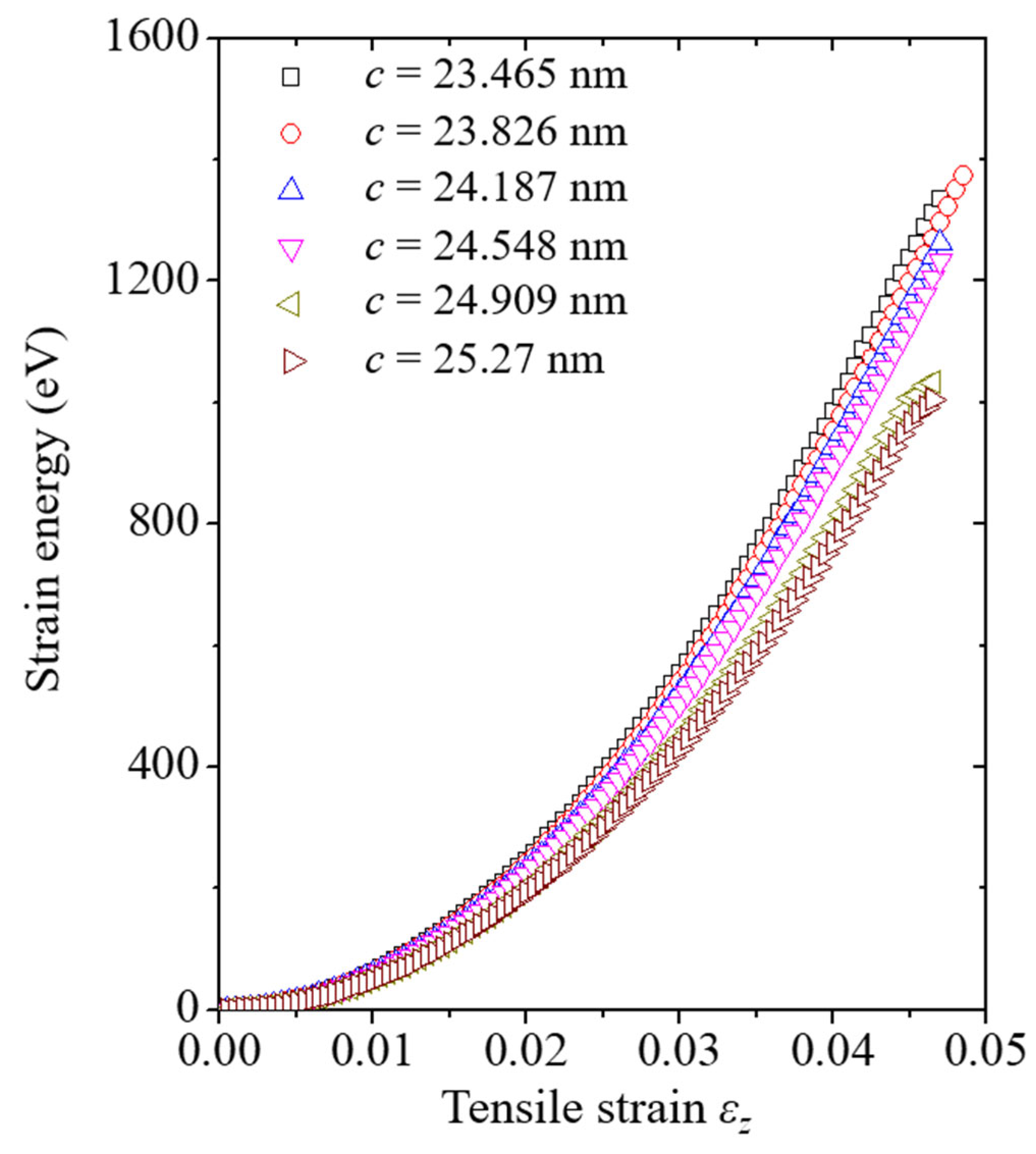
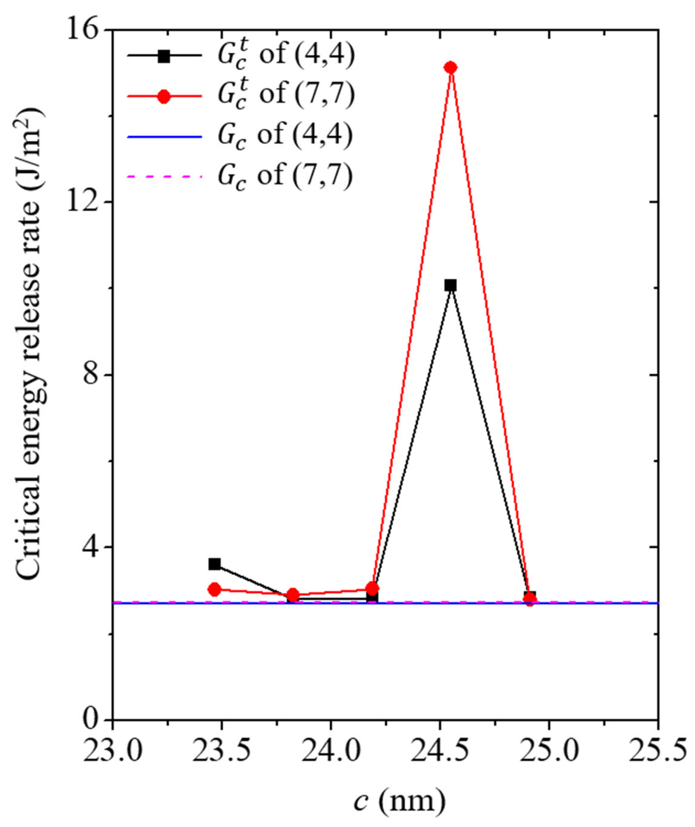
3.3. Failure Properties of the Cu/CNT Composite System
4. Conclusions
Author Contributions
Funding
Data Availability Statement
Conflicts of Interest
References
- Lau, J.H. Overview and outlook of three-dimensional integrated circuit packaging, three-dimensional Si integration, and three-dimensional integrated circuit integration. J. Electron. Packag. 2014, 136, 040801. [Google Scholar] [CrossRef]
- Du, L.; Shi, T.; Su, L.; Xue, D.; Liao, G. A novel bottom-up copper filling of blind silicon vias in 3D electronic packaging. J. Micromech. Microeng. 2015, 25, 045005. [Google Scholar] [CrossRef]
- Xie, S.; Li, W.; Pan, Z.; Chang, B.; Sun, L. Mechanical and physical properties on carbon nanotube. J. Phys. Chem. Solids 2000, 61, 1153–1158. [Google Scholar] [CrossRef]
- Popov, V.N. Carbon nanotubes: Properties and application. Mater. Sci. Eng. R-Rep. 2004, 43, 61–102. [Google Scholar] [CrossRef]
- Subramaniam, C.; Yamada, T.; Kobashi, K.; Sekiguchi, A.; Futaba, D.N.; Yumura, M.; Hata, K. One hundred fold increase in current carrying capacity in a carbon nanotube-copper composite. Nat. Commun. 2013, 4, 2202. [Google Scholar] [CrossRef]
- Feng, Y.; Burkett, S.L. Fabrication and electrical performance of through silicon via interconnects filled with a copper/carbon nanotube composite. J. Vac. Sci. Technol. B 2015, 33, 022004. [Google Scholar] [CrossRef]
- Gao, H.; Ji, B. Modeling fracture in nanomaterials via a virtual internal bond method. Eng. Fract. Mech. 2003, 70, 1777–1791. [Google Scholar] [CrossRef]
- Shim, J.S.; Go, D.H.; Beom, H.G. Effects of geometric and crystallographic factors on the reliability of Al/Si vertically cracked nanofilm/substrate systems. Materials 2021, 14, 3570. [Google Scholar] [CrossRef]
- Kang, K.; Cai, W. Size and temperature effects on the fracture mechanisms of silicon nanowires: Molecular dynamics simulations. Int. J. Plast. 2010, 26, 1387–1401. [Google Scholar] [CrossRef]
- Shim, J.S.; Lee, G.H.; Cui, C.Y.; Beom, H.G. Mechanical behaviors of Si/CNT core/shell nanocomposites under tension: A molecular dynamics analysis. Nanomaterials 2021, 11, 1989. [Google Scholar] [CrossRef] [PubMed]
