Development of Positively Charged Poly-L-Lysine Magnetic Nanoparticles as Potential MRI Contrast Agent
Abstract
1. Introduction
2. Materials and Methods
2.1. Materials
2.2. Succession of Nanoparticles’ Fabrication
2.3. Nanoparticles Characterization
2.4. Magnetic Resonance Imaging (MRI)
- T1 mapping—Rapid Acquisition with Refocused Echoes (RARE) pulse sequence, with repetition time TR = 5500, 3000, 1500, 800, 400, and 200 ms and echo time TE = 7 ms.
- T2 mapping—Multi-Slice Multi-Echo (MSME) pulse sequence, with repetition time TR = 2000 ms, starting echo time TE = 8 ms, spacing = 8 ms, and 25 images.
- T2* mapping—Multi Gradient Echo (MGE) pulse sequence, with a repetition time TR = 1200 ms, starting echo time TE = 5.1 ms, spacing = 5 ms, and 10 images. Gradient strength: 440 mT/m.
3. Results
3.1. Dynamic Light Scattering and Zeta Potential Measurements
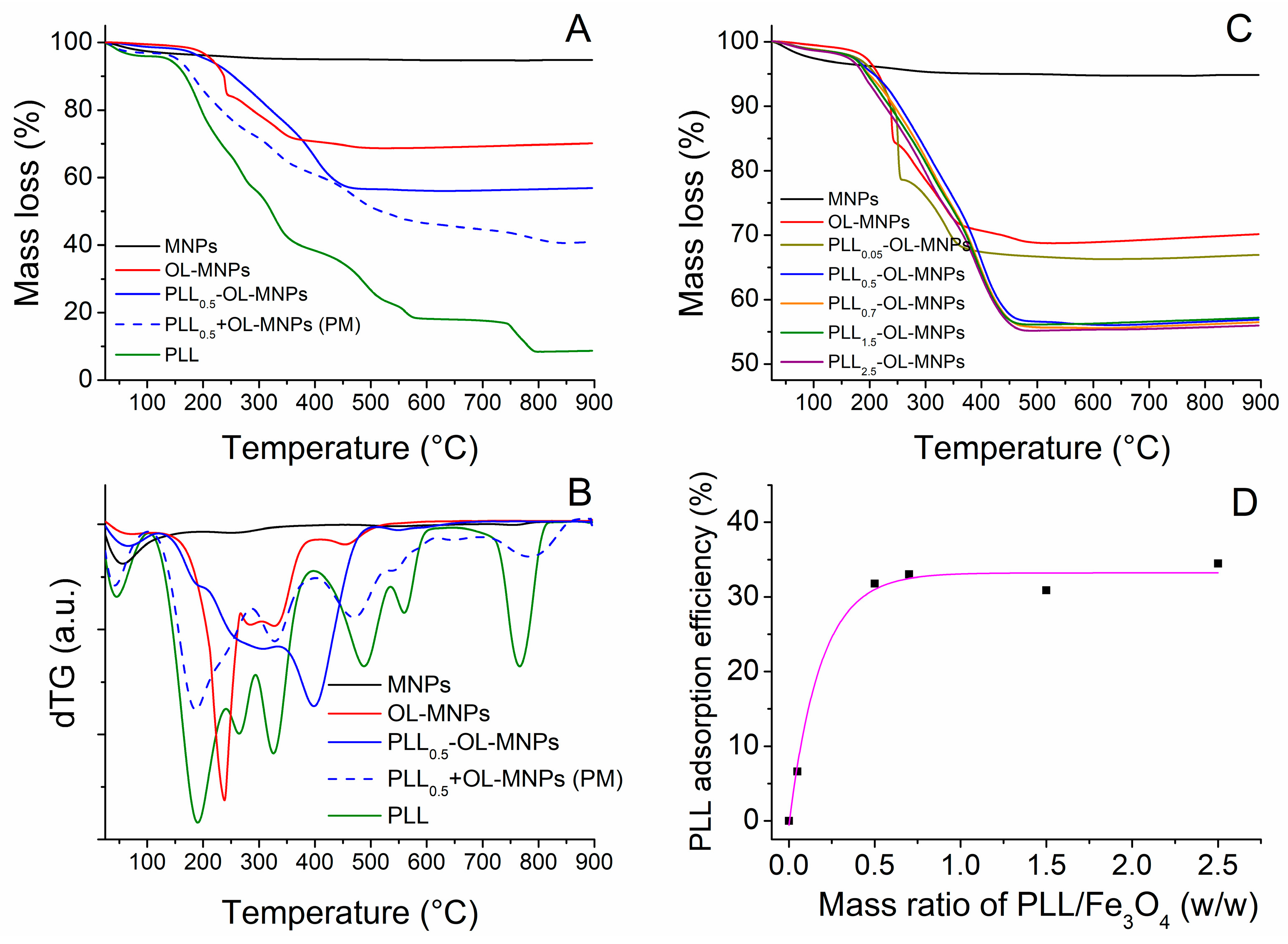
3.2. Thermogravimetric Analysis of OL-MNPs and PLL-OL-MNPs
3.3. Spectroscopic Characterization of OL-MNPs and PLL0.5-OL-MNPs
3.4. TEM and SEM Analysis
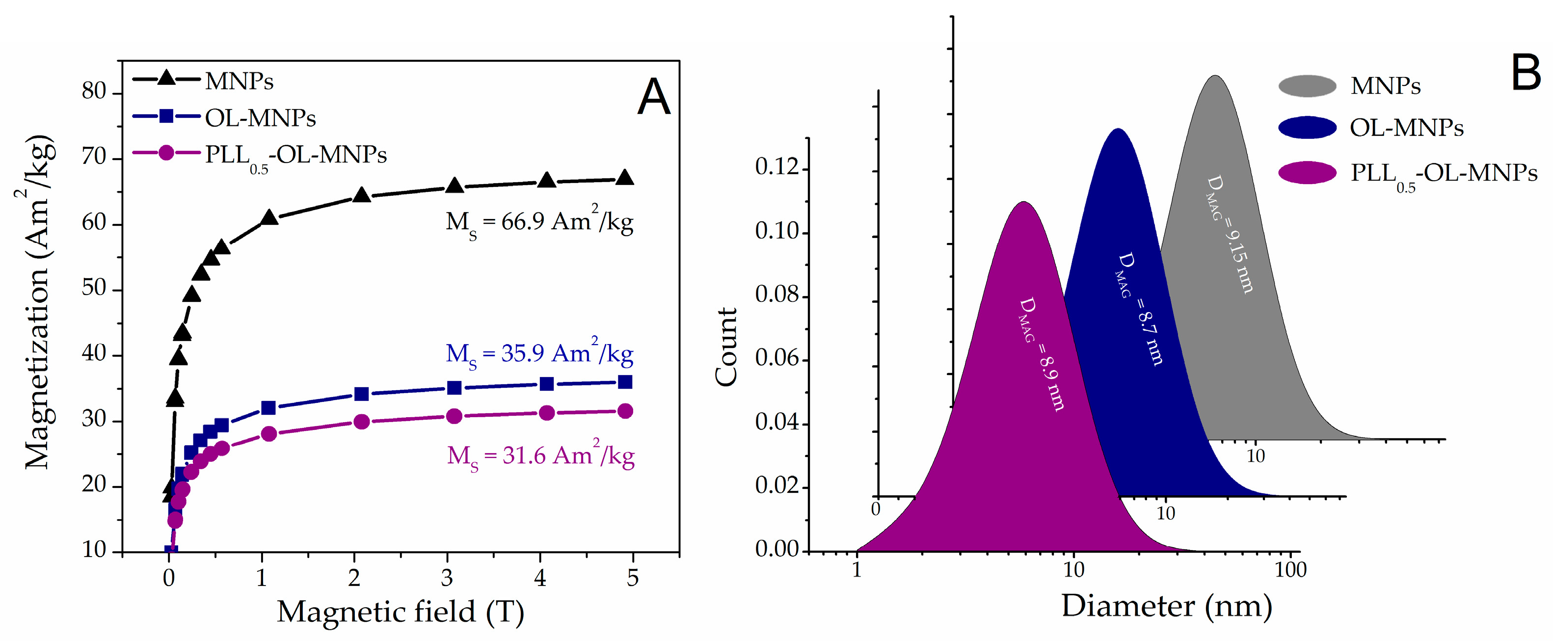
3.5. Magnetic Properties of OL-MNPs and PLL0.5-OL-MNPs
3.6. Aggregation and Colloidal Stability of PLL0.5-OL-MNPs vs. Temperature and Ionic Strength of the Solution
3.7. Magnetic Resonance Imaging
4. Conclusions
Author Contributions
Funding
Data Availability Statement
Conflicts of Interest
References
- Li, L.; Jiang, W.; Luo, K.; Song, H.; Lan, F.; Wu, Y.; Gu, Z. Superparamagnetic Iron Oxide Nanoparticles as MRI Contrast Agents for Non-Invasive Stem Cell Labeling and Tracking. Theranostics 2013, 3, 595–615. [Google Scholar] [CrossRef]
- Laurent, S.; Forge, D.; Port, M.; Roch, A.; Robic, C.; Vander Elst, L.; Muller, R.N. Magnetic Iron Oxide Nanoparticles: Synthesis, Stabilization, Vectorization, Physicochemical Characterizations, and Biological Applications. Chem. Rev. 2008, 108, 2064–2110. [Google Scholar] [CrossRef]
- Antal, I.; Kubovcikova, M.; Zavisova, V.; Koneracka, M.; Pechanova, O.; Barta, A.; Cebova, M.; Antal, V.; Diko, P.; Zduriencikova, M.; et al. Magnetic Poly(d,l-Lactide) Nanoparticles Loaded with Aliskiren: A Promising Tool for Hypertension Treatment. J. Magn. Magn. Mater. 2015, 380, 280–284. [Google Scholar] [CrossRef]
