Coherent Spin Dynamics of Electrons in CdSe Colloidal Nanoplatelets
Abstract
:1. Introduction
2. Materials and Methods
2.1. Samples
2.2. Time-Resolved Faraday Rotation
2.3. Time-Resolved Differential Transmission
2.4. Time-Resolved Photoluminescence
2.5. Spin–Flip Raman Scattering
2.6. Photoluminescence
3. Results
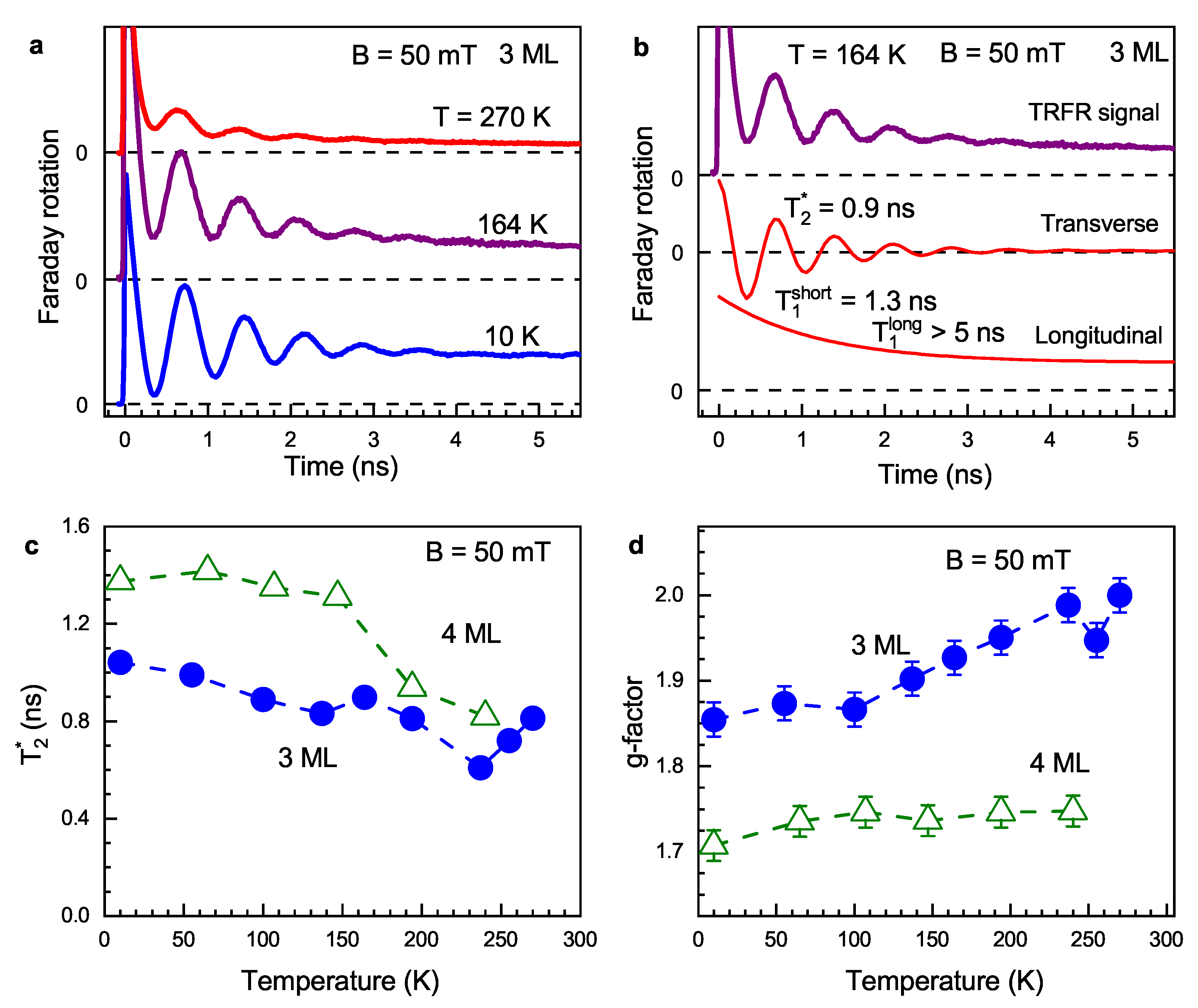
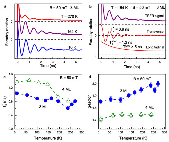
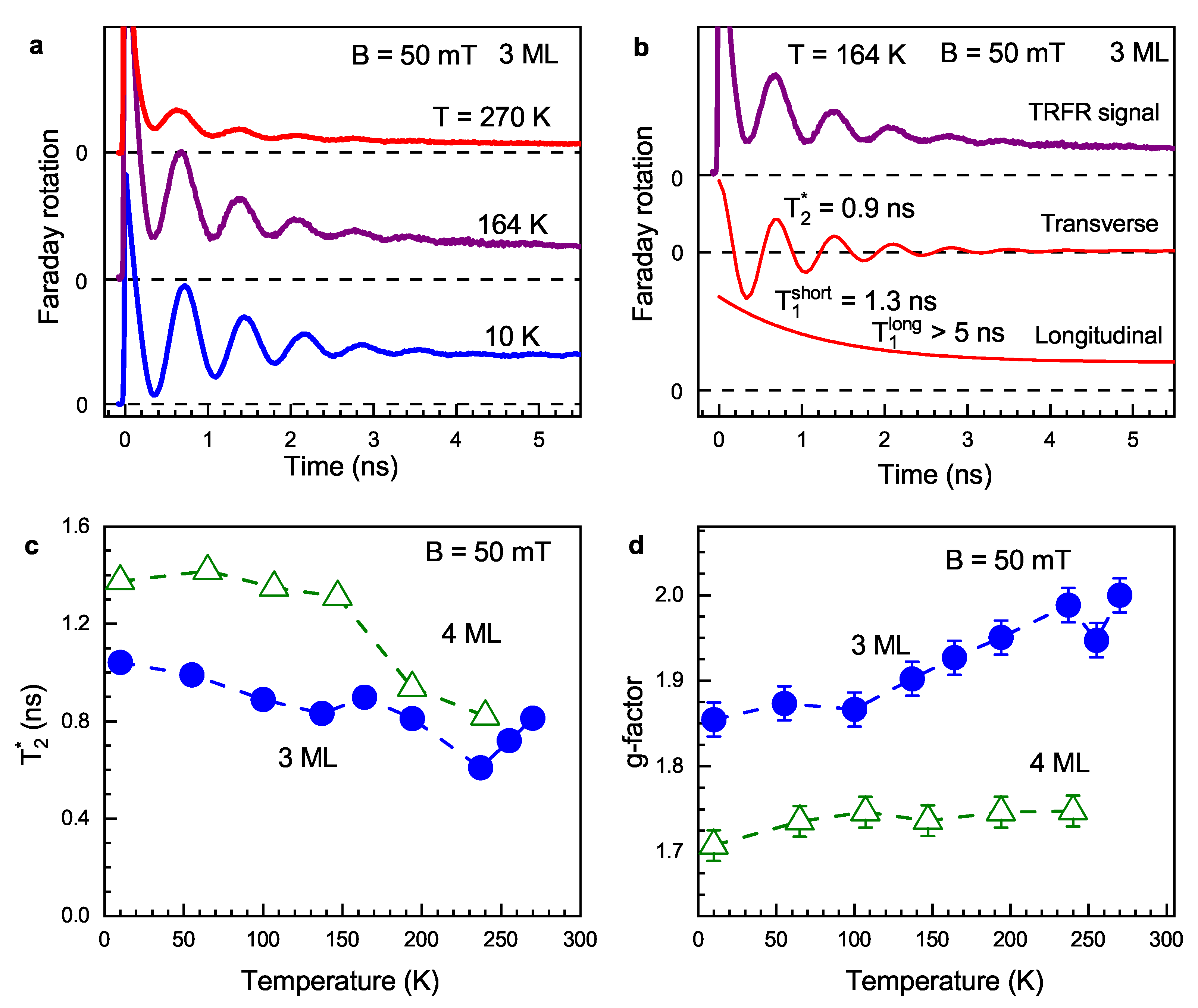
3.1. Coherent Spin Dynamics at K
3.2. Temperature Dependence of Spin Dynamics
3.3. Electron g-Factor Anisotropy Measured by Spin–Flip Raman Scattering
4. Discussion
5. Conclusions
Supplementary Materials
Author Contributions
Funding
Data Availability Statement
Acknowledgments
Conflicts of Interest
References
- Ithurria, S.; Dubertret, B. Quasi 2D colloidal CdSe platelets with thicknesses controlled at the atomic level. J. Am. Chem. Soc. 2008, 130, 16504–16505. [Google Scholar] [CrossRef] [PubMed]
- Ithurria, S.; Tessier, M.D.; Mahler, B.; Lobo, R.P.S.M.; Dubertret, B.; Efros, A.L. Colloidal nanoplatelets with two-dimensional electronic structure. Nature Mater. 2011, 10, 936–941. [Google Scholar] [CrossRef] [PubMed]
- Bertrand, G.H.V.; Polovitsyn, A.; Christodoulou, S.; Khan, A.H.; Moreels, I. Shape control of zincblende CdSe nanoplatelets. Chem. Commun. 2016, 52, 11975–11978. [Google Scholar] [CrossRef] [PubMed]
- Di Giacomo, A.; Rodà, C.; Khan, A.H.; Moreels, I. Colloidal synthesis of laterally confined blue-emitting 3.5 monolayer CdSe nanoplatelets. Chem. Mater. 2020, 32, 9260–9267. [Google Scholar] [CrossRef] [PubMed]
- Khan, A.H.; Bertrand, G.H.V.; Teitelboim, A.; Sekhar, M.C.; Polovitsyn, A.; Brescia, R.; Planelles, J.; Climente, J.I.; Oron, D.; Moreels, I. CdSe/CdS/CdTe core/barrier/crown nanoplatelets: Synthesis, optoelectronic properties, and multiphoton fluorescence upconversion. ACS Nano 2020, 14, 4206–4215. [Google Scholar] [CrossRef] [PubMed]
- Tessier, M.D.; Javaux, C.; Maksimovic, I.; Loriette, V.; Dubertret, B. Spectroscopy of single CdSe nanoplatelets. ACS Nano 2012, 6, 6751–6758. [Google Scholar] [CrossRef] [PubMed]
- Fan, F.; Kanjanaboos, P.; Saravanapavanantham, M.; Beauregard, E.; Ingram, G.; Yassitepe, E.; Adachi, M.M.; Voznyy, O.; Johnston, A.K.; Walters, G.; et al. Colloidal CdSe1-xSx nanoplatelets with narrow and continuously-tunable electroluminescence. Nano Lett. 2015, 15, 4611–4615. [Google Scholar] [CrossRef]
