Enhanced Sunlight-Powered Photocatalysis and Methanol Oxidation Activities of Co3O4-Embedded Polymeric Carbon Nitride Nanostructures
Abstract
:1. Introduction
2. Materials Section
2.1. Materials
2.2. Synthesis of CN-CO Nanostructure
3. Results and Discussion
3.1. Description of CN, CO and CN-CO Nanostructure
3.1.1. Phase Structure
3.1.2. Morphological Structure and Composition
3.1.3. XPS Studies
3.1.4. DRS Spectra
3.1.5. Photocatalytic Activity
3.1.6. Confirmation of Charge Transfer through j-t, EIS, PL Analysis and Scavenger Test
3.1.7. Photocatalytic Mechanism
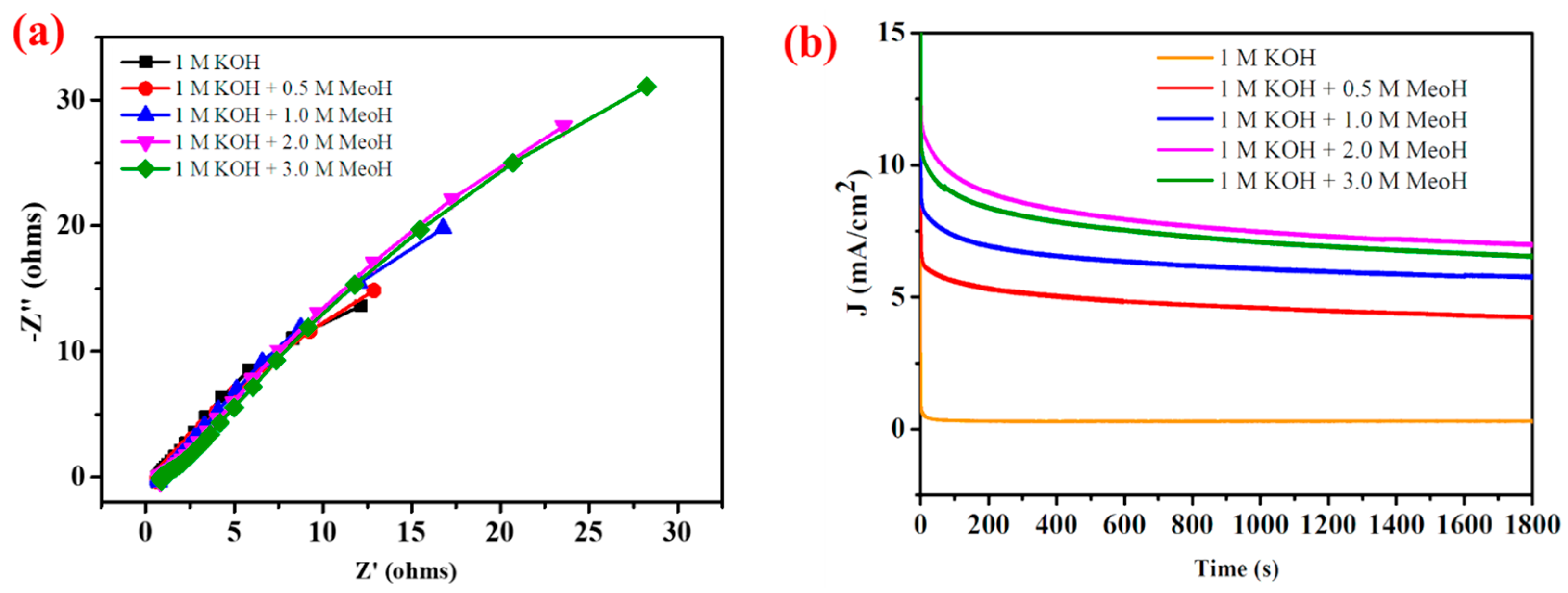
3.1.8. Electrocatalytic Methanol Oxidation
4. Conclusions
Supplementary Materials
Author Contributions
Funding
Institutional Review Board Statement
Informed Consent Statement
Data Availability Statement
Conflicts of Interest
References
- Al-Tohamy, R.; Ali, S.S.; Li, F.; Okasha, K.M.; Mahmoud, Y.A.-G.; Elsamahy, T.; Jiao, H.; Fu, Y.; Sun, J. A critical review on the treatment of dye-containing wastewater: Ecotoxicological and health concerns of textile dyes and possible remediation approaches for environmental safety. Ecotoxicol. Environ. Saf. 2022, 231, 113160. [Google Scholar] [CrossRef] [PubMed]
- Baral, A.; Das, D.P.; Minakshi, M.; Ghosh, M.K.; Padhi, D.K. Probing Environmental Remediation of RhB Organic Dye Using α-MnO2 under Visible-Light Irradiation: Structural, Photocatalytic and Mineralization Studies. ChemistrySelect 2016, 1, 4277–4285. [Google Scholar] [CrossRef]
- Oladoye, P.O.; Ajiboye, T.O.; Omotola, E.O.; Oyewola, O.J. Methylene blue dye: Toxicity and potential elimination technology from wastewater. Results Eng. 2022, 16, 100678. [Google Scholar] [CrossRef]
- Alsukaibi, A.K.D. Various Approaches for the Detoxification of Toxic Dyes in Wastewater. Processes 2022, 10, 1968. [Google Scholar] [CrossRef]
- Zhao, H.; Mao, Q.; Jian, L.; Dong, Y.; Zhu, Y. Photodeposition of earth-abundant cocatalysts in photocatalytic water splitting: Methods, functions, and mechanisms. Chin. J. Catal. 2022, 43, 1774–1804. [Google Scholar] [CrossRef]
- Palani, G.; Apsari, R.; Hanafiah, M.M.; Venkateswarlu, K.; Lakkaboyana, S.K.; Kannan, K.; Shivanna, A.T.; Idris, A.M.; Yadav, C.H. Metal-Doped Graphitic Carbon Nitride Nanomaterials for Photocatalytic Environmental Applications—A Review. Nanomaterials 2022, 12, 1754. [Google Scholar] [CrossRef] [PubMed]