- Strbak, O.; Antal, I.; Gogola, D.; Baciak, L.; Kubovcikova, M.; Koneracka, M.; Zavisova, V.; Krafcik, A.; Masarova-Kozelova, M.; Kopcansky, P.; et al. Measurement of the Magnetite Nanoparticles’ Relaxivity during Encapsulation into Polylactide Carriers. Measurement 2017, 104, 89–92. [Google Scholar] [CrossRef]
- Illés, E.; Tombácz, E.; Szekeres, M.; Tóth, I.Y.; Szabó, Á.; Iván, B. Novel Carboxylated PEG-Coating on Magnetite Nanoparticles Designed for Biomedical Applications. J. Magn. Magn. Mater. 2015, 380, 132–139. [Google Scholar] [CrossRef]
- Jain, T.K.; Morales, M.A.; Sahoo, S.K.; Leslie-Pelecky, D.L.; Labhasetwar, V. Iron Oxide Nanoparticles for Sustained Delivery of Anticancer Agents. Mol. Pharm. 2005, 2, 194–205. [Google Scholar] [CrossRef]
- Horák, D.; Babič, M.; Jendelová, P.; Herynek, V.; Trchová, M.; Likavčanová, K.; Kapcalová, M.; Hájek, M.; Syková, E. Effect of Different Magnetic Nanoparticle Coatings on the Efficiency of Stem Cell Labeling. J. Magn. Magn. Mater. 2009, 321, 1539–1547. [Google Scholar] [CrossRef]
- Xiang, J.J.; Nie, X.M.; Tang, J.Q.; Wang, Y.J.; Li, Z.; Gan, K.; Huang, H.; Xiong, W.; Li, X.L.; Tang, K.; et al. In vitro gene transfection by magnetic iron oxide nanoparticles and magnetic field increases transfection efficiency. Chin. J. Oncol. 2004, 26, 71–74. [Google Scholar]
- Li, Z.; Shuai, C.; Li, X.; Li, X.; Xiang, J.; Li, G. Mechanism of Poly- l -Lysine-Modified Iron Oxide Nanoparticles Uptake into Cells: The Manner of IONP-PLL Uptake into Cells. J. Biomed. Mater. Res 2013, 101, 2846–2850. [Google Scholar] [CrossRef]
- Marsich, L.; Bonifacio, A.; Mandal, S.; Krol, S.; Beleites, C.; Sergo, V. Poly-l-Lysine-Coated Silver Nanoparticles as Positively Charged Substrates for Surface-Enhanced Raman Scattering. Langmuir 2012, 28, 13166–13171. [Google Scholar] [CrossRef]
- Babič, M.; Horák, D.; Trchová, M.; Jendelová, P.; Glogarová, K.; Lesný, P.; Herynek, V.; Hájek, M.; Syková, E. Poly( l -Lysine)-Modified Iron Oxide Nanoparticles for Stem Cell Labeling. Bioconjugate Chem. 2008, 19, 740–750. [Google Scholar] [CrossRef]
- Arbab, A.S.; Bashaw, L.A.; Miller, B.R.; Jordan, E.K.; Lewis, B.K.; Kalish, H.; Frank, J.A. Characterization of Biophysical and Metabolic Properties of Cells Labeled with Superparamagnetic Iron Oxide Nanoparticles and Transfection Agent for Cellular MR Imaging. Radiology 2003, 229, 838–846. [Google Scholar] [CrossRef]