- Chen, Z.; Nadal, B.; Mahler, B.; Aubin, H.; Dubertret, B. Quasi 2D colloidal semiconductor nanoplatelets for narrow electroluminescence. Adv. Funct. Mater. 2014, 24, 295–302. [Google Scholar] [CrossRef]
- Guzelturk, B.; Kelestemur, Y.; Olutas, M.; Delikanli, S.; Demir, H.V. Amplified spontaneous emission and lasing in colloidal nanoplatelets. ACS Nano 2014, 8, 6599–6605. [Google Scholar] [CrossRef]
- She, C.; Fedin, I.; Dolzhnikov, D.S.; Demortiere, A.; Schaller, R.D.; Pelton, M.; Talapin, D.V. Low-threshold stimulated emission using colloidal quantum wells. Nano Lett. 2014, 14, 2772–2777. [Google Scholar] [CrossRef]
- Grim, J.Q.; Christodoulou, S.; Di Stasio, F.; Krahne, R.; Cingolani, R.; Manna, L.; Moreels, I. Continuous-wave biexciton lasing at room temperature using solution-processed quantum wells. Nat. Nanotechnol. 2014, 9, 891–895. [Google Scholar] [CrossRef] [PubMed]
- Jana, S.; Martins, R.; Fortunato, E. Stacking-dependent electrical transport in a colloidal CdSe nanoplatelet thin-film transistor. Nano Lett. 2022, 22, 2780–2785. [Google Scholar] [CrossRef] [PubMed]
- Segall, B.; Marple, D.T.F. Physics and Chemistry of II–VI Compounds; Aven, M., Prener, J.S., Eds.; North Holland: Amsterdam, The Netherlands, 1967; p. 317. [Google Scholar]
- Shionoya, S. Proceedings of the Twelfth International Conference on the Physics of Semiconductors: July 15–19, 1974 Stuttgart, Volume 12; Pilkuhn, M.H., Ed.; Vieweg+Teubner Verlag: Wiesbaden, Germany, 1974; p. 113. [Google Scholar]
- Voigt, J.; Spiegelberg, F.; Senoner, M. Band parameters of CdS and CdSe single crystals determined from optical exciton spectra. Phys. Status Solidi B 1979, 91, 189. [Google Scholar] [CrossRef]
- Shornikova, E.V.; Yakovlev, D.R.; Gippius, N.N.; Qiang, G.; Dubertret, B.; Khan, A.H.; Giacomo, A.D.; Moreels, I.; Bayer, M. Exciton binding energy in CdSe nanoplatelets measured by one- and two-photon absorption. Nano Lett. 2021, 21, 10525–10531. [Google Scholar] [CrossRef] [PubMed]
- Zelewski, S.J.; Nawrot, K.C.; Zak, A.; Gladysiewicz, M.; Nyk, M.; Kudrawiec, R. Exciton binding energy of two-dimensional highly luminescent colloidal nanostructures determined from combined optical and photoacoustic spectroscopies. J. Phys. Chem. Lett. 2019, 10, 3459–3464. [Google Scholar] [CrossRef] [PubMed]
