Combustion Synthesis of Materials for Application in Supercapacitors: A Review
Abstract
:1. Introduction
- non-faradaic, in which the accumulation of charges is realized completely electrostatically via Cologne forces between the electronic charges of the electrode and the ionic charges of the electrolyte at the interface of electrode/electrolyte, thus forming an electrical double layer;
- faradaic where the accumulation of charges is exclusively non-electrostatic in nature and occurs due to the flow of electronic charges resulting from redox reactions between the ions of the electrolyte and the molecules (or atoms) of the electroactive material of the electrode.
2. Solution Combustion Synthesis: Fundamentals
3. Combustion Synthesis of Materials for SC’s Applications
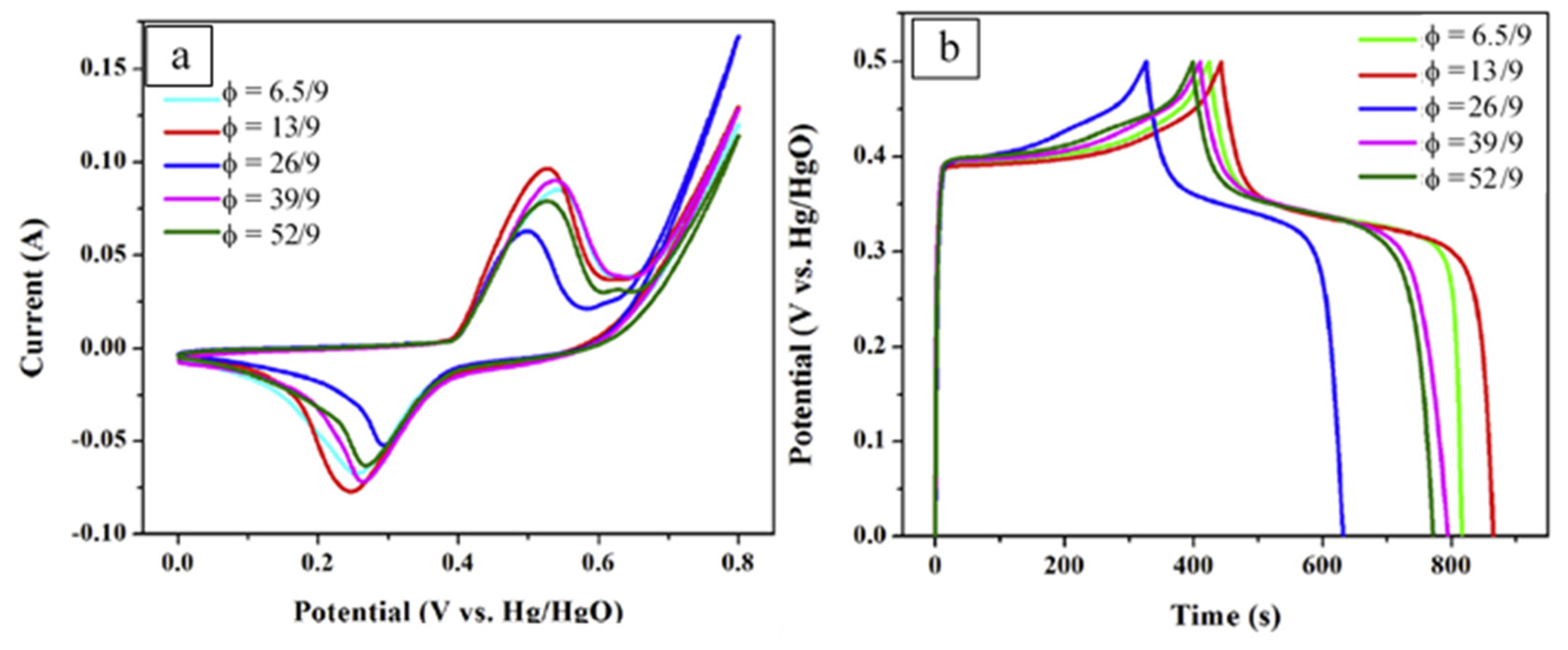
3.1. Nickel-Based Compositions
- The fuel-to-oxidizer ratio is an effective parameter to control the crystallinity and specific surface area of the synthesized materials.
- One may reach sufficient material crystallinity without long-term calcination.
- One may obtain relatively high SC at the specific surface area ~50 m2/g.
- The addition of CNTs improves the electrochemical properties.
3.1.1. Manganese Based Materials
3.1.2. Other Compositions
- 27 m2/g and wide pore size distribution with a maximum at 20 nm (φ = 0).
- 54 m2/g and narrow pore size distribution with peak at ~3 nm (φ = 0.5).
- 56 m2/g and pore size 2 nm (φ = 1.0)
- 18 m2/g and the main peak of pores diameter at ~5 nm (φ = 1.5).
4. Future Prospects
- i.
- Amount of bound water in the reactive system, which can affect the phase composition of the materials.
- ii.
- Preliminary drying of the reactive media, which may lead to the formation of specific organic complexes and allow for the fabrication of metastable phases that are challenging to produce using conventional methods.
- iii.
- Oxygen-free fuels, which enable the production of not only oxides but also other types of materials such as metals, alloys, and nitrides.
- iv.
- Gas pressure in the reactor, which can influence the kinetics of combustion reactions during SCS and affect the particle size of the resulting materials.
- v.
- Gasifying agents that can increase the specific surface area of the powder.
- vi.
- Different types of solvents that can serve as oxidizers or fuels, intensifying or inhibiting the process.
- vii.
- Impregnation of the reactive solution into high surface area conductive media (e.g., carbon), followed by SHS, resulting in the one-step formation of hybrid MeOx-C structures suitable for electrochemical applications.
- viii.
- Different types of fuels were used in SCS reactions including glycine (CH4N2O), citric Acid (C6H8O7), urea (CH4N2O), sucrose (C12H22O11), Glycose D-(+)-C6H12O6, hydrazine (H2N-NH2), carbohydrazide (CH6N4O), oxalyhydrazide (C2H6N4O2), and metal hydrazinecarboxylates hydrates (see Table 1 in [115]). The fuel influences the combustion temperature and, hence, the chemical reaction rate and the chemical environment, including the amount of released gas and oxygen concentration. Higher combustion temperatures can lead to higher crystallinity, reduced impurities, and improved structural properties of the resulting materials. However, excessively high temperatures can also lead to sintering or agglomeration of nanoparticles, which may negatively affect the specific surface area. Faster combustion rates and larger gasification typically lead to smaller particle sizes and finer pore structures, which enhance the surface area of synthesized materials, making them more suitable for supercapacitor applications. Using different fuels can optimize the synthesis process and obtain materials with the desired characteristics, such as high surface area, good electrical conductivity, and suitable electrochemical performance for supercapacitor electrodes.