- Sharma, P.; Minakshi Sundaram, M.; Watcharatharapong, T.; Laird, D.; Euchner, H.; Ahuja, R. Zn Metal Atom Doping on the Surface Plane of One-Dimesional NiMoO4 Nanorods with Improved Redox Chemistry. ACS Appl. Mater. Interfaces 2020, 12, 44815–44829. [Google Scholar] [CrossRef]
- Luo, Z.; Liu, C.; Fan, S. A moisture induced self-charging device for energy harvesting and storage. Nano Energy 2019, 60, 371–376. [Google Scholar] [CrossRef]
- Liu, J.; Wang, S.-L.; Xuan, J.-L.; Shan, B.-F.; Luo, H.; Deng, L.-P.; Yang, P.; Qi, C.-Z. Preparation of tungsten–iron composite oxides and application in environmental catalysis for volatile organic compounds degradation. Tungsten 2022, 4, 38–51. [Google Scholar] [CrossRef]
- Yuan, H.; Mei, J.-H.; Gong, Y.-N.; Zhong, D.-C.; Lu, T.-B. Cobalt-based heterogeneous catalysts for photocatalytic carbon dioxide reduction. Tungsten 2023, 1–12. [Google Scholar] [CrossRef]
- Belekbir, S.; El Azzouzi, M.; Rodríguez-Lorenzo, L.; El Hamidi, A.; Santaballa, J.A.; Canle, M. Cobalt Impregnation on Titania Photocatalysts Enhances Vis Phenol Photodegradation. Materials 2023, 16, 4134. [Google Scholar] [CrossRef] [PubMed]
- Saeed, M.; Alwadai, N.; Ben Farhat, L.; Baig, A.; Nabgan, W.; Iqbal, M. Co3O4-Bi2O3 heterojunction: An effective photocatalyst for photodegradation of rhodamine B dye. Arab. J. Chem. 2022, 15, 103732. [Google Scholar] [CrossRef]
- Ahmad, S.O.A.; Ikram, M.; Imran, M.; Naz, S.; Ul-Hamid, A.; Haider, A.; Shahzadi, A.; Haider, J. Novel prism shaped C3N4-doped Fe@ Co3O4 nanocomposites and their dye degradation and bactericidal potential with molecular docking study. RSC Adv. 2021, 11, 23330–23344. [Google Scholar] [CrossRef] [PubMed]
- Singh, P.P.; Srivastava, V. Recent advances in visible-light graphitic carbon nitride (g-C3N4) photocatalysts for chemical transformations. RSC Adv. 2022, 12, 18245–18265. [Google Scholar] [CrossRef] [PubMed]
- Zheng, Y.; Zhang, Z.; Li, C. A comparison of graphitic carbon nitrides synthesized from different precursors through pyrolysis. J. Photochem. Photobiol. A Chem. 2017, 332, 32–44. [Google Scholar] [CrossRef]
- Sewnet, A.; Abebe, M.; Asaithambi, P.; Alemayehu, E. Visible-Light-Driven g-C3N4/TiO2 Based Heterojunction Nanocomposites for Photocatalytic Degradation of Organic Dyes in Wastewater: A Review. Air Soil Water Res. 2022, 15, 11786221221117266. [Google Scholar] [CrossRef]
- Sohail, M.; Anwar, U.; Taha, T.A.; Qazi, H.I.A.; Al-Sehemi, A.G.; Ullah, S.; Algarni, H.; Ahmed, I.M.; Amin, M.A.; Palamanit, A.; et al. Nanostructured materials based on g-C3N4 for enhanced photocatalytic activity and potentials application: A review. Arab. J. Chem. 2022, 15, 104070. [Google Scholar] [CrossRef]
