Ag-Doped MoSe2/ZnO Heterojunctions: A Highly Responsive Gas-Sensitive Material for Selective Detection of NO Based on DFT Study
Abstract
:1. Introduction
2. Computation Details
3. Results and Discussion
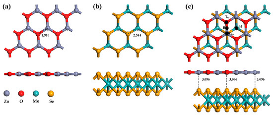
3.1. Establishment of MoSe2/ZnO Heterojunctions
3.2. Structural Optimization of Ag-MoSe2/ZnO Heterojunctions and Six Gas Molecules
3.3. Adsorption Properties of Six Gas Molecules on Ag-MoSe2/ZnO Heterojunctions
3.4. DOS Analysis of Six Gas Adsorption Systems
3.5. Analysis of Energy Band Structure of Six Gas Adsorption Systems
3.6. Work Function Analysis of Six Gas Adsorption Systems
3.7. Research on Energy Bands Based on the Frontline Orbit Theory
3.8. Reusability and Stability Analysis of Ag-MoSe2/ZnO Heterojunctions
4. Conclusions
Author Contributions
Funding
Informed Consent Statement
Data Availability Statement
Conflicts of Interest
References
- Shimizu, A.; Morita, T.; Yamaguchi, T.; Hara, K. Nitric Oxide Gas Sensors Using Multilayered Thin Film with Interspaces. Sens. Mater. 2018, 30, 1123–1132. [Google Scholar]
- Song, H.; Li, K.; Wang, C. Selective Detection of NO and NO2 with CNTs-Based Ionization Sensor Array. Micromachines 2018, 9, 354. [Google Scholar] [CrossRef] [PubMed]
- Wang, T.F.; Li, X.L.; Wang, J.K.; Li, L.; Li, D. Two-dimension black arsenic-phosphorus as a promising NO sensor: A DFT study. Comput. Theor. Chem. 2022, 1213, 113727. [Google Scholar] [CrossRef]
- Yadav, A.; Sharma, A.; Baloria, V.; Singh, P.; Gupta, G. Ultrahigh sensitive NO sensor based on WO3 film with ppb-level sensitivity. Ceram. Int. 2023, 49, 7853–7860. [Google Scholar] [CrossRef]
- Wei, T.; Li, W.; Zhang, J.; Xie, X.L. Synthesis of Tb2O3/ZnO composite nanofibers via electrospinning as chemiresistive gas sensor for detecting NO gas. J. Alloys Compd. 2023, 947, 169651. [Google Scholar] [CrossRef]
- Zhao, J.H.; Tan, R.Q.; Shen, W.F.; Yang, Y.; Guo, Y.Q.; Li, J.; Zhou, Z.; Jian, J.W.; Song, W.J. Highly selective Sn2O3-based sensors for NO detection. Mater. Lett. 2012, 84, 94–96. [Google Scholar] [CrossRef]
- Claeyssens, F.; Freeman, C.L.; Allan, N.L.; Sun, Y.; Ashfold, M.N.R.; Harding, J.H. Growth of ZnO thin films—Experiment and theory. J. Mater. Chem. 2005, 15, 139–148. [Google Scholar] [CrossRef]
- Weirum, G.; Barcaro, G.; Fortunelli, A.; Weber, F.; Schennach, R.; Surnev, S.; Netzer, F.P. Growth and Surface Structure of Zinc Oxide Layers on a Pd(111) Surface. J. Phys. Chem. C. 2010, 114, 15432–15439. [Google Scholar] [CrossRef]
- Quang, H.T.; Bachmatiuk, A.; Dianat, A.; Ortmann, F.; Zhao, J.; Warner, J.H.; Eckert, J.; Cunniberti, G.; Rummeli, M.H. In Situ Observations of Free-Standing Graphene-like Mono- and Bilayer ZnO Membranes. ACS Nano 2015, 9, 11408–11413. [Google Scholar] [CrossRef]
- Hsueh, T.J.; Ding, R.Y. A Room Temperature ZnO-NPs/MEMS Ammonia Gas Sensor. Nanomaterials 2022, 12, 3287. [Google Scholar] [CrossRef]
- Fulati, A.; Ali, S.M.U.; Riaz, M.; Amin, G.; Nur, O.; Willander, M. Miniaturized pH Sensors Based on Zinc Oxide Nanotubes/Nanorods. Sensors 2009, 9, 8911–8923. [Google Scholar] [CrossRef]
- Park, S.; Kim, S.; Kheel, H.; Hyun, S.K.; Jin, C.; Lee, C. Enhanced H2S gas sensing performance of networked CuO-ZnO composite nanoparticle sensor. Mater. Res. Bull. 2016, 82, 130–135. [Google Scholar] [CrossRef]
