A Voltage-Tuned Terahertz Absorber Based on MoS2/Graphene Nanoribbon Structure
Abstract
1. Introduction
2. Materials and Methods
3. Results and Discussion
3.1. The Effect of Vertical Bias
3.2. The Effect of the Nanoribbon Width and Substrate Thickness
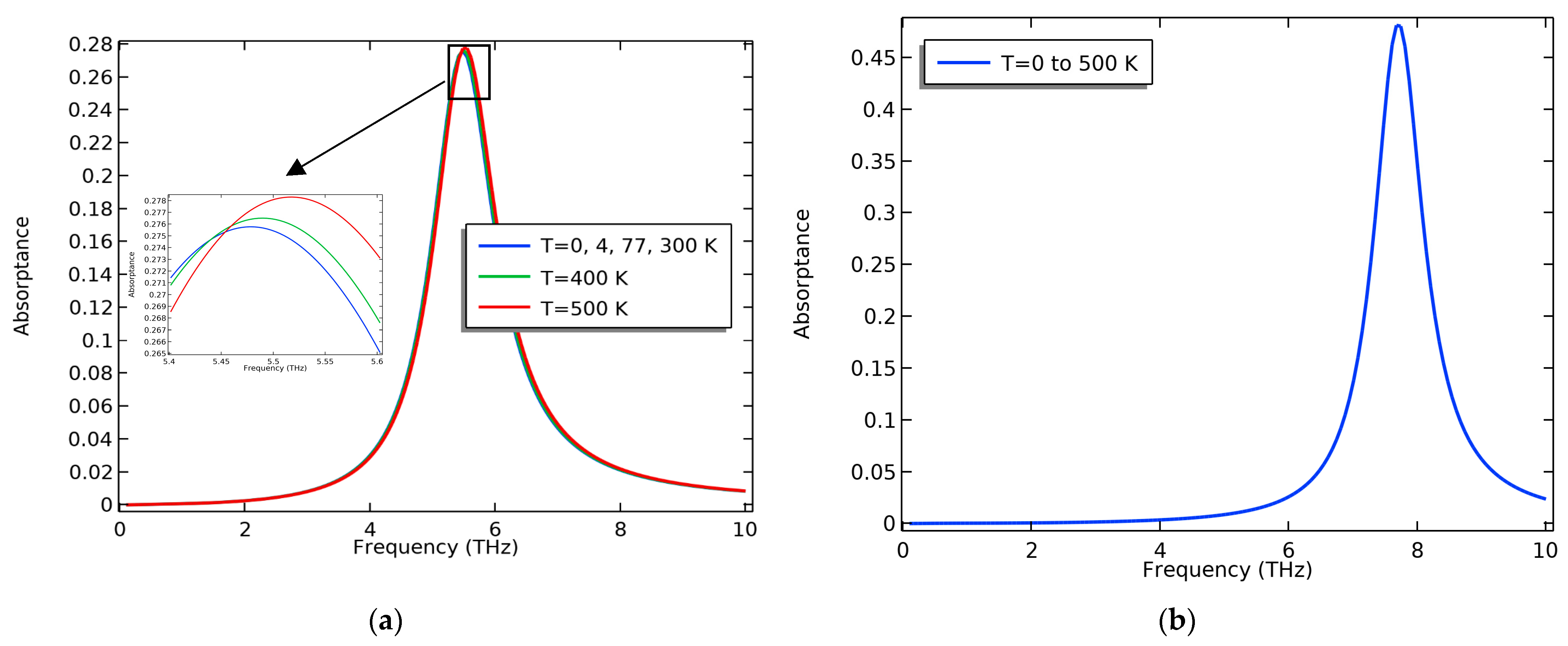
3.3. The Effect of Temperature
4. Discussion
5. Conclusions
Author Contributions
Funding
Institutional Review Board Statement
Informed Consent Statement
Data Availability Statement
Conflicts of Interest
References
- Pawar, A.Y.; Sonawane, D.D.; Erande, K.B.; Derle, D.V. Terahertz technology and its applications. Drug Invent. Today 2013, 5, 157–163. [Google Scholar] [CrossRef]
- Kleine-Ostmann, T.; Nagatsuma, T. A Review on Terahertz Communications Research. J. Infrared Millim. Terahz. Waves 2011, 32, 143–171. [Google Scholar] [CrossRef]
- Son, J.-H.; Oh, S.J.; Cheon, H. Potential clinical applications of terahertz radiation. J. Appl. Phys. 2019, 125, 190901. [Google Scholar] [CrossRef]
- Markelz, A.G.; Mittleman, D.M. Perspective on Terahertz Applications in Bioscience and Biotechnology. ACS Photonics 2022, 9, 1117–1126. [Google Scholar] [CrossRef]
- Terahertz Market Size|Industry Report by 2028. Available online: https://www.adroitmarketresearch.com/industry-reports/terahertz-market?utm_source=AD (accessed on 3 November 2022).