- Khurshid, H.; Kim, S.H.; Bonder, M.J.; Colak, L.; Ali, B.; Shah, S.I.; Kiick, K.L.; Hadjipanayis, G.C. Development of Heparin-Coated Magnetic Nanoparticles for Targeted Drug Delivery Applications. J. Appl. Phys. 2009, 105, 07B308. [Google Scholar] [CrossRef]
- Weis, C.; Blank, F.; West, A.; Black, G.; Woodward, R.C.; Carroll, M.R.J.; Mainka, A.; Kartmann, R.; Brandl, A.; Bruns, H.; et al. Labeling of Cancer Cells with Magnetic Nanoparticles for Magnetic Resonance Imaging: Labeling of Cancer Cells with Magnetic Nanoparticles. Magn. Reson. Med. 2014, 71, 1896–1905. [Google Scholar] [CrossRef]
- Riggio, C.; Calatayud; Hoskins; Pinkernelle; Sanz, B.; Enrique Torres, T.; Ibarra, M.R.; Wang, L.; Keilhoff; Goya, G.; et al. Poly-l-Lysine-Coated Magnetic Nanoparticles as Intracellular Actuators for Neural Guidance. Int. J. Nanomed. 2012, 7, 3155–3166. [Google Scholar] [CrossRef]
- Li, Z.; Xiang, J.; Zhang, W.; Fan, S.; Wu, M.; Li, X.; Li, G. Nanoparticle Delivery of Anti-Metastatic NM23-H1 Gene Improves Chemotherapy in a Mouse Tumor Model. Cancer Gene Ther. 2009, 16, 423–429. [Google Scholar] [CrossRef]
- Xiang, J.J.; Zhu, S.G.; Lu, H.B.; Ruan, J.M.; Zhang, B.C.; Li, J.; Li, G.Y. Use of magnetic iron oxide nanoparticles as gene carrier. Chin. J. Cancer 2001, 20, 1009–1014. [Google Scholar]
- Xiang, J.-J.; Tang, J.-Q.; Zhu, S.-G.; Nie, X.-M.; Lu, H.-B.; Shen, S.-R.; Li, X.-L.; Tang, K.; Zhou, M.; Li, G.-Y. IONP-PLL: A Novel Non-Viral Vector for Efficient Gene Delivery. J. Gene Med. 2003, 5, 803–817. [Google Scholar] [CrossRef]
- Khmara, I.; Koneracka, M.; Kubovcikova, M.; Zavisova, V.; Antal, I.; Csach, K.; Kopcansky, P.; Vidlickova, I.; Csaderova, L.; Pastorekova, S.; et al. Preparation of Poly-L-Lysine Functionalized Magnetic Nanoparticles and Their Influence on Viability of Cancer Cells. J. Magn. Magn. Mater. 2017, 427, 114–121. [Google Scholar] [CrossRef]
- Kubovcikova, M.; Koneracka, M.; Strbak, O.; Molcan, M.; Zavisova, V.; Antal, I.; Khmara, I.; Lucanska, D.; Tomco, L.; Barathova, M.; et al. Poly-L-Lysine Designed Magnetic Nanoparticles for Combined Hyperthermia, Magnetic Resonance Imaging and Cancer Cell Detection. J. Magn. Magn. Mater. 2019, 475, 316–326. [Google Scholar] [CrossRef]