- Ji, B.; Rabani, E.; Efros, A.L.; Vaxenburg, R.; Ashkenazi, O.; Azulay, D.; Banin, U.; Millo, O. Dielectric confinement and excitonic effects in two-dimensional nanoplatelets. ACS Nano 2020, 14, 8257–8265. [Google Scholar] [CrossRef] [PubMed]
- Benchamekh, R.; Gippius, N.A.; Even, J.; Nestoklon, M.O.; Jancu, J.-M.; Ithurria, S.; Dubertret, B.; Efros, A.L.; Voisin, P. Tight-binding calculations of image-charge effects in colloidal nanoscale platelets of CdSe. Phys. Rev. B 2014, 89, 035307. [Google Scholar] [CrossRef]
- Scott, R.; Achtstein, A.W.; Prudnikau, A.V.; Antanovich, A.; Siebbeles, L.D.A.; Artemyev, M.; Woggon, U. Time-resolved Stark spectroscopy in CdSe nanoplatelets: Exciton binding energy, polarizability, and field-dependent radiative rates. Nano Lett. 2016, 16, 6576–6583. [Google Scholar] [CrossRef]
- Shornikova, E.V.; Yakovlev, D.R.; Biadala, L.; Crooker, S.A.; Belykh, V.V.; Kochiev, M.V.; Kuntzmann, A.; Nasilowski, M.; Dubertret, B.; Bayer, M. Negatively charged excitons in CdSe nanoplatelets. Nano Lett. 2020, 20, 1370–1377. [Google Scholar] [CrossRef]
- Vong, A.F.; Irgen-Gioro, S.; Wu, Y.; Weiss, E.A. Origin of low temperature trion emission in CdSe nanoplatelets. Nano Lett. 2021, 21, 10040–10046. [Google Scholar] [CrossRef]
- Antolinez, F.V.; Rabouw, F.T.; Rossinelli, A.A.; Keitel, R.C.; Cocina, A.; Becker, M.A.; Norris, D.J. Trion emission dominates the low-temperature photoluminescence of CdSe nanoplatelets. Nano Lett. 2020, 20, 5814–5820. [Google Scholar] [CrossRef] [PubMed]
- Shornikova, E.V.; Biadala, L.; Yakovlev, D.R.; Sapega, V.F.; Kusrayev, Y.G.; Mitioglu, A.A.; Ballottin, M.V.; Christianen, P.C.M.; Belykh, V.V.; Kochiev, M.V.; et al. Addressing the exciton fine structure in colloidal nanocrystals: The case of CdSe nanoplatelets. Nanoscale 2018, 10, 646–656. [Google Scholar] [CrossRef] [PubMed]
- Biadala, L.; Liu, F.; Tessier, M.D.; Yakovlev, D.R.; Dubertret, B.; Bayer, M. Recombination dynamics of band edge excitons in quasi-two dimensional CdSe nanoplatelets. Nano Lett. 2014, 14, 1134–1139. [Google Scholar] [CrossRef] [PubMed]