5. Conclusion Remarks
- Versatility: This technique allows for the synthesis of materials with any phase composition.
- Simplicity and energy savings: Complex materials can be produced in a single step with minimal external energy usage.
- Easy scaling up and continuous production: The process can be easily expanded and implemented on a larger scale.
- Phase composition, which takes into account the synergy between different elements.
- Specific surface area.
- Particle and pore size distribution.
- Morphological interaction between oxides and electroconductive phases, such as various carbonaceous materials.
Funding
Data Availability Statement
Conflicts of Interest
References
- Huggins, R.A. Energy Storage: Fundamentals, Materials and Applications, 2nd ed.; Springer: Berlin/Heidelberg, Germany, 2015. [Google Scholar]
- Conway, B.E. Electrochemical Supercapacitors: Scientific Fundamentals and Technological Applications; Springer: Berlin/Heidelberg, Germany, 1999. [Google Scholar]
- Wang, Y.; Song, Y.; Xia, Y. Electrochemical capacitors: Mechanism, materials, systems, characterization and application. Chem. Soc. Rev. 2016, 45, 5925–5950. [Google Scholar] [CrossRef]
- Conway, B.E. Transition from “Supercapacitor” to “Battery” Behavior in Electrochemical Energy Storage. J. Electrochem. Soc. 1991, 138, 1539. [Google Scholar] [CrossRef]
- Gogotsi, Y.; Penner, R.M. Energy Storage in Nanomaterials—Capacitive, Pseudocapacitive, or Battery-like? ACS NANO 2018, 12, 2081–2083. [Google Scholar] [CrossRef]
- Yaseen, M.; Khattak, M.A.K.; Humayun, M.; Usman, M.; Shah, S.S.; Bibi, S.; Hasnain, B.S.U.; Ahmad, S.M.; Khan, A.; Shah, N.; et al. A Review of Supercapacitors: Materials Design, Modification, and Applications. Energies 2021, 14, 7779. [Google Scholar] [CrossRef]
- Şahin, M.E.; Blaabjerg, F.; Sangwongwanich, A. A Comprehensive Review on Supercapacitor Applications and Developments. Energies 2022, 15, 674. [Google Scholar] [CrossRef]
- Tang, L.; Ji, X.; Wu, P.; Luo, H.; Zhu, Y.; Deng, L.; Cheng, S.; Liu, M. Achievement of high energy carbon based supercapacitors in acid solution enabled by the balance of SSA with abundant micropores and conductivity. Electrochim. Acta 2020, 353, 136562. [Google Scholar] [CrossRef]
- Ke, Q.; Wang, J. Graphene-based materials for supercapacitor electrodes—A review. J. Materiomics. 2016, 2, 37–54. [Google Scholar] [CrossRef]
- Wang, X.; Liu, L.; Wang, X.; Bai, L.; Wu, H.; Zhang, X.; Yi, L.; Chen, Q. Preparation and performances of carbon aerogel microspheres for the application of supercapacitor. J. Solid State Electrochem. 2011, 15, 643–648. [Google Scholar] [CrossRef]
- Kaempgen, M.; Chan, C.K.; Ma, J.; Cui, Y.; Gruner, G. Printable thin film supercapacitors using single-walled carbon nanotubes. Nano Lett. 2009, 9, 1872–1876. [Google Scholar] [CrossRef] [PubMed]
- Fleischmann, S.; Mitchell, J.B.; Wang, R.; Zhan, C.; Jiang, D.E.; Presser, V.; Augustyn, V. Pseudocapacitance: From Fundamental Understanding to High Power Energy Storage Materials. Chem. Rev. 2020, 120, 6738–6782. [Google Scholar] [CrossRef] [PubMed]
- Jiang, Y.; Liu, J. Definitions of Pseudocapacitive Materials: A Brief Review. Energy Environ. Mater. 2019, 2, 30–37. [Google Scholar] [CrossRef]
- Wang, J.; Dong, S.; Ding, B.; Wang, Y.; Hao, X.; Dou, H.; Xia, Y.; Zhang, X. Pseudocapacitive materials for electrochemical capacitors: From rational synthesis to capacitance optimization. Natl. Sci. Rev. 2017, 4, 71–90. [Google Scholar] [CrossRef]
- Liang, R.; Du, Y.; Xiao, P.; Cheng, J.; Yuan, S.; Chen, Y.; Yuan, J.; Chen, J. Transition Metal Oxide Electrode Materials for Supercapacitors: A Review of Recent Developments. Nanomaterials 2021, 11, 1248. [Google Scholar] [CrossRef]
- Goel, S.; Tomar, A.K.; Singh, G.; Sharma, R.K. Highly Pseudocapacitive NiO Nanoflakes through Surfactant-Free Facile Microwave-Assisted Route. ACS Appl. Energy Mater. 2014, 1, 1540–1548. [Google Scholar] [CrossRef]
- Lu, Q.; Lattanzi, M.W.; Chen, Y.; Kou, X.; Li, W.; Fan, X.; Unruh, K.M.; Chen, J.G.; Xiao, J.Q. Supercapacitor Electrodes with High-Energy and Power Densities Prepared from Monolithic NiO/Ni Nanocomposites. Angew. Chem. 2011, 50, 6847–6850. [Google Scholar] [CrossRef]
- Toupin, M.; Brousse, T.; Belanger, D. Charge Storage Mechanism of MnO2 Electrode Used in Aqueous Electrochemical Capacitor. Chem. Mater. 2004, 16, 3184–3190. [Google Scholar] [CrossRef]
- Muzaffara, A.; Ahameda, M.B.; Deshmukha, K.; Thirumalai, J. A review on recent advances in hybrid supercapacitors: Design, fabrication and applications. Renew. Sustain. Energy Rev. 2019, 101, 123–145. [Google Scholar] [CrossRef]
- Wang, H.; Yi, H.; Chena, X.; Wang, X. Asymmetric supercapacitors based on nano-architectured nickel oxide/graphene foam and hierarchical porous nitrogen-doped carbon nanotubes with ultrahigh-rate performance. J. Mater. Chem. A 2014, 2, 3223–3230. [Google Scholar] [CrossRef]