- Zavisova, V.; Koneracka, M.; Kovac, J.; Kubovcikova, M.; Antal, I.; Kopcansky, P.; Bednarikova, M.; Muckova, M. The Cytotoxicity of Iron Oxide Nanoparticles with Different Modifications Evaluated in Vitro. J. Magn. Magn. Mater. 2015, 380, 85–89. [Google Scholar] [CrossRef]
- Khmara, I.; Strbak, O.; Zavisova, V.; Koneracka, M.; Kubovcikova, M.; Antal, I.; Kavecansky, V.; Lucanska, D.; Dobrota, D.; Kopcansky, P. Chitosan-Stabilized Iron Oxide Nanoparticles for Magnetic Resonance Imaging. J. Magn. Magn. Mater. 2019, 474, 319–325. [Google Scholar] [CrossRef]
- Antosova, A.; Bednarikova, Z.; Koneracka, M.; Antal, I.; Zavisova, V.; Kubovcikova, M.; Wu, J.W.; Wang, S.S.-S.; Gazova, Z. Destroying Activity of Glycine Coated Magnetic Nanoparticles on Lysozyme, α-Lactalbumin, Insulin and α-Crystallin Amyloid Fibrils. J. Magn. Magn. Mater. 2019, 471, 169–176. [Google Scholar] [CrossRef]
- Antosova, A.; Bednarikova, Z.; Koneracka, M.; Antal, I.; Marek, J.; Kubovcikova, M.; Zavisova, V.; Jurikova, A.; Gazova, Z. Amino Acid Functionalized Superparamagnetic Nanoparticles Inhibit Lysozyme Amyloid Fibrillization. Chem. Eur. J. 2019, 25, 7501–7514. [Google Scholar] [CrossRef]
- Kubovčíková, M.; Antal, I.; Kováč, J.; Závišová, V.; Koneracká, M.; Kopčanský, P. Preparation and Complex Characterization of Magnetic Nanoparticles in Magnetic Fluid. Acta Phys. Pol. A 2014, 126, 268–269. [Google Scholar] [CrossRef]
- Zavisova, V.; Koneracka, M.; Gabelova, A.; Svitkova, B.; Ursinyova, M.; Kubovcikova, M.; Antal, I.; Khmara, I.; Jurikova, A.; Molcan, M.; et al. Effect of Magnetic Nanoparticles Coating on Cell Proliferation and Uptake. J. Magn. Magn. Mater. 2019, 472, 66–73. [Google Scholar] [CrossRef]
- Woods, J.T.; Mellon, M.G. Thiocyanate Method for Iron: A Spectrophotometric Study. Ind. Eng. Chem. Anal. Ed. 1941, 13, 551–554. [Google Scholar] [CrossRef]
- Danaei, M.; Dehghankhold, M.; Ataei, S.; Hasanzadeh Davarani, F.; Javanmard, R.; Dokhani, A.; Khorasani, S.; Mozafari, M.R. Impact of Particle Size and Polydispersity Index on the Clinical Applications of Lipidic Nanocarrier Systems. Pharmaceutics 2018, 10, 57. [Google Scholar] [CrossRef]
- Shen, W.-C.; Yang, D.; Ryser, H.J.-P. Colorimetric Determination of Microgram Quantities of Polylysine by Trypan Blue Precipitation. Anal. Biochem. 1984, 142, 521–524. [Google Scholar] [CrossRef]