- Ryzhii, V.; Ryzhii, M.; Mitin, V.; Otsuji, T. Toward the creation of terahertz graphene injection laser. J. Appl. Phys. 2011, 110, 094503. [Google Scholar] [CrossRef][Green Version]
- Kostakis, I.; Saeedkia, D.; Missous, M. Efficient terahertz devices based on III–V semiconductor photoconductors. IET Optoelectron. 2014, 8, 33–39. [Google Scholar] [CrossRef]
- Urade, A.R.; Lahiri, I.; Suresh, K.S. Graphene Properties, Synthesis and Applications: A Review. JOM 2022, 75, 614–630. [Google Scholar] [CrossRef]
- Moutaouakil, A.E.; Kang, H.-C.; Handa, H.; Fukidome, H.; Suemitsu, T.; Sano, E.; Suemitsu, M.; Otsuji, T. Room Temperature Logic Inverter on Epitaxial Graphene-on-Silicon Device. Jpn. J. Appl. Phys. 2011, 50, 070113. [Google Scholar] [CrossRef][Green Version]
- Bonaccorso, F.; Sun, Z.; Hasan, T.; Ferrari, A.C. Graphene photonics and optoelectronics. Nat. Photon 2010, 4, 611–622. [Google Scholar] [CrossRef][Green Version]
- Popov, V.V.; Bagaeva, T.Y.; Otsuji, T.; Ryzhii, V. Oblique terahertz plasmons in graphene nanoribbon arrays. Phys. Rev. B 2010, 81, 073404. [Google Scholar] [CrossRef]
- Zhuang, S.; Li, X.; Yang, T.; Sun, L.; Kosareva, O.; Gong, C.; Liu, W. Graphene-Based Absorption–Transmission Multi-Functional Tunable THz Metamaterials. Micromachines 2022, 13, 1239. [Google Scholar] [CrossRef]
- Moutaouakil, A.E.; Fukidome, H.; Otsuji, T. Investigation of Terahertz properties in Graphene ribbons. In Proceedings of the 2020 45th International Conference on Infrared, Millimeter, and Terahertz Waves (IRMMW-THz), Buffalo, NY, USA, 8–13 November 2020; pp. 1–2. [Google Scholar]
- Moutaouakil, A.E. Two-Dimensional Electronic Materials for Terahertz Applications: Linking the Physical Properties with Engineering Expertise. In Proceedings of the 2018 6th International Renewable and Sustainable Energy Conference (IRSEC), Rabat, Morocco, 5–8 December 2018; pp. 1–4. [Google Scholar]
- Kim, T.; Fan, S.; Lee, S.; Joo, M.-K.; Lee, Y.H. High-mobility junction field-effect transistor via graphene/MoS2 heterointerface. Sci. Rep. 2020, 10, 13101. [Google Scholar] [CrossRef] [PubMed]
- Hijazi, A.; Moutaouakil, A.E. Graphene and MoS2 Structures for THz Applications. In Proceedings of the 2019 44th International Conference on Infrared, Millimeter, and Terahertz Waves (IRMMW-THz), Paris, France, 1–6 September 2019; pp. 1–2. [Google Scholar]
- Catalán-Gómez, S.; Briones, M.; Cortijo-Campos, S.; García-Mendiola, T.; de Andrés, A.; Garg, S.; Kung, P.; Lorenzo, E.; Pau, J.L.; Redondo-Cubero, A. Breast cancer biomarker detection through the photoluminescence of epitaxial monolayer MoS2 flakes. Sci. Rep. 2020, 10, 16039. [Google Scholar] [CrossRef]
- Huang, Y.; Shi, Y.; Yang, H.Y.; Ai, Y. A novel single-layered MoS 2 nanosheet based microfluidic biosensor for ultrasensitive detection of DNA. Nanoscale 2015, 7, 2245–2249. [Google Scholar] [CrossRef] [PubMed]
- Samy, O.; Birowosuto, D.; El Moutaouakil, A. A short review on Molybdenum disulfide (MoS2) applications and challenges. In Proceedings of the 2021 6th International Conference on Renewable Energy: Generation and Applications (ICREGA), Al Ain, United Arab Emirates, 2–4 February 2021; pp. 220–222. [Google Scholar]