- Shan, Y.; Gao, L. Formation and characterization of multi-walled carbon nanotubes/Co3O4 nanocomposites for supercapacitors. Mater. Chem. Phys. 2007, 103, 206–210. [Google Scholar] [CrossRef]
- Poudel, M.B.; Kim, A.R.; Ramakrishan, S.; Logeshwaran, N.; Ramasamy, S.K.; Kim, H.J.; Yoo, D.J. Integrating the essence of metal organic framework-derived ZnCoTe–N–C/MoS2 cathode and ZnCo-NPS-N-CNT as anode for high-energy density hybrid supercapacitors. Compos. Part B 2022, 247, 110339. [Google Scholar] [CrossRef]
- Poudel, M.B.; Kim, H.J. Confinement of Zn-Mg-Al-layered double hydroxide and α-Fe2O3 nanorods on hollow porous carbon nanofibers: A free-standing electrode for solid-state symmetric supercapacitors. Chem. Eng. J. 2022, 429, 132345. [Google Scholar] [CrossRef]
- Kate, R.S.; Khalate, S.A.; Deokate, R.J. Overview of nanostructured metal oxides and pure nickel oxide (NiO) electrodes for supercapacitors: A review. J. Alloys Compd. 2018, 734, 89–111. [Google Scholar] [CrossRef]
- Li, L.; Cheah, Y.; Ko, Y.; Teh, P.; Wee, G.; Wong, C.; Peng, S.; Srinivasan, M. The facile synthesis of hierarchical porous flower-like NiCo2O4 with superior lithium storage properties. J. Mater. Chem. A 2013, 1, 10935–10941. [Google Scholar] [CrossRef]
- Liu, M.; Chang, J.; Sun, J.; Gao, L. A facile preparation of NiO/Ni composites as high-performance pseudocapacitor materials. RSC Adv. 2013, 3, 8003–8008. [Google Scholar] [CrossRef]
- Nagayama, H.; Honda, H.; Kawahara, H. A New Process for Silica Coating. J. Electrochem. Soc. 1988, 135, 2013–2016. [Google Scholar] [CrossRef]
- Inamdar, A.I.; Kim, Y.; Pawar, S.M.; Kim, J.H.; Im, H.; Kim, H. Chemically grown, porous, nickel oxide thin-film for electrochemical supercapacitors. J. Power Sources 2011, 196, 2393–2397. [Google Scholar] [CrossRef]
- Kim, S.I.; Lee, J.S.; Ahn, H.J.; Song, H.K.; Jang, J.H. Facile route to an efficient NiO supercapacitor with a three-dimensional nanonetwork morphology. ACS Appl. Mater. Interfaces 2013, 5, 1596–1603. [Google Scholar] [CrossRef] [PubMed]
- Sreethawong, T.; Chavadej, S.; Ngamsinlapasathian, S.; Yoshikawa, S. A Modified sol–Gel Process-Derived Highly Nanocrystalline Mesoporous NiO With Narrow Pore Size Distribution. Colloids Surf. A Physicochem. Eng. Asp. 2007, 296, 222–229. [Google Scholar] [CrossRef]
- Liu, K.C.; Anderson, M.A. Porous Nickel Oxide/Nickel Films for Electrochemical Capacitors. J. Electrochem. Soc. 1996, 143, 124–130. [Google Scholar] [CrossRef]
- Xing, W.; Li, F.; Yan, Z.; Lu, G.Q. Synthesis and electrochemical properties of mesoporous nickel oxide. J. Power Sources 2004, 134, 324–330. [Google Scholar] [CrossRef]
- Varma, A.; Rogachev, A.S.; Mukasyan, A.S.; Hwang, S. Combustion Synthesis of Advanced Materials: Principles and Applications. Adv. Chem. Eng. 1998, 24, 74–226. [Google Scholar]
- Deshpande, K.; Mukasyan, A.; Varma, A. Direct Synthesis of Iron Oxide Nanopowders by the Combustion Approach: Reaction Mechanism and Properties. Chem. Mater. 2004, 16, 4896–4904. [Google Scholar] [CrossRef]
- Merzhanov, A.G. The Chemistry of Self-Propagating High-Temperature Synthesis. J. Mater. Chem. 2004, 14, 1779–1786. [Google Scholar] [CrossRef]
- Aruna, S.; Mukasyan, A.S. Combustion synthesis and nanomaterials. Curr. Opin. Solid State Mater. Sci. 2008, 12, 44–50. [Google Scholar] [CrossRef]
- Khort, A.; Podbolotov, K.; Serrano-García, R.; Gun’ko, Y.K. One-step solution combustion synthesis of pure Ni nanopowders with enhanced coercivity: The fuel effect. J. Solid State Chem. 2017, 253, 270–276. [Google Scholar] [CrossRef]
- Li, P.Y.; Deng, J.C.; Li, Y.; Liang, W.; Wang, K.; Kang, L.T.; Zeng, S.Z.; Yin, S.H.; Zhao, Z.G.; Liu, X.G.; et al. One-step solution combustion synthesis of Fe2O3/C nano-composites as anode materials for lithium ion batteries. J. Alloys Compd. 2014, 590, 318–323. [Google Scholar] [CrossRef]
- Varma, A.; Mukasyan, A.S.; Rogachev, A.S.; Manukyan, K.V. Solution combustion synthesis of nanoscale materials. Chem. Rev. 2016, 116, 14493–14586. [Google Scholar] [CrossRef]
- Novitskaya, E.; Kelly, J.P.; Bhaduri, S.; Graeve, O.A. A review of solution combustion synthesis: An analysis of parameters controlling powder characteristics. Int. Mater. Rev. 2021, 66, 188–214. [Google Scholar] [CrossRef]
- Siddique, F.; Gonzalez-Cortes, S.; Mirzaei, A.; Xiao, T.; Rafiqd, M.A.; Zhang, X. Solution combustion synthesis: The relevant metrics for producing advanced and nanostructured photocatalysts. Nanoscale 2022, 14, 11806–11868. [Google Scholar] [CrossRef]
- Rogachev, A.S.; Mukasyan, A.S. Combustion for the Material Synthesis; Copyright 2015 CRC Press Taylor & Francis Group: Boca Raton, FL, USA, 2014. [Google Scholar]
- Shiryaev, A.A. Distinctive Features of Thermodynamic Analysis in SHS Investigations. J. Eng. Phys. Thermophys. 1993, 65, 957–962. [Google Scholar] [CrossRef]
