Changes in the Raman Spectrum of Monolayer Graphene under Compression/Stretching Strain in Graphene/Piezoelectric Crystal Structures
Abstract
1. Introduction
2. Experimental Set-Up
3. Experimental Results
4. Conclusions
Author Contributions
Funding
Data Availability Statement
Conflicts of Interest
References
- Delsing, P.; Cleland, A.; Schuetz, M.; Knörzer, J.; Giedke, G.; Cirac, I.; Srinivasan, K.; Wu, M.; Balram, K.C.; Bäuerle, C.; et al. The 2019 surface acoustic waves roadmap. J. Phys. D Appl. Phys. 2019, 52, 353001. [Google Scholar] [CrossRef]
- Lengyel, K.; Peter, A.; Kovacs, L.; Corradi, G.; Palfalvi, L.; Hebling, J.; Unferdorben, M.; Dravecz, G.; Szaller, Z.; Polgar, K. Growth, defect structure, and THz application of stoichiometric lithium niobate. Appl. Phys. Rev. 2015, 2, 040601. [Google Scholar] [CrossRef]
- Imlau, M.; Badorreck, H.; Merschjann, C. Optical nonlinearities of small polarons in lithium niobate. Appl. Phys. Rev. 2015, 2, 040606. [Google Scholar] [CrossRef]
- Chilla, E.; Flannery, C.M.; Fro, H.-J.; Straube, U. Elastic properties of langasite-type crystals determined by bulk and surface acoustic waves. J. Appl. Phys. 2001, 90, 15. [Google Scholar] [CrossRef]
- Zhang, S.; Zheng, Y.; Kong, H.; Xin, J.; Frantz, E.; Shrout, T.R. Characterization of high temperature piezoelectric crystals with an ordered langasite structure. J. Appl. Phys. 2009, 105, 114107. [Google Scholar] [CrossRef]
- Novoselov, K.S.; Geim, A.K.; Morozov, S.V.; Jiang, D.; Katsnelson, M.I.; Grigorieva, I.V.; Dubonos, S.V.; Firsov, A.A. Two-dimensional gas of massless Dirac fermions in graphene. Nature 2005, 438, 197. [Google Scholar] [CrossRef]
- Kong, X.; Zhang, L.; Liu, B.; Gao, H.; Zhang, Y.; Yan, H.; Song, X. Graphene/Si Schottky solar cells: A review of recent advances and prospects. RSC Adv. 2019, 9, 863–877. [Google Scholar] [CrossRef]
- Yakovenko, V.M. Novel method for photovoltaic energy conversion using surface acoustic waves in piezoelectric semiconductors. Phys. B Condens. Matter 2012, 407, 1969. [Google Scholar] [CrossRef]
- Batista, P.D.; Hey, R.; Santos, P.V. Efficient electrical detection of ambipolar acoustic transport in GaAs. Appl. Phys. Lett. 2008, 92, 262108. [Google Scholar] [CrossRef]
- Mišeikis, V.; Cunningham, J.; Saeed, K.; O’Rorke, R.; Davies, A. Acoustically induced current flow in graphene. Appl. Phys. Lett. 2012, 100, 133105. [Google Scholar] [CrossRef]
- Poole, T.; Nash, G.R. Acoustoelectric Current in Graphene Nanoribbons. Sci. Rep. 2017, 7, 1767. [Google Scholar] [CrossRef]
