Phonon-Assisted Tunneling through Quantum Dot Systems Connected to Majorana Bound States
Abstract
1. Introduction
2. Theory
3. Results and Discussion
- (i)
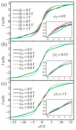
- The effect of QD–MBS coupling and bias voltage V on current vs. gate voltage characteristics
- (ii)
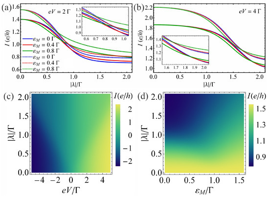
- The effect of MBS overlap energy on current vs. gate voltage characteristics
- (iii)
- The effect of QD–MBS coupling and MBS overlap energy on current vs. bias voltage characteristics
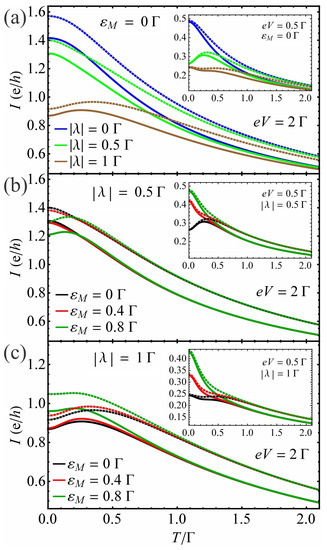
- (iv)
- The effect of dot–MBS coupling and Majorana overlap energy on current vs. temperature characteristics
4. Conclusions
Author Contributions
Funding
Institutional Review Board Statement
Informed Consent Statement
Data Availability Statement
Acknowledgments
Conflicts of Interest
Abbreviations
| QD | Quantum Dot |
| MBS | Majorana Bound State |
| EPI | Electron–Phonon Interaction |
| SC | Superconductor |
| TSNW | Topological Superconducting Nanowire |
References
- Kitaev, A.Y. Unpaired Majorana fermions in quantum wires. Phys. Usp. 2001, 44, 131–136. [Google Scholar] [CrossRef]
- Kitaev, A. Anyons in an exactly solved model and beyond. Ann. Phys. 2006, 321, 2–111. [Google Scholar] [CrossRef]
- Nayak, C.; Simon, S.H.; Stern, A.; Freedman, M.; Das Sarma, S. Non-Abelian anyons and topological quantum computation. Rev. Mod. Phys. 2008, 80, 1083–1159. [Google Scholar] [CrossRef]
- Alicea, J. New directions in the pursuit of Majorana fermions in solid state systems. Rep. Prog. Phys. 2012, 75, 076501. [Google Scholar] [CrossRef]
- Aguado, R. Majorana quasiparticles in condensed matter. Riv. Nuovo Cim. 2017, 40, 523–593. [Google Scholar] [CrossRef]
- Lutchyn, R.M.; Sau, J.D.; Das Sarma, S. Majorana Fermions and a Topological Phase Transition in Semiconductor-Superconductor Heterostructures. Phys. Rev. Lett. 2010, 105, 077001. [Google Scholar] [CrossRef]
- Oreg, Y.; Refael, G.; von Oppen, F. Helical Liquids and Majorana Bound States in Quantum Wires. Phys. Rev. Lett. 2010, 105, 177002. [Google Scholar] [CrossRef]
- Mourik, V.; Zuo, K.; Frolov, S.M.; Plissard, S.R.; Bakkers, E.P.A.M.; Kouwenhoven, L.P. Signatures of Majorana Fermions in Hybrid Superconductor-Semiconductor Nanowire Devices. Science 2012, 336, 1003. [Google Scholar] [CrossRef]
- Fu, L.; Kane, C.L. Superconducting Proximity Effect and Majorana Fermions at the Surface of a Topological Insulator. Phys. Rev. Lett. 2008, 100, 096407. [Google Scholar] [CrossRef]
- Choy, T.P.; Edge, J.M.; Akhmerov, A.R.; Beenakker, C.W.J. Majorana fermions emerging from magnetic nanoparticles on a superconductor without spin–orbit coupling. Phys. Rev. B 2011, 84, 195442. [Google Scholar] [CrossRef]
- Kjaergaard, M.; Wölms, K.; Flensberg, K. Majorana fermions in superconducting nanowires without spin–orbit coupling. Phys. Rev. B 2012, 85, 020503. [Google Scholar] [CrossRef]
- Read, N.; Green, D. Paired states of fermions in two dimensions with breaking of parity and time-reversal symmetries and the fractional quantum Hall effect. Phys. Rev. B 2000, 61, 10267–10297. [Google Scholar] [CrossRef]
- Stone, M.; Roy, R. Edge modes, edge currents and gauge invariance in px+ipy superfluids and superconductors. Phys. Rev. B 2004, 69, 184511. [Google Scholar] [CrossRef]
- Flensberg, K. Non-Abelian Operations on Majorana Fermions via Single-Charge Control. Phys. Rev. Lett. 2011, 106, 090503. [Google Scholar] [CrossRef] [PubMed]