- Carlson, J.J.; Kawatra, S.K. Factors Affecting Zeta Potential of Iron Oxides. Miner. Process. Extr. Metall. Rev. 2013, 34, 269–303. [Google Scholar] [CrossRef]
- Antal, I.; Koneracka, M.; Kubovcikova, M.; Zavisova, V.; Khmara, I.; Lucanska, D.; Jelenska, L.; Vidlickova, I.; Zatovicova, M.; Pastorekova, S.; et al. D,l-Lysine Functionalized Fe3O4 Nanoparticles for Detection of Cancer Cells. Colloids Surf. B Biointerfaces 2018, 163, 236–245. [Google Scholar] [CrossRef]
- Tombácz, E.; Majzik, A.; Horvát, Z.; Illés, E. Magnetite in aqueous medium: Coating its surface and surface coated with it. Rom. Rep. Phys. 2006, 58, 281–286. [Google Scholar]
- Maciel, A.P.; Gomide, G.; Da Silva, F.G.; Guerra, A.A.A.M.; Depeyrot, J.; Mezzi, A.; Campos, A.F.C. L-Lysine-Coated Magnetic Core–Shell Nanoparticles for the Removal of Acetylsalicylic Acid from Aqueous Solutions. Nanomaterials 2023, 13, 514. [Google Scholar] [CrossRef]
- Zhang, Y.; Chen, Y.; Yue, M.; Ji, W. Recovery of L-Lysine from L-Lysine Monohydrochloride by Ion Substitution Using Ion-Exchange Membrane. Desalination 2011, 271, 163–168. [Google Scholar] [CrossRef]
- Naassaoui, I.; Aschi, A. Evaluation of Properties and Structural Transitions of Poly-L-Lysine: Effects of PH and Temperature. J. Macromol. Sci. Part B 2019, 58, 673–688. [Google Scholar] [CrossRef]
- Singh, B.P.; Menchavez, R.; Takai, C.; Fuji, M.; Takahashi, M. Stability of Dispersions of Colloidal Alumina Particles in Aqueous Suspensions. J. Colloid Interface Sci. 2005, 291, 181–186. [Google Scholar] [CrossRef]
- Haustein, E.; Schwille, P. Soft-Matter Characterization; Springer: Cham, Switzerland, 2008; pp. 637–675. [Google Scholar]
- Józefczak, A.; Hornowski, T.; Závišová, V.; Skumiel, A.; Kubovčíková, M.; Timko, M. Acoustic Wave in a Suspension of Magnetic Nanoparticle with Sodium Oleate Coating. J. Nanoparticle Res. 2014, 16, 2271. [Google Scholar] [CrossRef]
- Mui, J.; Ngo, J.; Kim, B. Aggregation and Colloidal Stability of Commercially Available Al2O3 Nanoparticles in Aqueous Environments. Nanomaterials 2016, 6, 90. [Google Scholar] [CrossRef]
- Illés, E.; Tombácz, E. The Effect of Humic Acid Adsorption on PH-Dependent Surface Charging and Aggregation of Magnetite Nanoparticles. J. Colloid Interface Sci. 2006, 295, 115–123. [Google Scholar] [CrossRef]