- Mohammad, A.; Khan, M.E.; Karim, M.R.; Cho, M.H. Synergistically effective and highly visible light responsive SnO2-g-C3N4 nanostructures for improved photocatalytic and photoelectrochemical performance. Appl. Surf. Sci. 2019, 495, 143432. [Google Scholar] [CrossRef]
- Jin, C.; Wang, M.; Li, Z.; Kang, J.; Zhao, Y.; Han, J.; Wu, Z. Two dimensional Co3O4/g-C3N4 Z-scheme heterojunction: Mechanism insight into enhanced peroxymonosulfate-mediated visible light photocatalytic performance. Chem. Eng. J. 2020, 398, 125569. [Google Scholar] [CrossRef]
- Ni, T.; Zhang, H.; Yang, Z.; Zhou, L.; Pan, L.; Li, C.; Yang, Z.; Liu, D. Enhanced adsorption and catalytic degradation of antibiotics by porous 0D/3D Co3O4/g-C3N4 activated peroxymonosulfate: An experimental and mechanistic study. J. Colloid Interface Sci. 2022, 625, 466–478. [Google Scholar] [CrossRef]
- Li, S.; Tang, Y.; Wang, M.; Kang, J.; Jin, C.; Liu, J.; Li, Z.; Zhu, J. NiO/g-C3N4 2D/2D heterojunction catalyst as efficient peroxymonosulfate activators toward tetracycline degradation: Characterization, performance and mechanism. J. Alloys Compd. 2021, 880, 160547. [Google Scholar] [CrossRef]
- Wang, X.; Jiang, J.; Ma, Y.; Song, Y.; Li, T.; Dong, S. Tetracycline hydrochloride degradation over manganese cobaltate (MnCo2O4) modified ultrathin graphitic carbon nitride (g-C3N4) nanosheet through the highly efficient activation of peroxymonosulfate under visible light irradiation. J. Colloid Interface Sci. 2021, 600, 449–462. [Google Scholar] [CrossRef] [PubMed]
- Sekhar, M.C.; Kumar, N.S.; Asif, M.; Vattikuti, S.V.P.; Shim, J. Enhancing Electrochemical Performance with g-C3N4/CeO2 Binary Electrode Material. Molecules 2023, 28, 2489. [Google Scholar] [CrossRef] [PubMed]
- Xue, J.; Bao, J. Interfacial charge transfer of heterojunction photocatalysts: Characterization and calculation. Surf. Interfaces 2021, 25, 101265. [Google Scholar] [CrossRef]
- Ding, Y.; Wang, C.; Pei, L.; Maitra, S.; Mao, Q.; Zheng, R.; Liu, M.; Ng, Y.H.; Zhong, J.; Chen, L.-H. Emerging heterostructured C3N4 photocatalysts for photocatalytic environmental pollutant elimination and sterilization. Inorg. Chem. Front. 2023, 10, 3756–3780. [Google Scholar] [CrossRef]
- Kavil, J.; Anjana, P.M.; Joshy, D.; Babu, A.; Raj, G.; Periyat, P.; Rakhi, R.B. gC3N4/CuO and gC3N4/Co3O4 nanohybrid structures as efficient electrode materials in symmetric supercapacitors. RSC Adv. 2019, 9, 38430–38437. [Google Scholar] [CrossRef]