- Santos, P.V.; Schumann, T.; Oliveira, M.H., Jr.; Lopes, J.M.J.; Riechert, H. Acousto-electric transport in epitaxial monolayer graphene on SiC. Appl. Phys. Lett. 2013, 102, 221907. [Google Scholar] [CrossRef]
- Roshchupkin, D.; Ortega, L.; Zizak, I.; Plotitcyna, O.; Matveev, V.; Kononenko, O.; Emelin, E.; Erko, A.; Tynyshtykbayev, K.; Irzhak, D.; et al. Surface acoustic wave propagation in graphene film. J. Appl. Phys. 2015, 118, 104901. [Google Scholar] [CrossRef]
- Mayorov, A.; Hunter, N.; Muchenje, W.; Wood, C.; Rosamond, M.; Linfield, E.; Davies, A.G.; Cunningham, J.E. Surface acoustic wave generation and detection using graphene interdigitated transducers on lithium niobate. Appl. Phys. Lett. 2014, 104, 083509. [Google Scholar] [CrossRef]
- Irzhak, A.; Irzhak, D.; Khvostikov, V.; Pundikov, K.; Roshchupkin, D.; Fahrtdinov, R. Effect of local changes in the composition of the LiNb 1− x Ta x O 3 single crystal on the Raman spectra. J. Raman Spectrosc. 2022, 53, 969–976. [Google Scholar] [CrossRef]
- Irzhak, A.; Irzhak, D.; Pundikov, K.; Sergeev, A. Changing of LiNbO3 Raman spectra under external electric field applying. Opt. Mater. 2022, 133, 112988. [Google Scholar] [CrossRef]
- Peng, L.-H.; Fang, Y.-C.; Lin, Y.-C. Polarization switching of lithium niobate with giant internal field. Appl. Phys. Lett. 1999, 74, 2070–2072. [Google Scholar] [CrossRef]
- Ni, Z.; Wang, Y.; Yu, T.; Shen, Z. Raman spectroscopy and imaging of graphene. Nano Res. 2008, 1, 273–291. [Google Scholar] [CrossRef]
- Odhner, J.H.; Romanov, D.A.; Levis, R.J. Filament-based stimulated Raman spectroscopy. In Proceedings of the Nonlinear Frequency Generation and Conversion: Materials, Devices, and Applications IX, San Francisco, CA, USA., 25–28 January 2010. [Google Scholar] [CrossRef]
- Matrosov, I.I.; Petrov, D.; Tikhomirov, A.A. Improvement of the sensitivity of a stationary Raman gas analyzer. In Proceedings of the 20th International Symposium on Atmospheric and Ocean Optics: Atmospheric Physics, Novosibirsk, Russia., 23–27 June 2014. [Google Scholar] [CrossRef]
- Available online: https://www.metrohm.com/ru_ru/applications/bw-tek-applikationen/410000059-A.html (accessed on 11 January 2023).
- Available online: https://www.spectroscopyonline.com/view/portable-raman-spectroscopy-line-characterization-carbon-nanomaterials (accessed on 11 January 2023).
- Zelenovskii, P.; Romanyuk, K.; Vidyasagar, R.; Akhmatkhanov, A.; Zhao, P.; Shur, V.Y.; Kholkin, A.L. Effect of ferroelectric domains on electric properties of single layer graphene. Ferroelectrics 2019, 542, 93–101. [Google Scholar] [CrossRef]