- Samy, O.; El Moutaouakil, A. A Review on MoS2 Energy Applications: Recent Developments and Challenges. Energies 2021, 14, 4586. [Google Scholar] [CrossRef]
- Samy, O.; Zeng, S.; Birowosuto, M.D.; El Moutaouakil, A. A Review on MoS2 Properties, Synthesis, Sensing Applications and Challenges. Crystals 2021, 11, 355. [Google Scholar] [CrossRef]
- Kumar, S.; Singh, A.; Nivedan, A.; Kumar, S.; Yun, S.J.; Lee, Y.H.; Tondusson, M.; Degert, J.; Oberle, J.; Freysz, E. Sub-bandgap activated charges transfer in a graphene-MoS2-graphene heterostructure. Nano Sel. 2021, 2, 2019–2028. [Google Scholar] [CrossRef]
- Zheng, S.; Huang, Q. Design of a tunable monolayer MoS2/BP based terahertz absorber with six absorption bands. Opt. Mater. 2022, 123, 111958. [Google Scholar] [CrossRef]
- Qiu, B.; Zhao, X.; Hu, G.; Yue, W.; Ren, J.; Yuan, X. Optical Properties of Graphene/MoS2 Heterostructure: First Principles Calculations. Nanomaterials 2018, 8, 962. [Google Scholar] [CrossRef][Green Version]
- Wang, H.; Liang, H.; Qian, Z. Tunable Conductivity and Dielectric Constant of Graphene in Microwave, Millimeter wave and Terahertz Band. In Proceedings of the 2020 13th UK-Europe-China Workshop on Millimetre-Waves and Terahertz Technologies (UCMMT), Tianjin, China, 29 August–1 September 2020; pp. 1–3. [Google Scholar]
- Fang, T.; Konar, A.; Xing, H.; Jena, D. Carrier Statistics and Quantum Capacitance of Graphene Sheets and Ribbons. Appl. Phys. Lett. 2007, 91, 092109. [Google Scholar] [CrossRef][Green Version]
- Liu, X.; Li, Z. Electric Field and Strain Effect on Graphene-MoS2 Hybrid Structure: Ab Initio Calculations. J. Phys. Chem. Lett. 2015, 6, 3269–3275. [Google Scholar] [CrossRef]
- Kravets, V.G.; Wu, F.; Auton, G.H.; Yu, T.; Imaizumi, S.; Grigorenko, A.N. Measurements of electrically tunable refractive index of MoS2 monolayer and its usage in optical modulators. NPJ 2d Mater. Appl. 2019, 3, 36. [Google Scholar] [CrossRef][Green Version]
- Xiao, J.; Zhao, M.; Wang, Y.; Zhang, X. Excitons in atomically thin 2D semiconductors and their applications. Nanophotonics 2017, 6, 1309–1328. [Google Scholar] [CrossRef]
- Reshetnyak, V.Y.; Zadorozhnii, V.I.; Pinkevych, I.P.; Bunning, T.J.; Evans, D.R. Surface plasmon absorption in MoS2 and graphene-MoS2 micro-gratings and the impact of a liquid crystal substrate. AIP Adv. 2018, 8, 045024. [Google Scholar] [CrossRef][Green Version]
- Novoselov, K.S.; Geim, A.K.; Morozov, S.V.; Jiang, D.; Zhang, Y.; Dubonos, S.V.; Grigorieva, I.V.; Firsov, A.A. Electric Field Effect in Atomically Thin Carbon Films. Science 2004, 306, 666–669. [Google Scholar] [CrossRef] [PubMed][Green Version]
- Pham, T.; Ramnani, P.; Villarreal, C.C.; Lopez, J.; Das, P.; Lee, I.; Neupane, M.R.; Rheem, Y.; Mulchandani, A. MoS2-graphene heterostructures as efficient organic compounds sensing 2D materials. Carbon 2019, 142, 504–512. [Google Scholar] [CrossRef]