- Busquets, M.A.; Estelrich, J.; Sánchez-Martín, M.J. Nanoparticles in Magnetic Resonance Imaging: From Simple to Dual Contrast Agents. Int. J. Nanomed. 2015, 10, 1727–1741. [Google Scholar] [CrossRef]
- Wei, H.; Bruns, O.T.; Kaul, M.G.; Hansen, E.C.; Barch, M.; Wiśniowska, A.; Chen, O.; Chen, Y.; Li, N.; Okada, S.; et al. Exceedingly Small Iron Oxide Nanoparticles as Positive MRI Contrast Agents. Proc. Natl. Acad. Sci. USA 2017, 114, 2325–2330. [Google Scholar] [CrossRef] [PubMed]
- Antal, I.; Strbak, O.; Khmara, I.; Koneracka, M.; Kubovcikova, M.; Zavisova, V.; Kmetova, M.; Baranovicova, E.; Dobrota, D. MRI Relaxivity Changes of the Magnetic Nanoparticles Induced by Different Amino Acid Coatings. Nanomaterials 2020, 10, 394. [Google Scholar] [CrossRef] [PubMed]
- Strbak, O.; Antal, I.; Khmara, I.; Koneracka, M.; Kubovcikova, M.; Zavisova, V.; Molcan, M.; Jurikova, A.; Hnilicova, P.; Gombos, J.; et al. Influence of Dextran Molecular Weight on the Physical Properties of Magnetic Nanoparticles for Hyperthermia and MRI Applications. Nanomaterials 2020, 10, 2468. [Google Scholar] [CrossRef] [PubMed]















| Sample | Diameter (nm) | PdI | Zeta Potential (mV) | Ms (Am2/kg MNPs) | Adsorbed PLL onto MNPs (mg/mg) | ||||
|---|---|---|---|---|---|---|---|---|---|
| DSEM | DMAG | DDLS | UV/Vis | TGA | Mag. Meas. | ||||
| MNPs | - | 9.15 | - | - | - | 66.9 | - | - | - |
| OL-MNPs | 45.4 | 8.7 | 60.9 ± 0.2 | 0.118 ± 0.007 | −43.0 ± 1.8 | 35.9 | - | - | - |
| PLL0.5-OL-MNPs | 51.0 | 8.9 | 124.4 ± 1.4 | 0.244 ± 0.011 | +42.5 ± 0.5 | 31.6 | 0.325 | 0.332 | 0.251 |
| Magnetic Nanoparticles | r1 (mM−1s−s) | r2 (mM−1s−s) | r2* (mM−1s−s) | r2/r1 | r2*/r1 | B0 (T) | References |
|---|---|---|---|---|---|---|---|
| Resovist | 2.8 | 176 | NA | 63 | NA | 4.7 | [41] |
| Feridex | 2.3 | 105 | NA | 46 | NA | 4.7 | [41] |
| Feraheme | 3.1 | 68 | NA | 22 | NA | 7 | [42] |
| ZES-SPIONs | 3.4 | 60 | NA | 18 | NA | 7 | [42] |
| MNPs | 2.4 | 201.9 | 285.5 | 84 | 119 | 7 | [43] |
| Chit-MNPs | 0.7 | 238.2 | 276.1 | 340 | 394 | 7 | [22] |
| PLL-MNPs | 1.8 | 487.9 | 604.7 | 271 | 336 | 7 | [20] |
| Lys-MNPs | 2.4 | 199.6 | 201.8 | 83 | 84 | 7 | [43] |
| Gly-MNPs | 2.4 | 192.6 | 225.1 | 80 | 94 | 7 | [43] |