- Shiryaev, A.A. Thermodynamics of SHS Processes: Advanced Approach. Int. J. Self-Propagating High Temp. Synth. 1995, 4, 351–362. [Google Scholar]
- Yermekova, Z.; Roslyakov, S.I.; Kovalev, D.Y.; Danghyan, V.; Mukasyan, A.S. One-step synthesis of pure γ-FeNi alloy by reactive sol–gel combustion route: Mechanism and properties. J. Sol-Gel. Sci. Technol. 2020, 94, 310–321. [Google Scholar] [CrossRef]
- Semenov, N.N. On the Theory of Combustion Processes. Z. Phys. 1928, 48, 571–582. [Google Scholar]
- Zeldovich, Y.B.; Barenblatt, G.I.; Librovich, V.B.; Makhviladze, G.M. Mathematical Theory of Combustion and Explosions; Consultants Bureau: New York, NY, USA, 1985. [Google Scholar]
- Novozhilov, B.V. Propagation rate of the front of an exothermic reaction in condensed phase. Dokl. Akad. Nauk. SSSR 1961, 141, 151–153. [Google Scholar]
- Mukasyan, A.S.; Dinka, P. Novel method for synthesis of nano-materials: Combustion of active impregnated layers. Adv. Eng. Mater. 2007, 9, 653–657. [Google Scholar] [CrossRef]
- Liu, Y.; Qin, M.; Zhang, L.; Huang, M.; Li, S.; Jia, B.; Zhang, D.; Qu, X. Solution Combustion Synthesis of Nanocrystalline Fe-50% Ni Alloy Powder. Powder Technol. 2014, 267, 68–73. [Google Scholar] [CrossRef]
- Cui, M.; Meng, X. Overview of transition metal-based composite materials for supercapacitor electrodes. Nanoscale Adv. 2020, 2, 5516–5528. [Google Scholar] [CrossRef] [PubMed]
- Sk, M.M.; Yue, C.Y.; Ghosh, K.; Jena, R.K. Review on advances in porous nanostructured nickel oxides and their composite electrodes for high-performance supercapacitors. J. Power Sources 2016, 308, 121–140. [Google Scholar] [CrossRef]
- Liu, M.C.; Kong, L.B.; Lu, C.; Li, X.M.; Luo, Y.C.; Kang, L. A sol-gel process for fabrication of NiO/NiCo2O4/Co3O4 composite with improved electrochemical behavior for electrochemical capacitors. ACS Appl. Mater. Interfaces 2012, 4, 4631–4636. [Google Scholar] [CrossRef]
- Ning, F.Y.; Shao, M.F.; Zhang, C.L.; Xu, S.M.; Weiand, M.; Duan, X. Co3O4@layered double hydroxide core/shell hierarchical nanowire arrays for enhanced supercapacitance performance. Nano Energy 2014, 7, 134–142. [Google Scholar] [CrossRef]
- Minakshi, M.; Mitchell, D.R.G.; Jones, R.T.; Pramanik, N.C.; Jean-Fulcrand, A.; Garnweitner, G. A Hybrid Electrochemical Energy Storage Device Using Sustainable Electrode Materials. ChemistrySelect 2020, 5, 1597–1606. [Google Scholar] [CrossRef]
- Minakshi, M.; Mitchell, D.R.G.; Munnangi, A.R.; Barlow, A.J.; Fichtner, M. New insights into the electrochemistry of magnesium molybdate hierarchical architectures for high performance sodium devices. Nanoscale 2018, 10, 13277–13288. [Google Scholar] [CrossRef]
- Sharma, P.; Minakshi, M.; Whale, J.; Jean-Fulcrand, A.; Garnweitner, G. Effect of the Anionic Counterpart: Molybdate vs. Tungstate in Energy Storage for Pseudo-Capacitor Applications. Nanomaterials 2021, 11, 580. [Google Scholar] [CrossRef]
- Zhuravlev, V.D.; Bamburov, V.G.; Beketov, A.R.; Perelyaeva, L.A.; Baklanova, I.V.; Sivtsova, O.V.; Vasilev, V.G.; Vladimirova, E.V.; Shevchenko, V.G.; Grigorov, I.G. Solution combustion sunthesis of α-Al2O3 using urea. Ceram. Int. 2013, 39, 1379–1384. [Google Scholar] [CrossRef]
- Wang, Y.; Zeng, J.; Peng, Y.; Li, J.; Zhang, Y.; Li, H.; Zhao, J. Ultrafast One-Pot Air Atmospheric Solution Combustion Approach To Fabricate Mesoporous Metal Sulfide/Carbon Composites with Enhanced Lithium Storage Properties. ACS Appl. Energy Mater. 2018, 1, 6190–6197. [Google Scholar] [CrossRef]
- Cheng, G.; Yan, Y.; Chen, R. From Ni-based nanoprecursors to NiO nanostructures: Morphology-controlled synthesis and structure-dependent electrochemical behavior. New J. Chem. 2015, 39, 676–682. [Google Scholar] [CrossRef]
- Su, D.; Kim, H.S.; Kim, W.S.; Wang, G. Mesoporous nickel oxide nanowires: Hydrothermal synthesis, characterisation and applications for lithium-ion batteries and supercapacitors with superior performance. Chem. A Eur. J. 2012, 18, 8224–8229. [Google Scholar] [CrossRef] [PubMed]
- Zheng, Y.Z.; Ding, H.Y.; Zhang, M.L. Preparation and electrochemical properties of nickel oxide as a supercapacitor electrode material. Mater. Res. Bull. 2009, 44, 403–407. [Google Scholar] [CrossRef]
- Zhang, X.; Shi, W.; Zhu, J.; Zhao, W.; Ma, J.; Mhaisalkar, S.; Maria, T.; Yang, Y.; Zhang, H.; Hng, H.; et al. Synthesis of porous NiO nanocrystals with controllable surface area and their application as supercapacitor electrodes. Nano Res. 2010, 3, 643–652. [Google Scholar] [CrossRef]
- Cheng, J.; Cao, G.P.; Yang, Y.S. Characterization of sol–gel-derived NiOx xerogels as supercapacitors. J. Power Sources 2006, 159, 734–741. [Google Scholar] [CrossRef]
- Xia, X.H.; Tu, J.P.; Wang, X.L.; Gu, C.D.; Zhao, X.B. Hierarchically porous NiO film grown by chemical bath depositionvia a colloidal crystal template as an electrochemical pseudocapacitor material. J. Mater. Chem. 2011, 21, 671–679. [Google Scholar] [CrossRef]