- Zhang, Y.H.; Li, Y.L.; Shen, X.R.; Xie, K.F.; Li, T.Y.; Zhao, J.N.; Jia, Q.J.; Gong, F.L.; Fang, S.M. Rhombic ZnO nanosheets modified with Pd nanoparticles for enhanced ethanol sensing performances: An experimental and DFT investigation. J. Phys. Chem. Solids 2020, 136, 109144. [Google Scholar] [CrossRef]
- Zhang, C.; Sun, D.J.; Huan, Y.C.; Wu, K.D.; Liao, H.L. Highly sensitive ZnO nanoparticles-loaded In2O3 hollow microsphere for detecting ppb-level NO2 at low working temperature. Prog. Nat. Sci. Mater. Int. 2020, 30, 469–476. [Google Scholar] [CrossRef]
- Ayesh, A.I. H2S and SO2 adsorption on Cu doped MoSe2: DFT investigation. Phys. Lett. A. 2022, 422, 127798. [Google Scholar] [CrossRef]
- Upadhyay, S.N.; Pakhira, S. Mechanism of electrochemical oxygen reduction reaction at two-dimensional Pt-doped MoSe2 material: An efficient electrocatalyst. J. Mater. Chem. C. 2021, 9, 11331–11342. [Google Scholar] [CrossRef]
- Zhao, Z.C.; Hu, Z.Q.; Liang, H.Y.; Li, S.D.; Wang, H.T.; Gao, F.; Sang, X.C.; Li, H.S. Nanosized MoSe2@Carbon Matrix: A Stable Host Material for the Highly Reversible Storage of Potassium and Aluminum Ions. ACS Appl. Mater. Interfaces 2019, 11, 44333–44341. [Google Scholar] [CrossRef]
- Jha, R.K.; Nanda, A.; Yadav, A.; Sai, R.; Bhat, N. 2D-MoSe2/0D-ZnO nanocomposite for improved H2S gas sensing in dry air ambience. J. Alloys Compd. 2022, 926, 166825. [Google Scholar] [CrossRef]
- Jain, N.; Puri, N.K. Zinc oxide incorporated molybdenum diselenide nanosheets for chemiresistive detection of ethanol gas. J. Alloys Compd. 2023, 955, 170178. [Google Scholar] [CrossRef]
- Lalmuanchhana; Lalroliana, B.; Tiwari, R.C.; Lalhriatzuala; Madaka, R. Transition metal decorated ZnO monolayer for CO and NO sensing: A DFT plus U study with vdW correction. Appl. Surf. Sci. 2022, 604, 154570. [Google Scholar] [CrossRef]
- Gogurla, N.; Sinha, A.K.; Santra, S.; Manna, S.; Ray, S.K. Multifunctional Au-ZnO Plasmonic Nanostructures for Enhanced UV Photodetector and Room Temperature NO Sensing Devices. Sci. Rep. 2014, 4, 6483. [Google Scholar] [CrossRef] [PubMed]
- Qiao, B.; Zhao, P.F.; Wang, Z.; Xiong, J.; Hu, Y.M.; Yang, S.L.; Xu, H.X.; Gu, H.S. The adsorption of NO onto an Al-doped ZnO monolayer and the effects of applied electric fields: A DFT study. Comput. Theor. Chem. 2020, 1180, 112829. [Google Scholar]
- Qu, Y.F.; Ding, J.J.; Fu, H.W.; Peng, J.H.; Chen, H.X. Adsorption of CO, NO, and NH3 on ZnO monolayer decorated with noble metal (Ag, Au). Appl. Surf. Sci. 2020, 508, 145202. [Google Scholar] [CrossRef]
- Zhai, S.C.; Jiang, X.P.; Wu, D.; Chen, L.; Su, Y.F.; Cui, H.; Wu, F. Single Rh atom decorated pristine and S-defected PdS2 monolayer for sensing thermal runaway gases in a lithium-ion battery: A first-principles study. Surf. Interfaces 2023, 37, 102735. [Google Scholar]
- Hou, W.J.; Mi, H.W.; Peng, R.C.; Peng, S.D.; Zeng, W.; Zhou, Q. First-Principle Insight into Ga-Doped MoS2 for Sensing SO2, SOF2 and SO2F2. Nanomaterials 2021, 11, 314. [Google Scholar] [CrossRef] [PubMed]
- Wu, H.L.; Xia, Y.L.; Zhang, C.M.; Xie, S.J.; Wu, S.Q.; Cui, H. Adsorptions of C5F10O decomposed compounds on the Cu-decorated NiS2 monolayer: A first-principles theory. Mol. Phys. 2023, 121, e2163715. [Google Scholar] [CrossRef]
- Cui, H.; Zhang, X.X.; Zhang, G.Z.; Tang, J. Pd-doped MoS2 monolayer: A promising candidate for DGA in transformer oil based on DFT method. Appl. Surf. Sci. 2019, 470, 1035–1042. [Google Scholar] [CrossRef]