- Plimpton, S. Fast parallel algorithms for short-range molecular dynamics. J. Comput. Phys. 1995, 117, 1–19. [Google Scholar] [CrossRef]
- Daw, M.S.; Baskes, M.I. Embedded-atom method: Derivation and application to impurities, surfaces, and other defects in metals. Phys. Rev. B 1984, 29, 6443. [Google Scholar] [CrossRef]
- Mishin, Y.; Mehl, M.J.; Papaconstantopoulos, D.A.; Voter, A.F.; Kress, J.D. Structural stability and lattice defects in copper: Ab initio, tight-binding, and embedded-atom calculations. Phys. Rev. B 2001, 63, 224106. [Google Scholar] [CrossRef]
- Stuart, S.J.; Tutein, A.B.; Harrison, J.A. A reactive potential for hydrocarbon with intermolecular interactions. J. Chem. Phys. 2000, 112, 6472–6486. [Google Scholar] [CrossRef]
- Brenner, D.W.; Shenderova, O.A.; Harrison, J.A.; Stuart, S.J.; Ni, B.; Sinnott, S.B. A second-generation reactive empirical bond order (REBO) potential energy expression for hydrocarbons. J. Phys. Condens. Matter 2002, 14, 783–802. [Google Scholar] [CrossRef]
- Rajasekaran, G.; Kumar, R.; Parashar, A. Tersoff potential with improved accuracy for simulating graphene in molecular dynamics environment. Mater. Res. Express 2016, 3, 035011. [Google Scholar] [CrossRef]
- Simmons, G.; Wang, H. Single Crystal Elastic Constants and Calculated Aggregate Properties, 2nd ed.; MIT Press: Cambridge, MA, USA, 1977. [Google Scholar]
- Smithells, C.J. Metal Reference Book, 5th ed.; Butterworth: London, UK, 1976. [Google Scholar]
- Greenwood, N.N.; Earnshaw, A. Chemistry of the Elements, 2nd ed.; Butterworth-Heinemann: Oxford, UK, 1997. [Google Scholar]
- Salvetat, J.-P.; Bonard, J.-M.; Thomson, N.H.; Kulik, A.J.; Forró, L.; Benoit, W.; Zuppiroli, L. Mechanical properties of carbon nanotubes. Appl. Phys. A 1999, 69, 255–260. [Google Scholar] [CrossRef]
- Jorgensen, W.L.; Chandrasekhar, J.; Madura, J.D.; Impey, R.W.; Klein, M.L. Comparison of simple potential functions for simulating liquid water. J. Chem. Phys. 1983, 79, 926. [Google Scholar] [CrossRef]
- Guo, Y.; Guo, W. Structural transformation of partially confined copper nanowires inside defected carbon nanotubes. Nanotechnology 2006, 17, 4726–4730. [Google Scholar] [CrossRef]