- Ding, S.; Zhu, T.; Chen, J.S.; Wang, Z.; Yuan, C.; Lou, X.W. Controlled synthesis of hierarchical NiO nanosheet hollow spheres with enhanced supercapacitive performance. J. Mater. Chem. 2011, 21, 6602–6606. [Google Scholar] [CrossRef]
- Wu, M.S.; Huang, C.Y.; Lin, K.H. Electrophoretic deposition of nickel oxide electrode for high-rate electrochemical capacitors. J. Power Sources 2009, 186, 557–564. [Google Scholar] [CrossRef]
- Wu, M.S.; Wang, M.J.; Jow, J.J. Fabrication of porous nickel oxide film with open macropores by electrophoresis and electrodeposition for electrochemical capacitors. J. Power Sources 2010, 195, 3950–3955. [Google Scholar] [CrossRef]
- Cao, C.Y.; Guo, W.; Cui, Z.M.; Song, W.G.; Cai, W. Microwave-assisted gas/liquid interfacial synthesis of flowerlike NiO hollow nanosphere precursors and their application as supercapacitor electrodes. J. Mater. Chem. 2011, 21, 3204–3209. [Google Scholar] [CrossRef]
- Meher, S.K.; Justin, P.; Ranga Rao, G. Microwave-mediated synthesis for improved morphology and pseudocapacitance performance of nickel oxide. ACS Appl. Mater. Interfaces 2011, 3, 2063–2073. [Google Scholar] [CrossRef]
- Kesh, S.; Nesaraj, A. Synthesis and Characterization of Phase Pure NiO Nanoparticles via the Combustion Route using Different Organic Fuels for Electrochemical Capacitor Applications. J. Electrochem. Sci. Technol. 2015, 6, 16–25. [Google Scholar]
- Rajagopal, P.; Venkatesh, K.S.; Devendran, P.; Bahandur, S.A.; Nallamuth, N.A. Gel Combustion Synthesis and Characterization of ZnO/NiO Nanocomposite for Supercapacitor Application. Int. J. Innov. Technol. Explor. Eng. 2019, 9, 2278–3075. [Google Scholar]
- Abu Hatab, A.S.; Ahmad, Y.H.; Abdu l Rahman, M.B.; Al-Qaradawi, S.Y. Solution combustion synthesis of Ni-based hybrid metal oxides for oxygen evolution reaction in alkaline medium. RSC Adv. 2022, 12, 1694–1703. [Google Scholar] [CrossRef] [PubMed]
- Xuan, H.; Xu, Y.; Zhang, Y.; Li, H.; Han, P.; Du, Y. One-step combustion synthesis of porous CNTs/C/NiMoO4 composites for high-performance asymmetric supercapacitors. J. Alloys Compd. 2018, 745, 135–146. [Google Scholar] [CrossRef]
- Zhao, Y.; Jiang, N.; Zhang, X.; Guo, J.; Yang, Q.; Gao, L.; Li, Y.; Ma, T. One-step salt-assisted solution combustion synthesis of Ni-based composites for use as supercapacitor electrodes. J. Alloys Compd. 2018, 765, 396–404. [Google Scholar] [CrossRef]
- Zhu, G.X.; Xi, C.Y.; Shen, M.Q.; Bao, C.L.; Zhu, J. Nanosheet-based hierarchical Ni2(CO3)(OH)2 microspheres with weak crystallinity for high-performance supercapacitor. ACS Appl. Mater. Interfaces 2014, 6, 17208–17214. [Google Scholar] [CrossRef] [PubMed]
- Tian, H.; Wang, L.; Jiang, Y.; Zhang, L.; Li, Y.; Hou, L.; Wu, C.; Gao, F. Facile synthesis of porous Ni2CO3(OH)2/functionalized graphene composites with enhanced supercapacitive performance. J. Mater. Chem. A 2016, 4, 11430–11438. [Google Scholar] [CrossRef]
- Wen, W.; Wu, J.M. Eruption combustion synthesis of NiO/Ni nanocomposites with enhanced properties for dye-absorption and Lithium storage. ACS Appl. Mater. Interfaces 2011, 3, 4112–4119. [Google Scholar] [CrossRef]
- Liu, J.; Cheng, C.; Zhou, W.; Li, H.; Fan, H.J. Ultrathin nickel hydroxidenitrate nanoflakes branched on nanowire arrays for high-rate pseudocapacitive energy storage. Chem. Commun. 2011, 47, 3436–3438. [Google Scholar] [CrossRef] [PubMed]
- Liu, M.; Wang, X.; Zhu, D.; Li, L.; Duan, H.; Xu, Z.; Wang, Z.; Gan, L. Encapsulation of NiO nanoparticles in mesoporous carbon nanospheres for advanced energy storage. Chem. Eng. J. 2017, 308, 240–247. [Google Scholar] [CrossRef]
- Ardebilchi Marand, N.; Masoudpanah, S.M.; Alamolhoda, S.; Sh Bafghi, M. Solution combustion synthesis of nickel sulfide/reduced graphene oxide composite powders as electrode materials for high-performance supercapacitors. J. Energy Storage 2021, 39, 102637. [Google Scholar] [CrossRef]
- Rajab, W.F.; Asad, J.S.; SamyShaat, K.K.; Musleh, H.S.; Shurrab, N.K.; Issa, A.A.; AlKahlout, A.M.; Dahoudi, N.M.A. Synthesis and Characterization of Manganese oxides Nanoparticles for Supercapacitor-Based Energy-Storage Device. In Proceedings of the 2019 IEEE 7th Palestinian International Conference on Electrical and Computer Engineering (PICECE), Gaza, Palestine, 26–27 March 2019; pp. 1–6. [Google Scholar]
- Atzori, M.; Artizzu, F.; Sessini, E.; Marchiò, L.; Loche, D.; Serpe, A.; Deplano, P.; Concas, G.; Pop, F.; Avarvari, N. Halogen-bonding in a new family of tris (haloanilato) metallate (III) magnetic molecular building blocks. Dalton Trans. 2014, 43, 7006–7019. [Google Scholar] [CrossRef]
- Luo, Y.; Yang, T.; Li, Z.; Xiao, B.; Zhang, M. High performance of Mn3O4 cubes for supercapacitor applications. Mater. Lett. 2016, 178, 171–174. [Google Scholar] [CrossRef]
- Shi, J.; Sun, M.; Hu, H. One-step combustion synthesis of C-Mn3O4/MnO composites with high electrochemical performance for supercapacitor. Mater. Res. Express 2019, 6, 035511. [Google Scholar] [CrossRef]