- Fisher, R.A. Statistical Methods for Research Workers, 13th ed.; Hafner Publishing Co., Inc.: New York, NY, USA, 1958. [Google Scholar]
- Ding, F.; Ji, H.; Chen, Y.; Herklotz, A.; Dörr, K.; Mei, Y.; Rastelli, A.; Schmidt, O.G. Stretchable Graphene: A Close Look at Fundamental Parameters through Biaxial Straining. Nano Lett. 2010, 10, 3453–3458. [Google Scholar] [CrossRef]
- Warner, A.W.; Onoe, M.; Coquin, G.A. Determination of Elastic and Piezoelectric Constants for Crystals in Class (3m). J. Acoust. Soc. Am. 1967, 42, 1223–1231. [Google Scholar] [CrossRef]






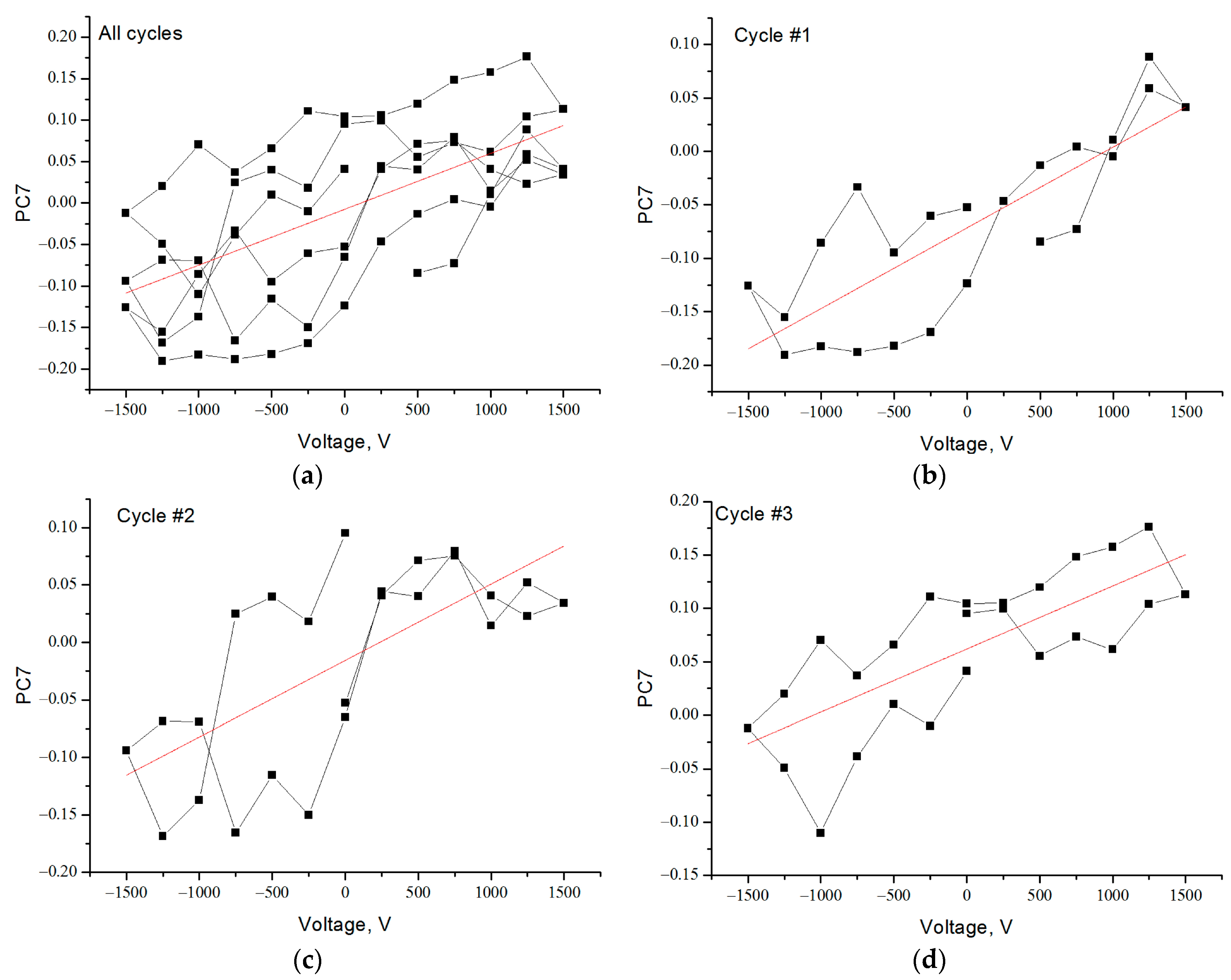
| All Cycles | Cycle 1 | Cycle 2 | Cycle 3 | |
|---|---|---|---|---|
| Residual sum of squares | 0.397 | 0.049 | 0.089 | 0.051 |
| Correlation factor r | 0.62 | 0.82 | 0.69 | 0.74 |
| Intercept | −0.007 | −0.071 | −0.016 | 0.062 |
| Slope | 6.7 × 10−5 | 7.6 × 10−5 | 6.7 × 10−5 | 5.9 × 10−5 |
Disclaimer/Publisher’s Note: The statements, opinions and data contained in all publications are solely those of the individual author(s) and contributor(s) and not of MDPI and/or the editor(s). MDPI and/or the editor(s) disclaim responsibility for any injury to people or property resulting from any ideas, methods, instructions or products referred to in the content. |
© 2023 by the authors. Licensee MDPI, Basel, Switzerland. This article is an open access article distributed under the terms and conditions of the Creative Commons Attribution (CC BY) license (https://creativecommons.org/licenses/by/4.0/).
Share and Cite
Irzhak, A.; Irzhak, D.; Kononenko, O.; Pundikov, K.; Roshchupkin, D. Changes in the Raman Spectrum of Monolayer Graphene under Compression/Stretching Strain in Graphene/Piezoelectric Crystal Structures. Nanomaterials 2023, 13, 350. https://doi.org/10.3390/nano13020350
Irzhak A, Irzhak D, Kononenko O, Pundikov K, Roshchupkin D. Changes in the Raman Spectrum of Monolayer Graphene under Compression/Stretching Strain in Graphene/Piezoelectric Crystal Structures. Nanomaterials. 2023; 13(2):350. https://doi.org/10.3390/nano13020350
Chicago/Turabian StyleIrzhak, Artemy, Dmitry Irzhak, Oleg Kononenko, Kirill Pundikov, and Dmitry Roshchupkin. 2023. "Changes in the Raman Spectrum of Monolayer Graphene under Compression/Stretching Strain in Graphene/Piezoelectric Crystal Structures" Nanomaterials 13, no. 2: 350. https://doi.org/10.3390/nano13020350
APA StyleIrzhak, A., Irzhak, D., Kononenko, O., Pundikov, K., & Roshchupkin, D. (2023). Changes in the Raman Spectrum of Monolayer Graphene under Compression/Stretching Strain in Graphene/Piezoelectric Crystal Structures. Nanomaterials, 13(2), 350. https://doi.org/10.3390/nano13020350

