Coherent Spin Dynamics of Electrons in CsPbBr3 Perovskite Nanocrystals at Room Temperature
Abstract
:1. Introduction
2. Materials and Methods
2.1. Samples
2.2. Photoluminescence and Optical Transmission
2.3. Time-Resolved Faraday Rotation
2.4. Time-Resolved Differential Transmission
3. Results and Discussion
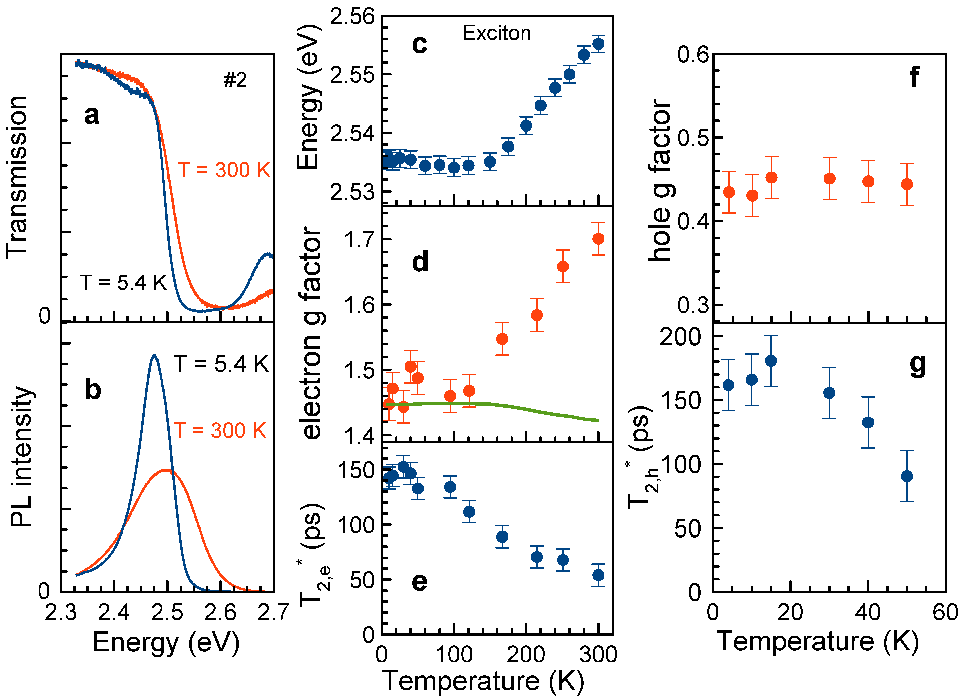
3.1. Photoluminescence and Transmission
3.2. Time-Resolved Faraday Rotation
3.3. Differential Transmission and Optical Orientation Dynamics
4. Conclusions
Supplementary Materials
Author Contributions
Funding
Data Availability Statement
Acknowledgments
Conflicts of Interest
References
- Jena, A.K.; Kulkarni, A.; Miyasaka, T. Halide perovskite photovoltaics: Background, status, and future prospects. Chem. Rev. 2019, 5, 3036–3103. [Google Scholar] [CrossRef]
- Vinattieri, A.; Giorgi, G. (Eds.) Halide Perovskites for Photonics; AIP Publishing: Melville, NY, USA, 2021. [Google Scholar]
- Vardeny, Z.V.; Beard, M.C. (Eds.) Hybrid Organic Inorganic Perovskites: Physical Properties and Applications; World Scientific: Singapore, 2022. [Google Scholar]
- Wang, J.; Zhang, C.; Liu, H.; McLaughlin, R.; Zhai, Y.; Vardeny, S.R.; Liu, X.; McGill, S.; Semenov, D.; Guo, H.; et al. Spin-optoelectronic devices based on hybrid organic-inorganic trihalide perovskites. Nat. Commun. 2019, 10, 129. [Google Scholar] [CrossRef]
- Ning, W.; Bao, J.; Puttisong, Y.; Moro, F.; Kobera, L.; Shimono, S.; Wang, L.; Ji, F.; Cuartero, M.; Kawaguchi, S.; et al. Magnetizing lead free halide double perovskites. Sci. Adv. 2020, 6, eabb5381. [Google Scholar] [CrossRef]
- Kim, Y.-H.; Zhai, Y.; Lu, H.; Pan, X.; Xiao, C.; Gaulding, E.A.; Harvey, S.P.; Berry, J.J.; Vardeny, Z.V.; Luther, J.M.; et al. Chiral-induced spin selectivity enables a room-temperature spin light-emitting diode. Science 2021, 371, 1129. [Google Scholar] [CrossRef]
- Kovalenko, M.V.; Protesescu, L.; Bondarchuk, M.I. Properties and potential optoelectronic applications of lead halide perovskite nanocrystals. Science 2017, 358, 745–750. [Google Scholar] [CrossRef]
- Efros, A.L.; Brus, L.E. Nanocrystal quantum dots: From discovery to modern development. ACS Nano 2021, 15, 6192–6210. [Google Scholar] [CrossRef]
- Meier, F.; Zakharchenya, B.P. (Eds.) Optical Orientation; North Holland: Amsterdam, The Netherlands, 1984. [Google Scholar]
- Dyakonov, M.I. (Ed.) Spin Physics in Semiconductors; Springer International Publishing AG: Berlin/Heidelberg, Germany, 2017. [Google Scholar]
- Giovanni, D.; Ma, H.; Chua, J.; Grätzel, M.; Ramesh, R.; Mhaisalkar, S.; Mathews, N.; Sum, T.C. Highly spin-polarized carrier dynamics and ultralarge photoinduced magnetization in CH3NH3PbI3 perovskite thin films. Nano Lett. 2015, 15, 1553–1558. [Google Scholar] [CrossRef]