- Zhang, Q.F.; Gui, Y.G.; Qiao, H.; Chen, X.P.; Cao, L.Z. Theoretical study of SF6 decomposition products adsorption on metal oxide cluster-modified single-layer graphene. J. Ind. Eng. Chem. 2022, 105, 278–290. [Google Scholar] [CrossRef]
- Miao, H.Y.; Zhou, Q.X.; Hou, J.; Liu, X.Y.; Ju, W.W.; Yong, Y.L.; Zhao, Z.H.; Wang, Y.J. DFT analysis of the sensitivity of graphene/MoS2 heterostructures toward H2CO. Vacuum 2023, 214, 112182. [Google Scholar] [CrossRef]
- Jiang, T.Y.; Zhang, W.T.; Zhang, T.; Yuan, H.X.; Chen, X.; Bi, M.Q. Theoretical study of dissolved gas molecules in transformer oil adsorbed on Agn (n = 1–3) cluster doped PtO2 monolayer. Chem. Phys. Lett. 2022, 806, 139977. [Google Scholar]
- Liu, Y.P.; Li, L.; Hou, W.J.; Zhou, Q.; Zeng, W. Pristine and Ag decorated In2O3 (110): A gas-sensitive material to selective detect NO2 based on DFT study. J. Mater. Res. Technol. 2022, 18, 4236–4247. [Google Scholar]
- Chen, J.X.; Zhou, Q.; Jia, L.F.; Cui, X.S.; Zeng, W. The gas-sensing mechanism of Pt3 cluster doped SnS2 monolayer for SF6 decomposition: A DFT study. Appl. Surf. Sci. 2022, 597, 153693. [Google Scholar]
- Liao, Y.M.; Zhou, Q.; Hou, W.J.; Li, J.; Zeng, W. Theoretical study of dissolved gas molecules in transformer oil adsorbed on intrinsic and Cr-doped InP3 monolayer. Appl. Surf. Sci. 2021, 561, 149816. [Google Scholar] [CrossRef]
- Wang, Z.H.; Zhang, R.S.; Liu, Z.Y.; Wei, X.S.; Zhao, M.T.; Zhang, X.H.; Yong, Y.L.; Cui, H.L.; Li, X.L. C6N7 monolayer as an innovative sensor and scavenger for NO, H2S and SO2: A first-principles study. Surf. Interfaces 2023, 39, 102971. [Google Scholar]
- Liu, H.C.; Wang, F.P.; Hu, K.L.; Li, T.; Yan, Y.Y.; Li, J. The Adsorption and Sensing Performances of Ir-modified MoS2 Monolayer toward SF6 Decomposition Products: A DFT Study. Nanomaterials 2021, 11, 100. [Google Scholar] [CrossRef]
- Nihal; Sharma, R.; Kaur, N.; Choudhary, B.C.; Goswamy, J.K. DFT based comparative study of pristine gCN and gCN-ZnO composite as a sensor for CO and CO2 gases. Mater. Lett. 2022, 324, 132649. [Google Scholar] [CrossRef]
- Zhang, Y.Z.; Sun, X.; Tan, S.; Liu, T.; Cui, H. Adsorption characteristic of Rh-doped MoSe2 monolayer towards H2 and C2H2 for DGA in transformer oil based on DFT method. Appl. Surf. Sci. 2019, 487, 930–937. [Google Scholar]
- Liu, B.; Yuan, Y.; Gong, Y.; Zhou, R.; Li, P.; Cui, H. Adsorption and sensing of dissolved gas molecules in transformer oil on Rh-doped MoTe2 monolayer: A first-principles study. Comput. Theor. Chem. 2023, 1225, 114149. [Google Scholar] [CrossRef]
- Qian, G.C.; Peng, Q.J.; Zou, D.X.; Wang, S.; Yan, B.; Zhou, Q. First-Principles Insight Into Au-Doped MoS2 for Sensing C2H6 and C2H4. Front. Mater. 2020, 7, 22. [Google Scholar]
- Aghaei, S.M.; Monshi, M.M.; Torres, I.; Zeidi, S.M.J.; Calizo, I. DFT study of adsorption behavior of NO, CO, NO2, and NH3 molecules on graphene-like BC3: A search for highly sensitive molecular sensor. Appl. Surf. Sci. 2018, 427, 326–333. [Google Scholar]
- Zhang, X.X.; Yu, L.; Wu, X.Q.; Hu, W.H. Experimental Sensing and Density Functional Theory Study of H2S and SOF2 Adsorption on Au-Modified Graphene. Adv.Sci. 2015, 2, 1500101. [Google Scholar] [CrossRef]