| Trp-MNPs | 0.9 | 67.6 | 256.3 | 75 | 285 | 7 | [43] |
| Dex40-MNPs | 2.2 | 198.1 | NA | 90 | NA | 7 | [44] |
| Dex70-MNPs | 1.7 | 221.5 | NA | 130 | NA | 7 | [44] |
| Dex150-MNPs | 2.0 | 297.1 | NA | 149 | NA | 7 | [44] |
| OL-MNPs | 0.5 | 186.0 | 170.1 | 372 | 340.2 | 7 | [This work] |
| PLL0.5-OL-MNPs | 0.5 | 348.8 | 402.5 | 697.6 | 805 | 7 | [This work] |
Disclaimer/Publisher’s Note: The statements, opinions and data contained in all publications are solely those of the individual author(s) and contributor(s) and not of MDPI and/or the editor(s). MDPI and/or the editor(s) disclaim responsibility for any injury to people or property resulting from any ideas, methods, instructions or products referred to in the content. |
© 2023 by the authors. Licensee MDPI, Basel, Switzerland. This article is an open access article distributed under the terms and conditions of the Creative Commons Attribution (CC BY) license (https://creativecommons.org/licenses/by/4.0/).
Share and Cite
Antal, I.; Strbak, O.; Zavisova, V.; Vojtova, J.; Kubovcikova, M.; Jurikova, A.; Khmara, I.; Girman, V.; Džunda, R.; Kovaľ, K.; et al. Development of Positively Charged Poly-L-Lysine Magnetic Nanoparticles as Potential MRI Contrast Agent. Nanomaterials 2023, 13, 1831. https://doi.org/10.3390/nano13121831
Antal I, Strbak O, Zavisova V, Vojtova J, Kubovcikova M, Jurikova A, Khmara I, Girman V, Džunda R, Kovaľ K, et al. Development of Positively Charged Poly-L-Lysine Magnetic Nanoparticles as Potential MRI Contrast Agent. Nanomaterials. 2023; 13(12):1831. https://doi.org/10.3390/nano13121831
Chicago/Turabian StyleAntal, Iryna, Oliver Strbak, Vlasta Zavisova, Jana Vojtova, Martina Kubovcikova, Alena Jurikova, Iryna Khmara, Vladimir Girman, Róbert Džunda, Karol Kovaľ, and et al. 2023. "Development of Positively Charged Poly-L-Lysine Magnetic Nanoparticles as Potential MRI Contrast Agent" Nanomaterials 13, no. 12: 1831. https://doi.org/10.3390/nano13121831
APA StyleAntal, I., Strbak, O., Zavisova, V., Vojtova, J., Kubovcikova, M., Jurikova, A., Khmara, I., Girman, V., Džunda, R., Kovaľ, K., & Koneracka, M. (2023). Development of Positively Charged Poly-L-Lysine Magnetic Nanoparticles as Potential MRI Contrast Agent. Nanomaterials, 13(12), 1831. https://doi.org/10.3390/nano13121831