- Xu, Z.; Buehler, M.J. Nanoengineering heat transfer performance at carbon nanotube interfaces. ACS Nano 2009, 3, 2767–2775. [Google Scholar] [CrossRef]
- Weng, S.; Ning, H.; Fu, T.; Hu, N.; Zhao, Y.; Huang, C.; Peng, X. Molecular dynamics study of strengthening mechanism of nanolaminated graphene/Cu composites under compression. Sci. Rep. 2018, 8, 3089. [Google Scholar] [CrossRef]
- Feng, Y.; Burkett, S.L. Modeling a copper/carbon nanotube composite for applications in electronic packaging. Comput. Mater. Sci. 2015, 97, 1–5. [Google Scholar] [CrossRef]
- Hestenes, M.R.; Stiefel, E. Methods of conjugate gradients for solving linear systems. J. Res. Natl. Bur. Stand. 1952, 49, 409–436. [Google Scholar] [CrossRef]
- Stukowski, A. Visualization and analysis of atomistic simulation data with OVITO-the Open Visualization Tool. Model. Simul. Mater. Sci. Eng. 2010, 18, 015012. [Google Scholar] [CrossRef]
- Swenson, R.J. Comments on virial theorems for bounded systems. Am. J. Phys. 1983, 51, 940. [Google Scholar] [CrossRef]
- Subramaniyan, A.K.; Sun, C.T. Continuum interpretation of virial stress in molecular simulations. Int. J. Solids Struct. 2008, 45, 4340–4346. [Google Scholar] [CrossRef]
- Cui, C.B.; Beom, H.G. Molecular dynamics simulations of edge cracks in copper and aluminum single crystals. Mater. Sci. Eng. A-Struct. Mater. Prop. Microstruct. Process. 2014, 609, 102–109. [Google Scholar] [CrossRef]
- Liew, K.M.; He, X.Q.; Wong, C.H. On the study of elastic and plastic properties of multi-walled carbon nanotubes under axial tension using molecular dynamics simulation. Acta Mater. 2004, 52, 2521–2527. [Google Scholar] [CrossRef]
- Armstrong, D.E.J.; Wilkinson, A.J.; Roberts, S.G. Measuring anisotropy in Young’s modulus of copper using microcantilever testing. J. Mater. Res. 2009, 24, 3268–3276. [Google Scholar] [CrossRef]
- Wu, H.F.; Wu, L.L.; Slagter, W.J.; Verolme, J.L. Use of rule of mixtures and metal volume fraction for mechanical property predictions of fibre-reinforced aluminium laminates. J. Mater. Sci. 1994, 29, 4583–4591. [Google Scholar] [CrossRef]