- Kuno, M.; Nirmal, M.; Bawendi, M.G.; Efros, A.L.; Rosen, M. Magnetic circular dichroism study of CdSe quantum dots. J. Chem. Phys. 1998, 108, 4242–4247. [Google Scholar] [CrossRef]
- Gupta, J.A.; Awschalom, D.D.; Peng, X.; Alivisatos, A.P. Spin coherence in semiconductor quantum dots. Phys. Rev. B 1999, 59, R10421–R10424. [Google Scholar] [CrossRef]
- Johnston-Halperin, E.; Awschalom, D.D.; Crooker, S.A.; Efros, A.L.; Rosen, M.; Peng, X.; Alivisatos, A.P. Spin spectroscopy of dark excitons in CdSe quantum dots to 60 T. Phys. Rev. B 2001, 63, 205309. [Google Scholar] [CrossRef]
- Martin, P.I.; Panuganti, S.; Portner, J.C.; Watkins, N.E.; Kanatzidis, M.G.; Talapin, D.V.; Schaller, R.D. Excitonic spin-coherence lifetimes in CdSe nanoplatelets increase significantly with core/shell morphology. Nano Lett. 2023, 23, 1467–1473. [Google Scholar] [CrossRef] [PubMed]
- Flor, B.; Zeman, C.J., IV; Ma, X.; Schatz, G.C. Wavelength-Dependent Spin Excitation with Circularly Polarized Light in CdSe Nanoplatelets. J. Phys. Chem. C 2023, 127, 14317–14325. [Google Scholar] [CrossRef]
- Jiang, M.; Zhang, Y.; Hu, R.; Men, Y.; Cheng, L.; Liang, P.; Jia, T.; Sun, Z.; Feng, D. Methods for obtaining one single Larmor frequency, either ν1 or ν2, in the coherent spin dynamics of colloidal quantum dots. Nanomaterials 2023, 13, 2006. [Google Scholar] [CrossRef]
- Jiang, M.; Men, Y.; Zhang, Y.; Cheng, L.; Wang, Y.; Jia, T.; Sun, Z.; Feng, D. Anomalous laser-fluence dependence of electron spin excitation in CdS colloidal quantum dots: Surface effects. J. Phys. Chem. Lett. 2023, 14, 9069–9074. [Google Scholar] [CrossRef]
- Shornikova, E.V.; Golovatenko, A.A.; Yakovlev, D.R.; Rodina, A.V.; Biadala, L.; Qiang, G.; Kuntzmann, A.; Nasilowski, M.; Dubertret, B.; Polovitsyn, A.; et al. Surface spin magnetism controls the polarized exciton emission from CdSe nanoplatelets. Nat. Nanotechnol. 2020, 15, 277–282. [Google Scholar] [CrossRef] [PubMed]
- Shornikova, E.V.; Biadala, L.; Yakovlev, D.R.; Feng, D.H.; Sapega, V.F.; Flipo, N.; Golovatenko, A.A.; Semina, M.A.; Rodina, A.V.; Mitioglu, A.A.; et al. Electron and hole g-factors and spin dynamics of negatively charged excitons in CdSe/CdS colloidal nanoplatelets with thick shells. Nano Lett. 2018, 18, 373–380. [Google Scholar] [CrossRef] [PubMed]