- Li, D.; Meng, F.; Yan, X.; Yang, L.; Heng, H.; Zhu, T. One-pot hydrothermal synthesis of Mn3O4 nanorods grown on Ni foam for high performance supercapacitor applications. Nanoscale Res. Lett. 2013, 8, 535. [Google Scholar] [CrossRef] [PubMed]
- Liang, J.; Bu, L.T.; Cao, W.G.; Chen, T.; Cao, Y.C. Facile fabrication of coaxial-cable like Mn2O3 nanofiber by electrospinning: Application as electrode material for supercapacitor. J. Taiwan Inst. Chem. E 2016, 65, 584–590. [Google Scholar] [CrossRef]
- Bhagwan, J.; Sahoo, A.; Yadav, K.L.; Sharma, Y. Porous, one dimensional and high aspect ratio Mn3O4 nanofibers: Fabrication and optimization for enhanced supercapacitive properties. Electrochim. Acta. 2015, 174, 992–1001. [Google Scholar] [CrossRef]
- Chen, L.D.; Zheng, Y.Q.; Zhu, H.L. Manganese oxides derived from Mn(II)-based metal-organic framework as supercapacitor electrode materials. J. Mater. Sci. 2018, 53, 1346–1355. [Google Scholar] [CrossRef]
- Zhang, X.; Sun, X.; Chen, Y.; Zhang, D.; Ma, Y. One-step solvothermal synthesis of graphene/Mn3O4 nanocomposites and their electrochemical properties for supercapacitors. Mater. Lett. 2012, 68, 336–339. [Google Scholar] [CrossRef]
- Ko, Y.; Son, D.I. Synthesis and characterization of Mn3O4-graphene core-shell quantum dots for electrochemical pseudocapacitor applications. J. Korean Phys. Soc. 2018, 72, 1198–1202. [Google Scholar] [CrossRef]
- Moqaddam, M.M.; Mirjalili, M.; Khakia, J.V.; Beidokhtia, S.M. A new approach in the one-step synthesis of α-MnO2 via a modified solution combustion procedure. Nanoscale Adv. 2022, 4, 3909–3918. [Google Scholar] [CrossRef]
- Abdollahifar, M.; Huang, S.S.; Lin, Y.H.; Lin, Y.C.; Shih, B.Y.; Sheu, H.S.; Liao, Y.F.; Wu, N.L. High-performance carbon-coated ZnMn2O4 nanocrystallite supercapacitors with tailored microstructures enabled by a novel solution combustion method. J. Power Sources 2018, 378, 90–97. [Google Scholar] [CrossRef]
- Zhang, Y.; Xuan, H.; Xu, Y.; Guo, B.; Li, H.; Kang, L.; Han, P.; Wang, D.; Du, Y. One-step large scale combustion synthesis mesoporous MnO2/MnCo2O4 composite as electrode material for high-performance supercapacitors. Electrochim. Acta 2016, 206, 278–290. [Google Scholar] [CrossRef]
- Li, F.; Li, G.; Chen, H.; Jia, J.Q.; Dong, F.; Hu, Y.B.; Shang, Z.G.; Zhang, Y.X. Morphology and crystallinity-controlled synthesis of manganese cobalt oxide/manganese dioxides hierarchical nanostructures for high-performance supercapacitors. J. Power Sources 2015, 296, 86–91. [Google Scholar] [CrossRef]
- Yuan, Y.; Bi, H.; He, G.; Zhu, J.; Chen, H. A Facile Hydrothermal Synthesis of a MnCo2O4@Reduced Graphene Oxide Nanocomposite for Application in Supercapacitors. Chem. Lett. 2014, 43, 83–85. [Google Scholar] [CrossRef]
- Li, L.; He, F.; Gai, S.; Zhang, S.; Gao, P.; Zhang, M.; Chen, Y.; Yang, P. Hollow structured and flower-like C@MnCo2O4 composite for high electrochemical performance in a supercapacitor. CrystEngComm 2014, 16, 9873–9881. [Google Scholar] [CrossRef]
- Zheng, X.; Ye, Y.; Yang, Q.; Geng, B.; Zhang, X. Hierarchical structures composed of MnCo2O4@MnO2 core-shell nanowire arrays with enhanced supercapacitor properties. Dalton Trans. 2015, 45, 572–578. [Google Scholar] [CrossRef]
- Krishnan, S.G.; Rahim, M.H.A.; Jose, R. Synthesis and characterization of MnCo2O4 cuboidal microcrystals as a high performance psuedocapacitor electrode. J. Alloys Compd. 2016, 656, 707–713. [Google Scholar] [CrossRef]
- Tholkappiyan, R.; Naveen, A.N.; Sumithra, S.; Vishista, K. Investigation on spinel MnCo2O4 electrode material prepared via controlled and uncontrolled synthesis route for supercapacitor application. J. Mater. Sci. 2015, 50, 5833–5843. [Google Scholar] [CrossRef]
- Li, L.; Zhang, Y.Q.; Liu, X.Y.; Shi, S.J.; Zhao, X.Y.; Zhang, H.; Ge, X.; Cai, G.F.; Gu, C.D.; Wang, X.L.; et al. One-dimension MnCo2O4 nanowire arrays for electrochemical energy storage. Electrochim. Acta 2014, 116, 467–474. [Google Scholar] [CrossRef]
- Babakhani, B.; Ivey, D.G. Investigation of electrochemical behavior of Mn-Co doped oxide electrodes for electrochemical capacitors. Electrochim. Acta 2011, 56, 4753–4762. [Google Scholar] [CrossRef]
- Kong, L.; Lu, C.; Liu, M.; Luo, Y.; Kang, L.; Li, X.; Walsh, F.C. The specific capacitance of sol-gel synthesised spinel MnCo2O4 in an alkaline electrolyte. Electrochim. Acta 2014, 115, 22–27. [Google Scholar] [CrossRef]
- Padmanathan, N.; Selladurai, S. Mesoporous MnCo2O4 spinel oxide nanostructure synthesized by solvothermal technique for supercapacitor. Ionics 2013, 20, 479–487. [Google Scholar] [CrossRef]
- Sahoo, S.; Naik, K.K.; Rout, C.S. Electrodeposition of spinel MnCo2O4 nanosheets for supercapacitor Applications. Nanotechnology 2015, 26, 455401. [Google Scholar] [CrossRef]