- Sanad, M.M.; Taha, T.A.; Helal, A.; Mahmoud, M.H. Rational optimization of g-C3N4/Co3O4 nanocomposite for enhanced photodegradation of Rhodamine B dye under visible light. Environ. Sci. Pollut. Res. 2023, 30, 60225–60239. [Google Scholar] [CrossRef]
- Guo, Y.; Liu, W.; Duan, W.; Wang, S.; Jia, L.; Zhang, G.; Zhu, B.; Huang, W.; Zhang, S. Constructing Co3O4/g-C3N4 Ultra-Thin Nanosheets with Z-Scheme Charge Transfer Pathway for Efficient Photocatalytic Water Splitting. Nanomaterials 2021, 11, 3341. [Google Scholar] [CrossRef]
- Yu, F.; Li, Y.; Liu, Z.; Cui, J.; Zhou, Y. Synthesis and Photocatalytic Properties of Na Doped g-C3N4 Nanotubes. Chin. J. Rare Met. 2022, 46, 889–895. [Google Scholar]
- Wu, J.; Hua, W.; Yue, Y.; Gao, Z. g-C3N4 modified Co3O4 as efficient catalysts for aerobic oxidation of benzyl alcohol. React. Kinet. Mech. Catal. 2019, 128, 109–120. [Google Scholar] [CrossRef]
- Cao, Q.; Li, Q.; Pi, Z.; Zhang, J.; Sun, L.-W.; Xu, J.; Cao, Y.; Cheng, J.; Bian, Y. Metal–Organic-Framework-Derived Ball-Flower-like Porous Co3O4/Fe2O3 Heterostructure with Enhanced Visible-Light-Driven Photocatalytic Activity. Nanomaterials 2022, 12, 904. [Google Scholar] [CrossRef] [PubMed]
- Samal, R.; Dash, B.; Sarangi, C.K.; Sanjay, K.; Subbaiah, T.; Senanayake, G.; Minakshi, M. Influence of Synthesis Temperature on the Growth and Surface Morphology of Co3O4 Nanocubes for Supercapacitor Applications. Nanomaterials 2017, 7, 356. [Google Scholar] [CrossRef] [PubMed]
- Cao, Q.; Hao, S.; Wu, Y.; Pei, K.; You, W.; Che, R. Interfacial charge redistribution in interconnected network of Ni2P–Co2P boosting electrocatalytic hydrogen evolution in both acidic and alkaline conditions. Chem. Eng. J. 2021, 424, 130444. [Google Scholar] [CrossRef]
- Cai, H.; Han, D.; Wang, X.; Cheng, X.; Liu, J.; Jia, L.; Ding, Y.; Liu, S.; Fan, X. High specific surface area defective g-C3N4 nanosheets with enhanced photocatalytic activity prepared by using glyoxylic acid mediated melamine. Mater. Chem. Phys. 2020, 256, 123755. [Google Scholar] [CrossRef]
- Jubu, P.R.; Obaseki, O.S.; Nathan-Abutu, A.; Yam, F.K.; Yusof, Y.; Ochang, M.B. Dispensability of the conventional Tauc’s plot for accurate bandgap determination from UV–vis optical diffuse reflectance data. Results Opt. 2022, 9, 100273. [Google Scholar] [CrossRef]
- Yang, K.; Zhang, H.; Liu, T.; Xiang, D.; Li, Y.; Jin, Z. Tailoring of efficient electron-extracting system: S-scheme g-C3N4/CoTiO3 heterojunction modified with Co3O4 quantum dots for photocatalytic hydrogen evolution. J. Electroanal. Chem. 2022, 922, 116749. [Google Scholar] [CrossRef]