- Kudlacik, D.; Sapega, V.F.; Yakovlev, D.R.; Kalitukha, I.V.; Shornikova, E.V.; Rodina, A.V.; Ivchenko, E.L.; Dimitriev, G.S.; Nasilowski, M.; Dubertret, B.; et al. Single and double electron spin-flip Raman scattering in CdSe colloidal nanoplatelets. Nano Lett. 2020, 20, 517–525. [Google Scholar] [CrossRef] [PubMed]
- Smirnova, O.O.; Kalitukha, I.V.; Rodina, A.V.; Dimitriev, G.S.; Sapega, V.F.; Ken, O.S.; Korenev, V.L.; Kozyrev, N.V.; Nekrasov, S.V.; Kusrayev, Y.G.; et al. Optical alignment and optical orientation of excitons in CdSe/CdS colloidal nanoplatelets. Nanomaterials 2023, 13, 2402. [Google Scholar] [CrossRef] [PubMed]
- Yakovlev, D.R.; Bayer, M. Chapter on Coherent spin dynamics of carriers. In Spin Physics in Semiconductors; Dyakonov, M.I., Ed.; Springer International Publishing AG: Chem, Switzerland, 2017; pp. 155–206. [Google Scholar]
- Hu, R.R.; Yakovlev, D.R.; Liang, P.; Qiang, G.; Chen, C.; Jia, T.; Sun, Z.; Bayer, M.; Feng, D. Origin of two larmor frequencies in the coherent spin dynamics of colloidal CdSe quantum dots revealed by controlled charging. J. Phys. Chem. Lett. 2019, 10, 3681–3687. [Google Scholar] [CrossRef] [PubMed]
- Zhang, Y.Y.; Jiang, M.Z.; Wu, Z.; Yang, Q.; Men, Y.; Cheng, L.; Hu, R.R.; Jia, T.Q.; Sun, Z.R.; Feng, D.H. Hyperfine-induced electron-spin dephasing in negatively charged colloidal quantum dots: A survey of size dependence. J. Phys. Chem. Lett. 2021, 12, 9481–9487. [Google Scholar] [CrossRef] [PubMed]
- Feng, D.H.; Li, X.; Jia, T.Q.; Pan, X.Q.; Sun, Z.R.; Xu, Z.Z. Long-lived, room-temperature electron spin coherence in colloidal CdS quantum dots. Appl. Phys. Lett. 2012, 100, 122406. [Google Scholar] [CrossRef]
- Feng, D.H.; Shan, L.F.; Jia, T.Q.; Pan, X.Q.; Tong, H.F.; Deng, L.; Sun, Z.R.; Xu, Z.Z. Optical manipulation of electron spin coherence in colloidal CdS quantum dots. Appl. Phys. Lett. 2013, 102, 062408. [Google Scholar] [CrossRef]
- Tong, H.F.; Feng, D.H.; Li, X.; Deng, L.; Leng, Y.X.; Jia, T.Q.; Sun, Z.R. Room-temperature electron spin generation by femtosecond laser pulses in colloidal CdS quantum dots. Materials 2013, 6, 4523–4531. [Google Scholar] [CrossRef]
- Li, X.; Feng, D.H.; Tong, H.F.; Jia, T.Q.; Deng, L.; Sun, Z.R.; Xu, Z.Z. Hole surface trapping dynamics directly monitored by electron spin manipulation in CdS nanocrystals. J. Phys. Chem. Lett. 2014, 5, 4310–4316. [Google Scholar] [CrossRef]