- Tang, Z.; Liu, C.; Huang, X.; Zeng, S.; Liu, L.; Li, J.; Jiang, Y.-G.; Zhang, D.W.; Zhou, P. A Steep-Slope MoS2/Graphene Dirac-Source Field-Effect Transistor with a Large Drive Current. Nano Lett. 2021, 21, 1758–1764. [Google Scholar] [CrossRef]
- Wang, C.; Song, Y.; Huang, H. Evolution Application of Two-Dimensional MoS2-Based Field-Effect Transistors. Nanomaterials 2022, 12, 3233. [Google Scholar] [CrossRef]
- Liu, M.; Susli, M.; Silva, D.; Putrino, G.; Kala, H.; Fan, S.; Cole, M.; Faraone, L.; Wallace, V.P.; Padilla, W.J.; et al. Ultrathin tunable terahertz absorber based on MEMS-driven metamaterial. Microsyst. Nanoeng. 2017, 3, 17033. [Google Scholar] [CrossRef][Green Version]
- Cong, L.; Singh, R. Sensing with THz metamaterial absorbers. arXiv 2014, arXiv:1408.3711. [Google Scholar] [CrossRef]
- Yuan, H.; Cheng, G.; You, L.; Li, H.; Zhu, H.; Li, W.; Kopanski, J.J.; Obeng, Y.S.; Hight Walker, A.R.; Gundlach, D.J.; et al. Influence of Metal–MoS 2 Interface on MoS 2 Transistor Performance: Comparison of Ag and Ti Contacts. ACS Appl. Mater. Interfaces 2015, 7, 1180–1187. [Google Scholar] [CrossRef] [PubMed]
- Gahoi, A.; Passi, V.; Kataria, S.; Wagner, S.; Bablich, A.; Lemme, M.C. Systematic comparison of metal contacts on CVD graphene. In Proceedings of the 2015 45th European Solid State Device Research Conference (ESSDERC), Graz, Austria, 14–18 September 2015; pp. 184–187. [Google Scholar]
- Mikhailov, S.A.; Ziegler, K. A new electromagnetic mode in graphene. Phys. Rev. Lett. 2007, 99, 016803. [Google Scholar] [CrossRef] [PubMed][Green Version]
- Hanson, G.W. Dyadic Green’s functions and guided surface waves for a surface conductivity model of graphene. J. Appl. Phys. 2008, 103, 064302. [Google Scholar] [CrossRef][Green Version]
- Paul Gollapalli, R.; Wei, T.; Reid, J. Application of Electric Bias to Enhance the Sensitivity of Graphene-Based Surface Plasmon Resonance Sensors. In Graphene—Recent Advances, Future Perspective and Applied Applications [Working Title]; IntechOpen: Licko-Senjska, Croatia, 2022. [Google Scholar]
- Hanson, G.W. Dyadic Green’s Functions for an Anisotropic, Non-Local Model of Biased Graphene. IEEE Trans. Antennas Propagat. 2008, 56, 747–757. [Google Scholar] [CrossRef]
- Chen, S.; Fan, F.; Miao, Y.; He, X.; Zhang, K.; Chang, S. Ultrasensitive terahertz modulation by silicon-grown MoS2 nanosheets. Nanoscale 2016, 8, 4713–4719. [Google Scholar] [CrossRef]
- Dagan, R.; Vaknin, Y.; Henning, A.; Shang, J.Y.; Lauhon, L.J.; Rosenwaks, Y. Two-dimensional charge carrier distribution in MoS2 monolayer and multilayers. Appl. Phys. Lett. 2019, 114, 101602. [Google Scholar] [CrossRef]
- Davies, C.L.; Patel, J.B.; Xia, C.Q.; Herz, L.M.; Johnston, M.B. Temperature-Dependent Refractive Index of Quartz at Terahertz Frequencies. J. Infrared Millim. Terahertz Waves 2018, 39, 1236–1248. [Google Scholar] [CrossRef][Green Version]
- Yasuda, H.; Hosako, I. Measurement of Terahertz Refractive Index of Metal with Terahertz Time-Domain Spectroscopy. Jpn. J. Appl. Phys. 2008, 47, 1632–1634. [Google Scholar] [CrossRef]