- Batra, R.C.; Sears, A. Continuum models of multi-walled carbon nanotubes. Int. J. Solids Struct. 2007, 44, 7577–7596. [Google Scholar] [CrossRef]
- Lee, G.H.; Kim, J.H.; Beom, H.G. Cohesive zone modeling of crack propagation in FCC single crystals via atomistic simulations. Met. Mater.-Int. 2021, 27, 584–592. [Google Scholar] [CrossRef]
- Chen, C.-R.; Mai, Y.-W. Comparison of cohesive zone model and linear elastic fracture mechanics for a mode I crack near a compliant/stiff interface. Eng. Fract. Mech. 2010, 77, 3408–3417. [Google Scholar] [CrossRef]
- Zhu, T.; Gao, H. Plastic deformation mechanism in nanotwinned metals: An insight from molecular dynamics and mechanistic modeling. Scr. Mater. 2012, 66, 843–848. [Google Scholar] [CrossRef]
- Han, B.; Guo, E.; Xue, X.; Zhao, Z.; Li, T.; Xu, Y.; Luo, L.; Hou, H. Fabricating the strengthening the carbon nanotube/copper composite fibers with high strength and high electrical conductivity. Appl. Surf. Sci. 2018, 441, 984–992. [Google Scholar] [CrossRef]
- Griffith, A.A. The phenomena of rupture and flow in solids. Philos. Trans. R. Soc. A 1921, 221, 163–198. [Google Scholar]
- Zhuo, X.R.; Beom, H.G. Size-dependent fracture properties of cracked silicon nanofilms. Mater. Sci. Eng. A-Struct. Mater. Prop. Microstruct. Process. 2015, 636, 470–475. [Google Scholar] [CrossRef]
- Zhang, P.; Ma, L.; Fan, F.; Zeng, Z.; Peng, C.; Loya, P.E.; Liu, Z.; Gong, Y.; Zhang, J.; Zhang, X.; et al. Fracture toughness of graphene. Nat. Commun. 2014, 5, 3782. [Google Scholar] [CrossRef]








| Cu-Cu | C-C | ||||
|---|---|---|---|---|---|
| EAM [13] | Experiment [17,18] | REBO [14,15] | Experiment [19,20] | ||
| C11 | 170.94 | 170 | Y | 809.36 | 810 ± 410 |
| C12 | 122.64 | 122.5 | |||
| C44 | 76.18 | 75.8 | |||
| Ecoh | −3.54 | −3.54 | Ecoh | −7.40 | −7.41 |
| Chiral Index | (4,4) | (7,7) | (10,10) | (13,13) | (16,16) | (19,19) |
|---|---|---|---|---|---|---|
| Radius (nm) | 0.2757 | 0.4824 | 0.6892 | 0.8959 | 1.1027 | 1.3094 |
| Chiral Index | (4,4) | (7,7) | (10,10) | (13,13) | (16,16) | (19,19) |
|---|---|---|---|---|---|---|
| YMS (GPa) | 52.877 | 54.755 | 56.667 | 57.259 | 58.601 | 59.859 |
| r (nm) | 0.2757 | 0.4824 | 0.6892 | 0.8959 | 1.1027 | 1.3094 |