- Qiang, G.; Zhukov, E.A.; Evers, E.; Yakovlev, D.R.; Golovatenko, A.A.; Rodina, A.V.; Onushchenko, A.A.; Bayer, M. Electron spin coherence in CdSe nanocrystals in a glass matrix. ACS Nano 2022, 16, 18838–18848. [Google Scholar] [CrossRef] [PubMed]
- Stern, N.P.; Poggio, M.; Bartl, M.H.; Hu, E.L.; Stucky, G.D.; Awschalom, D.D. Spin dynamics in electrochemically charged CdSe quantum dots. Phys. Rev. B 2005, 72, 161303. [Google Scholar] [CrossRef]
- Li, Y.Q.; Steuerman, D.W.; Berezovsky, J.; Seferos, D.S.; Bazan, G.C.; Awschalom, D.D. Cavity enhanced Faraday rotation of semiconductor quantum dots. Appl. Phys. Lett. 2006, 88, 193126. [Google Scholar] [CrossRef]
- Zhang, J.; Tang, Y.; Lee, K.; Ouyang, M. Tailoring light–matter–spin interactions in colloidal hetero-nanostructures. Nature 2010, 466, 91–95. [Google Scholar] [CrossRef] [PubMed]
- Fumani, A.K.; Berezovsky, J. Magnetic-field-dependent spin decoherence and dephasing in room-temperature CdSe nanocrystal quantum dots. Phys. Rev. B 2013, 88, 155316. [Google Scholar] [CrossRef]
- Zhang, Z.; Jin, Z.; Ma, H.; Xu, Y.; Lin, X.; Ma, G.; Sun, X. Room-temperature spin coherence in zinc blende CdSe quantum dots studied by time-resolved Faraday ellipticity. Phys. E Low-Dimens. Syst. Nanostructures 2014, 56, 85–89. [Google Scholar] [CrossRef]
- Feng, D.H.; Yakovlev, D.R.; Dubertret, B.; Bayer, M. Charge separation dynamics in CdSe/CdS core/shell nanoplatelets addressed by coherent electron spin precession. ACS Nano 2020, 14, 7237–7244. [Google Scholar] [CrossRef]
- Glazov, M.M.; Sherman, E.Y.; Dugaev, V.K. Two-dimensional electron gas with spin–orbit coupling disorder. Phys. E Low-Dimens. Syst. Nanostructures 2010, 42, 2157–2177. [Google Scholar] [CrossRef]
- Bindel, J.R.; Pezzotta, M.; Ulrich, J.; Liebmann, M.; Sherman, E.Y.; Morgenstern, M. Probing variations of the Rashba spin–orbit coupling at the nanometre scale. Nat. Phys. 2016, 12, 920–925. [Google Scholar] [CrossRef]
- Yugova, I.A.; Glazov, M.M.; Ivchenko, E.L.; Efros, A.L. Pump-probe Faraday rotation and ellipticity in an ensemble of singly charged quantum dots. Phys. Rev. B 2009, 80, 104436. [Google Scholar] [CrossRef]