- Deng, X.-Y.; Deng, X.-H.; Su, F.-H.; Liu, N.-H.; Liu, J.-T. Broadband ultra-high transmission of terahertz radiation through monolayer MoS2. J. Appl. Phys. 2015, 118, 224304. [Google Scholar] [CrossRef][Green Version]
- Newaz, A.K.M.; Prasai, D.; Ziegler, J.I.; Caudel, D.; Robinson, S.; Haglund, R.F., Jr.; Bolotin, K.I. Electrical Control of Optical Properties of Monolayer MoS2. Solid. State Commun. 2013, 155, 49–52. [Google Scholar] [CrossRef][Green Version]
- Xiao, Y.M.; Xu, W.; Van Duppen, B.; Peeters, F.M. Infrared to terahertz optical conductivity of n-type and p-type monolayer MoS2 in the presence of Rashba spin-orbit coupling. Phys. Rev. B 2016, 94, 155432. [Google Scholar] [CrossRef][Green Version]
- Pierucci, D.; Henck, H.; Avila, J.; Balan, A.; Naylor, C.H.; Patriarche, G.; Dappe, Y.J.; Silly, M.G.; Sirotti, F.; Johnson, A.T.C.; et al. Band Alignment and Minigaps in Monolayer MoS2 -Graphene van der Waals Heterostructures. Nano Lett. 2016, 16, 4054–4061. [Google Scholar] [CrossRef] [PubMed]
- Panchal, V.; Lartsev, A.; Manzin, A.; Yakimova, R.; Tzalenchuk, A.; Kazakova, O. Visualisation of edge effects in side-gated graphene nanodevices. Sci. Rep. 2014, 4, 5881. [Google Scholar] [CrossRef] [PubMed][Green Version]
- Han, M.Y.; Özyilmaz, B.; Zhang, Y.; Kim, P. Energy Band-Gap Engineering of Graphene Nanoribbons. Phys. Rev. Lett. 2007, 98, 206805. [Google Scholar] [CrossRef] [PubMed][Green Version]
- Ullah, Z.; Nawi, I.; Witjaksono, G.; Tansu, N.; Khattak, M.I.; Junaid, M.; Siddiqui, M.A.; Magsi, S.A. Dynamic Absorption Enhancement and Equivalent Resonant Circuit Modeling of Tunable Graphene-Metal Hybrid Antenna. Sensors 2020, 20, 3187. [Google Scholar] [CrossRef] [PubMed]
- Li, T.; Zhou, J.; Zheng, Y.; Zhu, Z.; Zhou, L.; Rao, X.; Wang, J. Temperature Dependent Sheet Conductivity of MoS2 Measured by Terahertz Time-Domain Spectroscopy. In Proceedings of the 2019 44th International Conference on Infrared, Millimeter, and Terahertz Waves (IRMMW-THz), Paris, France, 1–6 September 2019; pp. 1–2. [Google Scholar]
- Liu, H.-L.; Yang, T.; Chen, J.-H.; Chen, H.-W.; Guo, H.; Saito, R.; Li, M.-Y.; Li, L.-J. Temperature-dependent optical constants of monolayer MoS2,MoSe2, WS2, and WSe2: Spectroscopic ellipsometry and first-principles calculations. Sci. Rep. 2020, 10, 15282. [Google Scholar] [CrossRef]
- Islam, M.S.; Sultana, J.; Biabanifard, M.; Vafapour, Z.; Nine, M.J.; Dinovitser, A.; Cordeiro, C.M.B.; Ng, B.W.-H.; Abbott, D. Tunable localized surface plasmon graphene metasurface for multiband superabsorption and terahertz sensing. Carbon 2020, 158, 559–567. [Google Scholar] [CrossRef]
- Chen, F.; Cheng, Y.; Luo, H. A Broadband Tunable Terahertz Metamaterial Absorber Based on Single-Layer Complementary Gammadion-Shaped Graphene. Materials 2020, 13, 860. [Google Scholar] [CrossRef][Green Version]
- Zhong, Y.; Huang, Y.; Zhong, S.; Lin, T.; Luo, M.; Shen, Y.; Ding, J. Tunable terahertz broadband absorber based on MoS2 ring-cross array structure. Opt. Mater. 2021, 114, 110996. [Google Scholar] [CrossRef]
- Gong, C.; Zhan, M.; Yang, J.; Wang, Z.; Liu, H.; Zhao, Y.; Liu, W. Broadband terahertz metamaterial absorber based on sectional asymmetric structures. Sci. Rep. 2016, 6, 32466. [Google Scholar] [CrossRef][Green Version]