| R (nm) | 0.5 | 0.7 | 0.9 | 1.1 | 1.4 | 1.6 |
| YCu (GPa) | 49.947 | 49.635 | 49.408 | 48.649 | 48.118 | 47.566 |
| ACu (nm2) | 175.148 | 174.394 | 173.389 | 172.132 | 169.776 | 167.891 |
| YCNT (GPa) | 860.82 | 844.7 | 827.86 | 818.4 | 812.8 | 809.36 |
| ACNT (nm2) | 0.589 | 1.031 | 1.472 | 1.914 | 2.356 | 2.797 |
| YRM (GPa) | 52.665 | 54.306 | 55.962 | 57.114 | 58.583 | 60.051 |
| Chiral Index | (4,4) | (7,7) | (10,10) | (13,13) | (16,16) | (19,19) | Pure Cu | Experiment [38] |
|---|---|---|---|---|---|---|---|---|
| Failure Strength (GPa) | 2.471 | 2.551 | 2.678 | 2.671 | 2.691 | 2.755 | 2.098 | 1.01 ± 0.13 |
| (J/m2) | 1.355 | 1.368 | 1.377 | 1.394 | 1.402 | 1.412 | 1.342 |
Disclaimer/Publisher’s Note: The statements, opinions and data contained in all publications are solely those of the individual author(s) and contributor(s) and not of MDPI and/or the editor(s). MDPI and/or the editor(s) disclaim responsibility for any injury to people or property resulting from any ideas, methods, instructions or products referred to in the content. |
© 2023 by the authors. Licensee MDPI, Basel, Switzerland. This article is an open access article distributed under the terms and conditions of the Creative Commons Attribution (CC BY) license (https://creativecommons.org/licenses/by/4.0/).
Share and Cite
Shim, J.S.; Beom, H.G. Atomistic Investigation on the Blocking Phenomenon of Crack Propagation in Cu Substrate Reinforced by CNT. Nanomaterials 2023, 13, 575. https://doi.org/10.3390/nano13030575
Shim JS, Beom HG. Atomistic Investigation on the Blocking Phenomenon of Crack Propagation in Cu Substrate Reinforced by CNT. Nanomaterials. 2023; 13(3):575. https://doi.org/10.3390/nano13030575
Chicago/Turabian StyleShim, Jee Soo, and Hyeon Gyu Beom. 2023. "Atomistic Investigation on the Blocking Phenomenon of Crack Propagation in Cu Substrate Reinforced by CNT" Nanomaterials 13, no. 3: 575. https://doi.org/10.3390/nano13030575
APA StyleShim, J. S., & Beom, H. G. (2023). Atomistic Investigation on the Blocking Phenomenon of Crack Propagation in Cu Substrate Reinforced by CNT. Nanomaterials, 13(3), 575. https://doi.org/10.3390/nano13030575