- Roth, L.M.; Lax, B.; Zwerdling, S. Theory of optical magneto-absorption effects in semiconductors. Phys. Rev. 1959, 114, 90–104. [Google Scholar] [CrossRef]
- Semina, M.A.; Golovatenko, A.A.; Rodina, A.V. Influence of the spin-orbit split-off valence band on the hole g-factor in semiconductor nanocrystals. Phys. Rev. B 2021, 104, 205423. [Google Scholar] [CrossRef]
- Rodina, A.V.; Ivchenko, E.L. Theory of single and double electron spin-flip Raman scattering in semiconductor nanoplatelets. Phys. Rev. V 2020, 102, 235432. [Google Scholar] [CrossRef]
- Karimov, O.Z.; Wolverson, D.; Davies, J.J.; Stepanov, S.I.; Ruf, T.; Ivanov, S.V.; Sorokin, S.V.; O’Donnell, C.B.; Prior, K.A. Electron g-factor for cubic Zn1-xCdxSe determined by spin-flip Raman scattering. Phys. Rev. B 2000, 62, 16582. [Google Scholar] [CrossRef]
- Oestreich, M.; Rühle, W.W. Temperature dependence of the electron Landé g-factor in GaAs. Phys. Rev. Lett. 1995, 74, 2315–2318. [Google Scholar] [CrossRef] [PubMed]
- Oestreich, M.; Hallstein, S.; Heberle, A.P.; Eberl, K.; Bauser, E.; Rühle, W.W. Temperature and density dependence of the electron Landé g factor in semiconductors. Phys. Rev. B 1996, 53, 7911. [Google Scholar] [CrossRef] [PubMed]
- Zawadzki, W.; Pfeffer, P.; Bratschitsch, R.; Chen, Z.; Cundiff, S.T.; Murdin, B.N.; Pidgeon, C.R. Temperature dependence of the electron spin g factor in GaAs. Phys. Rev. B 2008, 78, 245203. [Google Scholar] [CrossRef]
- Hübner, J.; Döhrmann, S.; Hägele, D.; Oestreich, M. Temperature-dependent electron Landé g factor and the interband matrix element of GaAs. Phys. Rev. B 2009, 79, 193307. [Google Scholar] [CrossRef]
- Cragg, G.E.; Efros, A.L. Suppression of Auger processes in confined structures. Nano Lett. 2010, 10, 313–317. [Google Scholar] [CrossRef]
- Glazov, M.M. Coherent spin dynamics of electrons and excitons in nanostructures (a review). Phys. Sol. State 2012, 54, 1–27. [Google Scholar] [CrossRef]
- Smirnov, D.S.; Glazov, M.M. Spin coherence generation and detection in spherical nanocrystals. J. Phys. Condens. Matter 2012, 24, 345302. [Google Scholar] [CrossRef]
- Gupta, J.A.; Awschalom, D.D.; Efros, A.L.; Rodina, A.V. Spin dynamics in semiconductor nanocrystals. Phys. Rev. B 2002, 66, 125307. [Google Scholar] [CrossRef]