- Nestoklon, M.O.; Goupalov, S.V.; Dzhioev, R.I.; Ken, O.S.; Korenev, V.L.; Kusrayev, Y.G.; Sapega, V.F.; de Weerd, C.; Gomez, L.; Gregorkiewicz, T.; et al. Optical orientation and alignment of excitons in ensembles of inorganic perovskite nanocrystals. Phys. Rev. B 2018, 97, 235304. [Google Scholar] [CrossRef]
- Kopteva, N.E.; Yakovlev, D.R.; Yalcin, E.; Akimov, I.A.; Nestoklon, M.O.; Glazov, M.M.; Kotur, M.; Kudlacik, D.; Zhukov, E.A.; Kirstein, E.; et al. Giant optical orientation of exciton spins in lead halide perovskite crystals. arXiv 2023, arXiv:2305.10875. [Google Scholar]
- Zhang, C.; Sun, D.; Sheng, C.X.; Zhai, Y.X.; Mielczarek, K.; Zakhidov, A.; Vardeny, Z.V. Magnetic field effects in hybrid perovskite devices. Nat. Phys. 2015, 11, 427. [Google Scholar] [CrossRef]
- Zhang, C.; Sun, D.; Yu, Z.-G.; Sheng, C.-X.; McGill, S.; Semenov, D.; Vardeny, Z.V. Field-induced spin splitting and anomalous photoluminescence circular polarization in CH3NH3PbI3 films at high magnetic field. Phys. Rev. B 2018, 97, 134412. [Google Scholar] [CrossRef]
- Canneson, D.; Shornikova, E.V.; Yakovlev, D.R.; Rogge, T.; Mitioglu, A.A.; Ballottin, M.V.; Christianen, P.C.M.; Lhuillier, E.; Bayer, M.; Biadala, L. Negatively charged and dark excitons in CsPbBr3 perovskite nanocrystals revealed by high magnetic fields. Nano Lett. 2017, 17, 6177–6183. [Google Scholar] [CrossRef] [PubMed]
- Odenthal, P.; Talmadge, W.; Gundlach, N.; Wang, R.; Zhang, C.; Sun, D.; Yu, Z.-G.; Vardeny, V.Z.; Li, Y.S. Spin-polarized exciton quantum beating in hybrid organic–inorganic perovskites. Nat. Phys. 2017, 13, 894. [Google Scholar] [CrossRef]
- Belykh, V.V.; Yakovlev, D.R.; Glazov, M.M.; Grigoryev, P.S.; Hussain, M.; Rautert, J.; Dirin, D.N.; Kovalenko, M.V.; Bayer, M. Coherent spin dynamics of electrons and holes in CsPbBr3 perovskite crystals. Nat. Commun. 2019, 10, 673. [Google Scholar] [CrossRef]
- Strohmair, S.; Dey, A.; Tong, Y.; Polavarapu, L.; Bohn, B.J.; Feldmann, J. Spin polarization dynamics of free charge carriers in CsPbI3 nanocrystals. Nano Lett. 2020, 20, 4724–4730. [Google Scholar] [CrossRef]
- Zhou, M.; Sarmiento, J.S.; Fei, C.; Zhang, X.; Wang, H. Effect of composition on the spin relaxation of lead halide perovskites. J. Phys. Chem. Lett. 2020, 11, 1502–1507. [Google Scholar] [CrossRef]
- Kirstein, E.; Yakovlev, D.R.; Glazov, M.M.; Zhukov, E.A.; Kudlacik, D.; Kalitukha, I.V.; Sapega, V.F.; Dimitriev, G.S.; Semina, M.A.; Nestoklon, M.O.; et al. The Landé factors of electrons and holes in lead halide perovskites: Universal dependence on the band gap. Nat. Commun. 2022, 13, 3062. [Google Scholar] [CrossRef]
- Harkort, C.; Kudlacik, D.; Kopteva, N.E.; Yakovlev, D.R.; Karzel, M.; Kirstein, E.; Hordiichuk, O.; Kovalenko, M.V.; Bayer, M. Spin-flip Raman scattering on electrons and holes in two-dimensional (PEA)2PbI4 perovskites. Small 2023, 19, 2300988. [Google Scholar] [CrossRef]
- Kirstein, E.; Yakovlev, D.R.; Glazov, M.M.; Evers, E.; Zhukov, E.A.; Belykh, V.V.; Kopteva, N.E.; Kudlacik, D.; Nazarenko, O.; Dirin, D.N.; et al. Lead-dominated hyperfine interaction impacting the carrier spin dynamics in halide perovskites. Adv. Mater. 2022, 34, 2105263. [Google Scholar] [CrossRef]