- Mohsen Daraei, O.; Goudarzi, K.; Bemani, M. A tunable ultra-broadband terahertz absorber based on two layers of graphene ribbons. Opt. Laser Technol. 2020, 122, 105853. [Google Scholar] [CrossRef]
- Wang, J.; Jiang, Y. A phosphorene-based metasurface absorber operating in ultra-wideband terahertz regime. Eur. Phys. J. D 2019, 73, 255. [Google Scholar] [CrossRef]
- Tan, C.; Wang, S.; Li, S.; Liu, X.; Wei, J.; Zhang, G.; Ye, H. Cancer Diagnosis Using Terahertz-Graphene-Metasurface-Based Biosensor with Dual-Resonance Response. Nanomaterials 2022, 12, 3889. [Google Scholar] [CrossRef] [PubMed]








| Ref | Bandwidth | Absorptance | Structure |
|---|---|---|---|
| [56] | Multiband width | 99.7% in a frequency range of 0.1–2.0 THz | Graphene meta surface, Au, SiO2, and Zeonex. |
| [57] | Relative bandwidth of 72.1% at 90% absorptance | >90% for frequencies from 2 to 5 THz | Gammadion-shaped graphene sheet and a polydimethylsiloxane dielectric substrate placed on a metal film. |
| [58] | Wide 1.2 to 2.67 THz | >90% for frequencies from 1.375 to 2.75 THz | Patterned MoS2 with a subwavelength ring–cross array. |
| [59] | ~0.5 THz | >90% for frequencies from 4.762 to 5.152 THz | (Square ring absorber) of Au and Si3N4. |
| [60] | ~5.8 THz | 70% for frequencies from 9 THz to 7.7 THz | Ribbons of graphene on dielectric and Au film. |
| [61] | Ultrawideband 3.4–9.6 THz | >90% for frequencies from 4 to 10 THz | Frustum pyramid stack of BP/dielectric on a gold base. |
Disclaimer/Publisher’s Note: The statements, opinions and data contained in all publications are solely those of the individual author(s) and contributor(s) and not of MDPI and/or the editor(s). MDPI and/or the editor(s) disclaim responsibility for any injury to people or property resulting from any ideas, methods, instructions or products referred to in the content. |
© 2023 by the authors. Licensee MDPI, Basel, Switzerland. This article is an open access article distributed under the terms and conditions of the Creative Commons Attribution (CC BY) license (https://creativecommons.org/licenses/by/4.0/).
Share and Cite
Samy, O.; Belmoubarik, M.; Otsuji, T.; El Moutaouakil, A. A Voltage-Tuned Terahertz Absorber Based on MoS2/Graphene Nanoribbon Structure. Nanomaterials 2023, 13, 1716. https://doi.org/10.3390/nano13111716
Samy O, Belmoubarik M, Otsuji T, El Moutaouakil A. A Voltage-Tuned Terahertz Absorber Based on MoS2/Graphene Nanoribbon Structure. Nanomaterials. 2023; 13(11):1716. https://doi.org/10.3390/nano13111716
Chicago/Turabian StyleSamy, Omnia, Mohamed Belmoubarik, Taiichi Otsuji, and Amine El Moutaouakil. 2023. "A Voltage-Tuned Terahertz Absorber Based on MoS2/Graphene Nanoribbon Structure" Nanomaterials 13, no. 11: 1716. https://doi.org/10.3390/nano13111716
APA StyleSamy, O., Belmoubarik, M., Otsuji, T., & El Moutaouakil, A. (2023). A Voltage-Tuned Terahertz Absorber Based on MoS2/Graphene Nanoribbon Structure. Nanomaterials, 13(11), 1716. https://doi.org/10.3390/nano13111716