- Kirstein, E.; Kopteva, N.E.; Yakovlev, D.R.; Zhukov, E.A.; Kolobkova, E.V.; Kuznetsova, M.S.; Belykh, V.V.; Yugova, I.A.; Glazov, M.M.; Bayer, M.; et al. Mode locking of hole spin coherences in CsPb(Cl,Br)3 perovskite nanocrystals. Nat. Commun. 2023, 14, 699. [Google Scholar] [CrossRef]
- Rosen, N.; Zener, C. Double Stern-Gerlach experiment and related collision phenomena. Phys. Rev. 1932, 40, 502. [Google Scholar] [CrossRef]
- Chen, P.; Whaley, K.B. Magneto-optical response of CdSe nanostructures. Phys. Rev. B 2003, 70, 045311. [Google Scholar] [CrossRef]





| Sample | ||
|---|---|---|
| 3 ML | ||
| 4 ML | ||
| 5 ML |
Disclaimer/Publisher’s Note: The statements, opinions and data contained in all publications are solely those of the individual author(s) and contributor(s) and not of MDPI and/or the editor(s). MDPI and/or the editor(s) disclaim responsibility for any injury to people or property resulting from any ideas, methods, instructions or products referred to in the content. |
© 2023 by the authors. Licensee MDPI, Basel, Switzerland. This article is an open access article distributed under the terms and conditions of the Creative Commons Attribution (CC BY) license (https://creativecommons.org/licenses/by/4.0/).
Share and Cite
Meliakov, S.R.; Belykh, V.V.; Kalitukha, I.V.; Golovatenko, A.A.; Di Giacomo, A.; Moreels, I.; Rodina, A.V.; Yakovlev, D.R. Coherent Spin Dynamics of Electrons in CdSe Colloidal Nanoplatelets. Nanomaterials 2023, 13, 3077. https://doi.org/10.3390/nano13233077
Meliakov SR, Belykh VV, Kalitukha IV, Golovatenko AA, Di Giacomo A, Moreels I, Rodina AV, Yakovlev DR. Coherent Spin Dynamics of Electrons in CdSe Colloidal Nanoplatelets. Nanomaterials. 2023; 13(23):3077. https://doi.org/10.3390/nano13233077
Chicago/Turabian StyleMeliakov, Sergey R., Vasilii V. Belykh, Ina V. Kalitukha, Aleksandr A. Golovatenko, Alessio Di Giacomo, Iwan Moreels, Anna V. Rodina, and Dmitri R. Yakovlev. 2023. "Coherent Spin Dynamics of Electrons in CdSe Colloidal Nanoplatelets" Nanomaterials 13, no. 23: 3077. https://doi.org/10.3390/nano13233077
APA StyleMeliakov, S. R., Belykh, V. V., Kalitukha, I. V., Golovatenko, A. A., Di Giacomo, A., Moreels, I., Rodina, A. V., & Yakovlev, D. R. (2023). Coherent Spin Dynamics of Electrons in CdSe Colloidal Nanoplatelets. Nanomaterials, 13(23), 3077. https://doi.org/10.3390/nano13233077