- Belykh, V.V.; Skorikov, M.L.; Kulebyakina, E.V.; Kolobkova, E.V.; Kuznetsova, M.S.; Glazov, M.M.; Yakovlev, D.R. Submillisecond spin relaxation in CsPb(Cl,Br)3 perovskite nanocrystals in a glass matrix. Nano Lett. 2022, 22, 4583–4588. [Google Scholar] [CrossRef]
- Kirstein, E.; Kopteva, N.E.; Yakovlev, D.R.; Zhukov, E.A.; Kolobkova, E.V.; Kuznetsova, M.S.; Belykh, V.V.; Yugova, I.A.; Glazov, M.M.; Bayer, M.; et al. Mode locking of hole spin coherences in CsPb(Cl,Br)3 perovskite nanocrystals. Nat. Commun. 2023, 14, 699. [Google Scholar] [CrossRef]
- Grigoryev, P.S.; Belykh, V.V.; Yakovlev, D.R.; Lhuillier, E.; Bayer, M. Coherent spin dynamics of electrons and holes in CsPbBr3 colloidal nanocrystals. Nano Lett. 2021, 21, 8481–8487. [Google Scholar] [CrossRef] [PubMed]
- Crane, M.J.; Jacoby, L.M.; Cohen, T.A.; Huang, Y.; Luscombe, C.K.; Gamelin, D.R. Coherent spin precession and lifetime-limited spin dephasing in CsPbBr3 perovskite nanocrystals. Nano Lett. 2020, 20, 8626–8633. [Google Scholar] [CrossRef]
- Lin, X.; Han, Y.; Zhu, J.; Wu, K. Room-temperature coherent optical manipulation of hole spins in solution-grown, perovskite quantum dots. Nat. Nanotechnol. 2022, 18, 124. [Google Scholar] [CrossRef]
- Kopteva, N.E.; Yakovlev, D.R.; Kirstein, E.; Zhukov, E.A.; Kudlacik, D.; Kalitukha, I.V.; Sapega, V.F.; Dirin, D.N.; Kovalenko, M.V.; Baumann, A.; et al. Weak dispersion of exciton Landè factor with band gap energy in lead halide perovskites: Approximate compensation of the electron and hole dependences. arXiv 2023, arXiv:2301.12775. [Google Scholar]
- Nestoklon, M.O.; Kirstein, E.; Yakovlev, D.R.; Zhukov, E.A.; Glazov, M.M.; Semina, M.A.; Ivchenko, E.L.; Kolobkova, E.V.; Kuznetsova, M.S.; Bayer, M. Tailoring the electron and hole Lande factors in lead halide perovskite nanocrystals by quantum confinement and halide exchange. arXiv 2023, arXiv:2305.10586. [Google Scholar]
- Oestreich, M.; Rühle, W.W. Temperature dependence of the electron Landè g-factor in GaAs. Phys. Rev. Lett. 1995, 74, 2315. [Google Scholar] [CrossRef] [PubMed]
- Oestreich, M.; Hallstein, S.; Heberle, A.P.; Eberl, K.; Bauser, E.; Rühle, W.W. Temperature and density dependence of the electron Landè g factor in semiconductors. Phys. Rev. B 1996, 53, 7911. [Google Scholar] [CrossRef]
- Zawadzki, W.; Pfeffer, P.; Bratschitsch, R.; Chen, Z.; Cundiff, S.T.; Murdin, B.N.; Pidgeon, C.R. Temperature dependence of the electron spin g factor in GaAs. Phys. Rev. B 2008, 78, 245203. [Google Scholar] [CrossRef]
- Hübner, J.; Döhrmann, S.; Hägele, D.; Oestreich, M. Temperature-dependent electron Landè g factor and the interband matrix element of GaAs. Phys. Rev. B 2009, 79, 193307. [Google Scholar] [CrossRef]