- Wang, X.; Qin, M.; Fang, F.; Jia, B.; Wu, H.; Qu, X.; Volinsky, A.A. Solution combustion synthesis of nanostructured iron oxides with controllable morphology, composition and electrochemical performance. Ceram. Int. 2018, 44, 4237–4247. [Google Scholar] [CrossRef]
- Cao, K.; Jiao, L.; Liu, H.; Liu, Y.; Wang, Y.; Guo, Z.; Yuan, H. 3D hierarchical porous α-Fe2O3 nanosheets for high-performance lithium-ion batteries. Adv. Energy Mater. 2015, 5, 4646–4652. [Google Scholar] [CrossRef]
- Nguyen, T.A.; Kim, I.T.; Lee, S.W. Chitosan-tethered iron oxide composites as an antisintering porous structure for high-performance Li-ion battery anodes. J. Am. Ceram. Soc. 2016, 99, 2720–2728. [Google Scholar] [CrossRef]
- Cao, Z.; Wei, B. α-Fe2O3/single-walled carbon nanotube hybrid films as high-performance anodes for rechargeable lithium-ion batteries. J. Power Sources 2013, 241, 330–340. [Google Scholar] [CrossRef]
- Maiti, D.; Aravindan, V.; Madhavi, S.; Devi, P.S. Electrochemical performance of hematite nanoparticles derived from spherical maghemite and elongated goethite particles. J. Power Sources 2015, 276, 291–298. [Google Scholar] [CrossRef]
- He, J.; Zhao, S.; Lian, Y.; Zhou, M.; Wang, L.; Ding, B.; Cui, S. Graphene-doped carbon/Fe3O4 porous nanofibers with hierarchical band construction as high-performance anodes for lithium-ion batteries. Electrochim. Acta 2017, 229, 306–315. [Google Scholar] [CrossRef]
- Zhang, M.; Cao, M.; Fu, Y.; Xing, L.; Wang, Q.; Xue, X. Ultrafast/stable lithium-storage electrochemical performance of Fe/Fe3O4/carbon nanocomposites as lithium-ion battery anode. Mater. Lett. 2016, 185, 282–285. [Google Scholar] [CrossRef]
- Xin, Q.; Gai, L.; Wang, Y.; Ma, W.; Jiang, H.; Tian, Y. Hierarchically structured Fe3O4/C nanosheets for effective lithium-ion storage. J. Alloys Compd. 2017, 691, 592–599. [Google Scholar] [CrossRef]
- Deng, J.; Kang, L.; Bai, G.; Li, Y.; Li, P.; Liu, X.; Yang, Y.; Gao, F.; Liang, W. Solution combustion synthesis of cobalt oxides (Co3O4 and Co3O4/CoO) nanoparticles as supercapacitor electrode materials. Electrochim. Acta 2014, 132, 127–135. [Google Scholar] [CrossRef]
- Gyulasaryan, H.; Kuzanyan, A.; Manukyan, A.; Mukasyan, A.S. Combustion Synthesis of Magnetic Nanomaterials for Biomedical Applications. Nanomaterials 2023, 13, 1902. [Google Scholar] [CrossRef]



















| Synthesis Technique | Morphology | SC | SSA (m2/g) | Ref. |
|---|---|---|---|---|
| Hydrothermal | Nanoparticles | 609.5 F/g at 5 A/g | 58.5 | [60] |
| Hydrothermal | Nanowires | 348 F/g at 10 mV/s | 85.18 | [61] |
| Hydrothermal | Nanoflakes | 137.7 F/g at 0.2 A/g | 107.5 | [62] |
| Hydrothermal | Nanocolumns | 390 F/g at 5 A/g | 102.4 | [63] |
| Sol-gel | Nanoflowers | 480 F/g at 0.5 A/g | 130 | [29] |
| Sol-gel | Xerogels | 696 F/g at 2 mA/cm2 | - | [64] |
| Chemical bath deposition | Porous hollow sphere arrays | 311 at 1 A/g | 325 | [65] |
| Chemical precipitation | Ball-shaped mesoporous structures | 124 F/g at 0.1 A/g | 477.7 | [32] |
| Chemical precipitation | Hollow spheres assembled from nanosheets | 415 F/g at 3 A/g | 62 | [66] |
| Electrochemical deposition | Nanoplatelets | 112 F/g at 10 mV/s | N/A | [67] |
| Electrochemical deposition | Nanoflakes | 351 F/g at 10 mV/s | [68] | |
| Microwave | Flower-like hollow nanospheres | 585 F/g at 5 A/g | 176 | [69] |
| Microwave | Hierarchical porous ball-like surface | 420 F/g at 0.5 A/g | 125 | [70] |
| SCS | Spherical grains | 295 F/g at 1 mV/s | - | [71] |
| Catalyst | Surface Area (m2 g−1) | Pore Volume (cm3 g−1) | Pore Diameter (nm) |
|---|---|---|---|
| NiO | 17.3 | 0.098298 | 11.4 |
| NixCo1−xOy | 9.8 | 0.043892 | 9.0 |
| NixFe1−xOy | 8.4 | 0.037339 | 8.9 |
| NixMn1−xOy | 6.8 | 0.035503 | 10.5 |
| NixMo1−xOy | 83.4 | 0.354888 | 8.5 |
| NixCu1−xOy | 7.4 | 0.043915 | 11.9 |
| NixCr1−xOy | 29.8 | 0.183563 | 12.3 |
| φ—CNTs (mg) | BET, m2/g | Pore Volume, cm3/g | Average Pore Size, nm | Crystallinity |
|---|---|---|---|---|
| 6.5/9—0 | 59 | 0.106 | 3.78 | amorphous |
| 13/9—0 | 48 | 0.104 | 3.82 | poor crystalline |
| 26/9—0 | 25 | 0.064 | 3.80 | well crystalline |
| 39/9—0 | 46 | 0.095 | 4.32 | poor crystalline |
| 52/9—0 | 47 | 0.130 | 3.79 | amorphous |
| 13/9—50 | 45 | 0.110 | 12.01 | poor crystalline |
| φ—CNTs (mg) | BET, m2/g | Crystallinity | Specific Capacitances, F/g |
|---|---|---|---|
| 6.5/9—0 | 59 | amorphous | 798 |
| 13/9—0 | 48 | poor crystalline | 859 |
| 26/9—0 | 25 | well crystalline | 617 |
| 39/9—0 | 46 | poor crystalline | 780 |
| 52/9—0 | 47 | amorphous | 758 |
| 13/9—50 | 45 | poor crystalline | 1037 |
| Material | Specific Capacitance, Fg−1 | Capacitance Retention, % | Ref. |
|---|---|---|---|
| ξ = 0; Ni3(NO3)2(OH)4 | 1260 at 1 A/g | 53.6 after 2000 cycles at 10 A/g | [75] |
| ξ = 0.5; Ni3(NO3)2(OH)4 NiC2O4·2H2O, Ni2(CO3)(OH)2·H2O | 1166 | N/A | [75] |
| ξ = 1.0; NiC2O4·2H2O, Ni2(CO3)(OH)2·H2O | 1420 | 60 after 2000 cycles at 10 A/g | [75] |