- Zhao, X.; Lu, Z.; Ji, R.; Zhang, M.; Yi, C.; Yan, Y. Biomass carbon modified Z-scheme g-C3N4/Co3O4 heterojunction with enhanced visible-light photocatalytic activity. Catal. Commun. 2018, 112, 49–52. [Google Scholar] [CrossRef]
- Wu, H.; Li, C.; Che, H.; Hu, H.; Hu, W.; Liu, C.; Ai, J.; Dong, H. Decoration of mesoporous Co3O4 nanospheres assembled by monocrystal nanodots on g-C3N4 to construct Z-scheme system for improving photocatalytic performance. Appl. Surf. Sci. 2018, 440, 308–319. [Google Scholar] [CrossRef]












Disclaimer/Publisher’s Note: The statements, opinions and data contained in all publications are solely those of the individual author(s) and contributor(s) and not of MDPI and/or the editor(s). MDPI and/or the editor(s) disclaim responsibility for any injury to people or property resulting from any ideas, methods, instructions or products referred to in the content. |
© 2023 by the authors. Licensee MDPI, Basel, Switzerland. This article is an open access article distributed under the terms and conditions of the Creative Commons Attribution (CC BY) license (https://creativecommons.org/licenses/by/4.0/).
Share and Cite
Vattikuti, S.V.P.; Goud, J.P.; Rosaiah, P.; Prasad, P.R.; Tighezza, A.M.; Shim, J. Enhanced Sunlight-Powered Photocatalysis and Methanol Oxidation Activities of Co3O4-Embedded Polymeric Carbon Nitride Nanostructures. Nanomaterials 2023, 13, 2508. https://doi.org/10.3390/nano13182508
Vattikuti SVP, Goud JP, Rosaiah P, Prasad PR, Tighezza AM, Shim J. Enhanced Sunlight-Powered Photocatalysis and Methanol Oxidation Activities of Co3O4-Embedded Polymeric Carbon Nitride Nanostructures. Nanomaterials. 2023; 13(18):2508. https://doi.org/10.3390/nano13182508
Chicago/Turabian StyleVattikuti, Surya Veerendra Prabhakar, J. Pundareekam Goud, P. Rosaiah, P. Reddy Prasad, Ammar M. Tighezza, and Jaesool Shim. 2023. "Enhanced Sunlight-Powered Photocatalysis and Methanol Oxidation Activities of Co3O4-Embedded Polymeric Carbon Nitride Nanostructures" Nanomaterials 13, no. 18: 2508. https://doi.org/10.3390/nano13182508
APA StyleVattikuti, S. V. P., Goud, J. P., Rosaiah, P., Prasad, P. R., Tighezza, A. M., & Shim, J. (2023). Enhanced Sunlight-Powered Photocatalysis and Methanol Oxidation Activities of Co3O4-Embedded Polymeric Carbon Nitride Nanostructures. Nanomaterials, 13(18), 2508. https://doi.org/10.3390/nano13182508