- Akkerman, Q.A.; Nguyen, T.P.T.; Boehme, S.C.; Montanarella, F.; Dirin, D.N.; Wechsler, P.; Beiglböck, F.; Rainò, G.; Erni, R.; Katan, C.; et al. Controlling the nucleation and growth kinetics of lead halide perovskite quantum dots. Science 2022, 377, 1406–1412. [Google Scholar]
- Bujalance, C.; Caliò, L.; Dirin, D.N.; Tiede, D.O.; Galisteo-López, J.F.; Feist, J.; García-Vidal, F.J.; Kovalenko, M.V.; Míguez, H. Strong light-matter coupling in lead halide perovskite quantum dot solids. arXiv 2023, arXiv:2306.10884. [Google Scholar]
- Yakovlev, D.R.; Bayer, M. Coherent spin dynamics of carriers. In Spin Physics in Semiconductors; Dyakonov, M.I., Ed.; Springer International Publishing AG: Berlin/Heidelberg, Germany, 2017; Chapter 6; pp. 155–206. [Google Scholar]
- Garcia-Arellano, G.; Trippé-Allard, G.; Legrand, L.; Barisien, T.; Garrot, D.; Deleporte, E.; Bernardot, F.; Testelin, C.; Chamarro, M. Energy tuning of electronic spin coherent evolution in methylammonium lead iodide perovskites. J. Phys. Chem. Lett. 2021, 12, 8272. [Google Scholar]
- Yakovlev, D.R.; Crooker, S.A.; Semina, M.A.; Rautert, J.; Mund, J.; Dirin, D.N.; Kovalenko, M.V.; Bayer, M. Exciton-polaritons in CsPbBr3 crystals revealed by optical reflectivity in high magnetic fields and two-photon spectroscopy. arXiv 2023, arXiv:2307.07035. [Google Scholar]
- Yang, Z.; Surrente, A.; Galkowski, K.; Miyata, A.; Portugall, O.; Sutton, R.J.; Haghighirad, A.A.; Snaith, H.J.; Maude, D.K.; Plochocka, P.; et al. Impact of the halide cage on the electronic properties of fully inorganic cesium lead halide perovskites. ACS Energy Lett. 2017, 2, 1621. [Google Scholar]
- Shrivastava, M.; Krieg, F.; Mandal, D.; Poonia, A.K.; Bera, S.K.; Kovalenko, M.V.; Adarsh, K.V. Room-temperature anomalous coherent excitonic optical Stark effect in metal halide perovskite quantum dots. Nano Lett. 2022, 22, 808. [Google Scholar] [PubMed]
- Biffi, G.; Cho, Y.; Krahne, R.; Berkelbach, T.C. Excitons and their fine structure in lead halide perovskite nanocrystals from atomistic GW/BSE calculations. J. Phys. Chem. C 2023, 127, 1891–1898. [Google Scholar]
- Yakovlev, D.R.; Rodina, A.V.; Shornikova, E.V.; Golovatenko, A.A.; Bayer, M. Coherent spin dynamics of colloidal nanocrystals. In Photonic Quantum Technologies: Science and Applications; Benyoucef, M., Ed.; Wiley-VCH: Hoboken, NJ, USA, 2023. [Google Scholar]
- Feng, D.H.; Yakovlev, D.R.; Pavlov, V.V.; Rodina, A.V.; Shornikova, E.V.; Mund, J.; Bayer, M. Dynamic evolution from negative to positive photocharging in colloidal CdS quantum dots. Nano Lett. 2017, 17, 2844–2851. [Google Scholar] [PubMed]
- Hu, R.R.; Yakovlev, D.R.; Liang, P.; Qiang, G.; Chen, C.; Jia, T.Q.; Sun, Z.R.; Bayer, M.; Feng, D.H. Origin of two Larmor frequencies in the coherent spin dynamics of colloidal CdSe quantum dots revealed by controlled charging. J. Phys. Chem. Lett. 2019, 10, 3681–3687. [Google Scholar]