- Sun, H.; Tao, L.Q.; Li, T.; Gao, X.; Sang, T.Y.; Li, Y.B.; Wei, Y.G.; Wang, G.Y.; Peng, Z.R.; Gui, Y.G.; et al. TiO2-Doped GeSe Monolayer: A highly selective gas sensor for SF6 decomposed species detection based on DFT method. Appl. Surf. Sci. 2022, 572, 151212. [Google Scholar] [CrossRef]
- Sang, T.Y.; Li, T.; Wang, S.J.; Xu, H.J.; Hu, X.Q.; Yang, Y.H.; Zhang, Z.X.; Song, R.M.; Wang, Z.Y.; Tian, H.Y.; et al. nTiO2 cluster (n = 3) modified GaNNT: A potential candidate for online monitoring for oil-immersed transformers. Appl. Surf. Sci. 2023, 607, 154811. [Google Scholar]
- Li, F.; Chen, F.; Cui, H.; Jiang, X.P. Pristine and Ni-doped WTe2 monolayer for adsorption and sensing of C2H2 and C2H4 in oil-immersed transformers: A DFT study. Comput. Theor. Chem. 2023, 1226, 114187. [Google Scholar] [CrossRef]












| Model | MoSe2 | ZnO | MoSe2/ZnO Heterojunctions | Lattice Mismatch Rate | |
|---|---|---|---|---|---|
| Lattice Constant | |||||
| a | 9.9668 Å | 9.7478 Å | 9.8573 Å | 2% | |
| b | 9.9668 Å | 9.7478 Å | 9.8573 Å | 2% | |
| γ | 120° | 117° | 118.5° | 3% | |
| Systems | Eads (eV) | Q (e) | Adsorption Distance (Å) | Bond Length (Å) | Bond Angle (°) | |
|---|---|---|---|---|---|---|
| Ag-MoSe2/ZnO/H2 | −0.05 | 0.06 | 2.056 | 0.779 (H-H) | - | |
| Ag-MoSe2/ZnO/CH4 | −0.16 | 0.01 | 2.740 | 1.102 (C-H) | 108.025 (H-C-H) | |
| Ag-MoSe2/ZnO/CO2 | −0.09 | −0.02 | 3.248 | 1.175 (C-O) | - | |
| Ag-MoSe2/ZnO/NO | −1.06 | −0.13 | 2.115 | 1.195 (N-O) | - | |
| Ag-MoSe2/ZnO/CO | −1.01 | 0.05 | 2.010 | 1.181 (C-O) | - | |
| Ag-MoSe2/ZnO/C2H4 | −1.07 | 0.09 | 2.250 | 1.380 (C-C) | 1.095 (C-H) | 121.248 (H-C-H) |
Disclaimer/Publisher’s Note: The statements, opinions and data contained in all publications are solely those of the individual author(s) and contributor(s) and not of MDPI and/or the editor(s). MDPI and/or the editor(s) disclaim responsibility for any injury to people or property resulting from any ideas, methods, instructions or products referred to in the content. |
© 2023 by the authors. Licensee MDPI, Basel, Switzerland. This article is an open access article distributed under the terms and conditions of the Creative Commons Attribution (CC BY) license (https://creativecommons.org/licenses/by/4.0/).
Share and Cite
He, T.; Liu, H.; Zhang, J.; Yang, Y.; Jiang, Y.; Zhang, Y.; Feng, J.; Hu, K. Ag-Doped MoSe2/ZnO Heterojunctions: A Highly Responsive Gas-Sensitive Material for Selective Detection of NO Based on DFT Study. Nanomaterials 2023, 13, 2510. https://doi.org/10.3390/nano13182510
He T, Liu H, Zhang J, Yang Y, Jiang Y, Zhang Y, Feng J, Hu K. Ag-Doped MoSe2/ZnO Heterojunctions: A Highly Responsive Gas-Sensitive Material for Selective Detection of NO Based on DFT Study. Nanomaterials. 2023; 13(18):2510. https://doi.org/10.3390/nano13182510
Chicago/Turabian StyleHe, Tao, Hongcheng Liu, Jing Zhang, Yuepeng Yang, Yuxiao Jiang, Ying Zhang, Jiaqi Feng, and Kelin Hu. 2023. "Ag-Doped MoSe2/ZnO Heterojunctions: A Highly Responsive Gas-Sensitive Material for Selective Detection of NO Based on DFT Study" Nanomaterials 13, no. 18: 2510. https://doi.org/10.3390/nano13182510
APA StyleHe, T., Liu, H., Zhang, J., Yang, Y., Jiang, Y., Zhang, Y., Feng, J., & Hu, K. (2023). Ag-Doped MoSe2/ZnO Heterojunctions: A Highly Responsive Gas-Sensitive Material for Selective Detection of NO Based on DFT Study. Nanomaterials, 13(18), 2510. https://doi.org/10.3390/nano13182510