| ξ = 1.5; NiO | 536 | N/A | [75] |
| Ni2(CO3)(OH)2 microspheres | 1178 at 0.5 A/g | 108 after 1000 cycles at 80 mV/s | [76] |
| Ni2CO3(OH)2/functionalized graphene | 1508 at 1 A/g | 100 after 3000 cycles at 10 A/g | [77] |
| Ni3(NO3)2(OH)4 | 1202 at 50 mA/g | 68 after 1000 cycles at 5 mA/g | [78] |
| Ni3(NO3)2(OH)4/ZnO | 1310 at 15.7 A/g | 84 after 5000 cycles at 23.6 A/g | [79] |
| NiO/mesoporous carbon nanospheres | 406 at 1 A/g | 91 after 10,000 cycles at 3 A/g | [80] |
| MnOx Material | Electrolyte | Rate | SC (F/g) | Cycles | Ref. |
|---|---|---|---|---|---|
| Graphene/MnO2 | 1.0 M Na2SO4 | 1.0 A g−1 | 205 | 2000 | [86] |
| Mn2O3 particle | 6.0 M KOH | 0.5 A/g | 70 | 1000 | [87] |
| MnO/Mn2O3 | 1.0 M Na2SO4 | 1.0 A/g | 113 | 500 | [88] |
| Mn3O4/Mn2O3 | 1.0 M Na2SO4 | 1.0 A/g | 150 | 500 | [89] |
| Mn3O4/graphene | 1.0 M Na2SO4 | 1.0 A/g | 130 | 500 | [90] |
| Mn3O4/graphene quantum dots | 6.0 M KOH | 2.0 A/g | 182 | 100 | [91] |
| C-Mn3O4/MnO | 6.0 M KOH | 1.0 A/g | 204 | 3200 | [85] |
| Powder | Stotal, m2/g | Dc, Nm | Pore Volume, cm3/g | Carbon, wt.% | SC, F/g |
|---|---|---|---|---|---|
| ZM-0 | 7.8 | 32 | 0.05 | 0 | 38 |
| ZM-2-1 | 47 | 8 | 0.08 | 2.78 | 130 |
| ZM-2-5 | 44 | 11 | 0.1 | 1.29 | 92 |
| ZM-6-1 | 42 | 10.4 | 0.07 | 2.04 | 150 |
| ZM-6-2 | 46 | 10.8 | 0.09 | 1.83 | 137 |
| ZM-6-5 | 27 | 20.8 | 0.1 | 0.05 | 76 |
| Sample | BET (m2/g) | Average Pore Size (nm) | Total Pore Volume (cm3/g) | Micropore Area (m2/g) |
|---|---|---|---|---|
| S1 | 99.30 | 3.40 | 0.166 | 8.76 |
| S2 | 88.53 | 3.81 | 0.113 | 6.66 |
| S3 | 25.19 | 3.82 | 0.062 | 2.10 |
| S4 | 11.33 | 3.80 | 0.033 | 1.76 |
| Material | Prepare Method | Capacity, F/g | Ref. |
|---|---|---|---|
| MnCo2O4.5@δ-MnO2 hierarchical nanostructures | HTM | 357.5 (0.5 A/g) | [95] |
| MnCo2O4@reduced graphene oxide | HTM | 334 (1 A/g) | [96] |
| Hollow structured and flower-like C@MnCo2O4 | HTM | 728.4 (1 A/g) | [97] |
| MnCo2O4@MnO2 core-shell nanowire | HTM | 858 (1 A/g) | [98] |
| MnCo2O4 cuboidal microcrystals | HTM | 600 (0.5 A/g) | [99] |
| MnCo2O4 spinel | HTM | 671 (5 mV/s) | [100] |
| 1D MnCo2O4 nanowire | HTM | 349.8 (1 A/g) | [101] |
| PEDOT rod-like@Mn-Co oxide | Deposit | 310 (15 mA/cm2) | [102] |
| MnCo2O4 spinel | Sel-gal | 510 (5 mV/s) | [100] |
| MnCo2O4 spinel | Sel-gal | 405 (5 mA/cm2) | [103] |
| Mesoporous MnCo2O4 spinel | Solvothermal | 346 (1 A/g) | [104] |
| Spinel MnCo2O4 nanosheets | Electrodeposition | 290 (1 mV/s) | [105] |
| MnO2/MnCo2O4 nanoparticle | SCS | 497 (0.5 A/g) | [94] |
| Material | Reversible Capacity (mAh/g) | Current Density (A/g) | Ref. |
|---|---|---|---|
| α-Fe2O3/Fe3O4 porous nanosheets | 1258 (500 cycles) | 1 | [106] |
| 3D hierarchical porous α- Fe2O3 nanosheets | 1001 (1000 cycles) | 1 | [107] |
| Fe2O3@chitosan | 732 (50 cycles) | 0.1 | [108] |
| α-Fe2O3/SWNT hybrid films | 1100 (100 cycles) | 0.1 | [109] |
| porous α-Fe2O3 nanoparticles | 841 (100 cycles) | 0.5 | [110] |
| graphene@C/Fe3O4 | 872 (100 cycles) | 0.1 | [111] |
| Fe/Fe3O4/C nanocomposites | 755 (100 cycles) | 0.1 | [112] |
| Fe3O4/C nanosheets | 647 (100 cycles) | 0.2 | [113] |
| Sample | SBET (m2/g) | Vpore (cm3/g) | Vmeso (cm3/g) | Vmacro (cm3/g) |
|---|---|---|---|---|
| I | 13.1 | 0.037 | 0.029 | 0.008 |
| II | 21.3 | 0.095 | 0.067 | 0.028 |
| III | 14.1 | 0.054 | 0.035 | 0.019 |
| IV | 17.9 | 0.095 | 0.052 | 0.043 |
Disclaimer/Publisher’s Note: The statements, opinions and data contained in all publications are solely those of the individual author(s) and contributor(s) and not of MDPI and/or the editor(s). MDPI and/or the editor(s) disclaim responsibility for any injury to people or property resulting from any ideas, methods, instructions or products referred to in the content. |
© 2023 by the authors. Licensee MDPI, Basel, Switzerland. This article is an open access article distributed under the terms and conditions of the Creative Commons Attribution (CC BY) license (https://creativecommons.org/licenses/by/4.0/).
Share and Cite
Sisakyan, N.; Chilingaryan, G.; Manukyan, A.; Mukasyan, A.S. Combustion Synthesis of Materials for Application in Supercapacitors: A Review. Nanomaterials 2023, 13, 3030. https://doi.org/10.3390/nano13233030
Sisakyan N, Chilingaryan G, Manukyan A, Mukasyan AS. Combustion Synthesis of Materials for Application in Supercapacitors: A Review. Nanomaterials. 2023; 13(23):3030. https://doi.org/10.3390/nano13233030
Chicago/Turabian StyleSisakyan, Narek, Gayane Chilingaryan, Aram Manukyan, and Alexander S. Mukasyan. 2023. "Combustion Synthesis of Materials for Application in Supercapacitors: A Review" Nanomaterials 13, no. 23: 3030. https://doi.org/10.3390/nano13233030
APA StyleSisakyan, N., Chilingaryan, G., Manukyan, A., & Mukasyan, A. S. (2023). Combustion Synthesis of Materials for Application in Supercapacitors: A Review. Nanomaterials, 13(23), 3030. https://doi.org/10.3390/nano13233030