- Hu, R.R.; Wu, Z.; Zang, Y.Y.; Yakovlev, D.R.; Liang, P.; Qiang, G.; Guo, J.X.; Jia, T.Q.; Sun, Z.R.; Bayer, M.; et al. Long-lived negative photocharging in colloidal CdSe quantum dots revealed by coherent electron spin precession. J. Phys. Chem. Lett. 2019, 10, 4994–4999. [Google Scholar] [PubMed]
- Seth, S.; Ahmed, T.; Samanta, A. Photoluminescence flickering and blinking of single CsPbBr3 perovskite nanocrystals: Revealing explicit carrier recombination dynamics. J. Phys. Chem. Lett. 2018, 9, 7007–7014. [Google Scholar] [PubMed]
- Dey, A.; Rathod, P.; Kabra, D. Role of localized states in photoluminescence dynamics of high optical gain CsPbBr3 nanocrystals. Adv. Opt. Mater. 2018, 6, 1800109. [Google Scholar]
- Diroll, B.T.; Zhou, H.; Schaller, R.D. Low-temperature absorption, photoluminescence, and lifetime of CsPbX3 (X = Cl, Br, I.n.nocrystals. Adv. Funct. Mater. 2018, 28, 1800945. [Google Scholar]
- Li, Y.; Luo, X.; Liu, Y.; Lu, X.; Wu, K. Size- and Composition-Dependent Exciton Spin Relaxation in Lead Halide Perovskite Quantum Dots. ACS Energy Lett. 2020, 5, 1701–1708. [Google Scholar]




| 300 K | 4 K | |
|---|---|---|
| Electron g-factor, | 1.77 | 1.47 |
| Hole g-factor, | – | 0.44 |
| Electron spin dephasing time, | 60 ps | 150 ps |
| Hole spin dephasing time, | – | 170 ps |
Disclaimer/Publisher’s Note: The statements, opinions and data contained in all publications are solely those of the individual author(s) and contributor(s) and not of MDPI and/or the editor(s). MDPI and/or the editor(s) disclaim responsibility for any injury to people or property resulting from any ideas, methods, instructions or products referred to in the content. |
© 2023 by the authors. Licensee MDPI, Basel, Switzerland. This article is an open access article distributed under the terms and conditions of the Creative Commons Attribution (CC BY) license (https://creativecommons.org/licenses/by/4.0/).
Share and Cite
Meliakov, S.R.; Zhukov, E.A.; Kulebyakina, E.V.; Belykh, V.V.; Yakovlev, D.R. Coherent Spin Dynamics of Electrons in CsPbBr3 Perovskite Nanocrystals at Room Temperature. Nanomaterials 2023, 13, 2454. https://doi.org/10.3390/nano13172454
Meliakov SR, Zhukov EA, Kulebyakina EV, Belykh VV, Yakovlev DR. Coherent Spin Dynamics of Electrons in CsPbBr3 Perovskite Nanocrystals at Room Temperature. Nanomaterials. 2023; 13(17):2454. https://doi.org/10.3390/nano13172454
Chicago/Turabian StyleMeliakov, Sergey R., Evgeny A. Zhukov, Evgeniya V. Kulebyakina, Vasilii V. Belykh, and Dmitri R. Yakovlev. 2023. "Coherent Spin Dynamics of Electrons in CsPbBr3 Perovskite Nanocrystals at Room Temperature" Nanomaterials 13, no. 17: 2454. https://doi.org/10.3390/nano13172454
APA StyleMeliakov, S. R., Zhukov, E. A., Kulebyakina, E. V., Belykh, V. V., & Yakovlev, D. R. (2023). Coherent Spin Dynamics of Electrons in CsPbBr3 Perovskite Nanocrystals at Room Temperature. Nanomaterials, 13(17), 2454. https://doi.org/10.3390/nano13172454