- Liu, D.E.; Baranger, H.U. Detecting a Majorana-fermion zero mode using a quantum dot. Phys. Rev. B 2011, 84, 201308. [Google Scholar] [CrossRef]
- Zou, W.K.; Wang, Q.; Zhao, H.K. Dynamic heat and charge transports through double-quantum-dot-interferometer modulated by Majorana bound states and time-oscillating Aharonov-Bohm flux. J. Phys. Condens. 2023, 35, 165303. [Google Scholar] [CrossRef] [PubMed]
- Leijnse, M. Thermoelectric signatures of a Majorana bound state coupled to a quantum dot. New J. Phys. 2014, 16, 015029. [Google Scholar] [CrossRef]
- López, R.; Lee, M.; Serra, L.; Lim, J.S. Thermoelectrical detection of Majorana states. Phys. Rev. B 2014, 89, 205418. [Google Scholar] [CrossRef]
- Khim, H.; López, R.; Lim, J.S.; Lee, M. Thermoelectric effect in the Kondo dot side-coupled to a Majorana mode. Eur. Phys. J. B 2015, 88, 015029. [Google Scholar] [CrossRef]
- Chi, F.; Fu, Z.G.; Liu, J.; Li, K.M.; Wang, Z.; Zhang, P. Thermoelectric Effect in a Correlated Quantum Dot Side-Coupled to Majorana Bound States. Nanoscale Res. Lett. 2020, 15, 79. [Google Scholar] [CrossRef]
- Grosu, I.; Tifrea, I. Thermoelectric transport properties of single quantum dot systems in the presence of Majorana states. Phys. E 2023, 145, 115503. [Google Scholar] [CrossRef]
- Cao, Y.; Wang, P.; Xiong, G.; Gong, M.; Li, X.Q. Probing the existence and dynamics of Majorana fermion via transport through a quantum dot. Phys. Rev. B 2012, 86, 115311. [Google Scholar] [CrossRef]
- Lee, M.; Lim, J.S.; López, R. Kondo effect in a quantum dot side-coupled to a topological superconductor. Phys. Rev. B 2013, 87, 241402. [Google Scholar] [CrossRef]
- Vernek, E.; Penteado, P.H.; Seridonio, A.C.; Egues, J.C. Subtle leakage of a Majorana mode into a quantum dot. Phys. Rev. B 2014, 89, 165314. [Google Scholar] [CrossRef]
- Dessotti, F.A.; Ricco, L.S.; de Souza, M.; Souza, F.M.; Seridonio, A.C. Probing the antisymmetric Fano interference assisted by a Majorana fermion. J. Appl. Phys. 2014, 116, 173701. [Google Scholar] [CrossRef]
- Stefański, P. Signatures of Majorana States in Electron Transport through a Quantum Dot Coupled to a Topological Wire. Acta Phys. Pol. A 2015, 127, 198–200. [Google Scholar] [CrossRef]
- Zeng, Q.B.; Chen, S.; You, L.; Lü, R. Transport through a quantum dot coupled to two Majorana bound states. Front. Phys. 2016, 12, 127302. [Google Scholar] [CrossRef]
- Calle, A.M.; Pacheco, M.; Orellana, P.A.; Otálora, J.A. Fano-andreev and Fano-Majorana Correspondence in Quantum Dot Hybrid Structures. Ann. Phys. 2020, 532, 1900409. [Google Scholar] [CrossRef]
- Ricco, L.S.; Marques, Y.; Sanches, J.E.; Shelykh, I.A.; Seridonio, A.C. Interaction induced hybridization of Majorana zero modes in a coupled quantum-dot–superconducting-nanowire hybrid system. Phys. Rev. B 2020, 102, 165104. [Google Scholar] [CrossRef]
- Majek, P.; Weymann, I. Majorana mode leaking into a spin-charge entangled double quantum dot. Phys. Rev. B 2021, 104, 085416. [Google Scholar] [CrossRef]
- Smirnov, S. Majorana ensembles with fractional entropy and conductance in nanoscopic systems. Phys. Rev. B 2021, 104, 205406. [Google Scholar] [CrossRef]
- Gong, T.; Zhang, L.L.; Dai, X.F.; Jiang, C.; Gong, W.J. Double resonant tunneling due to the nonlocal coupling of Majorana bound states to the quantum dot system. Eur. Phys. J. Plus 2022, 137, 122. [Google Scholar] [CrossRef]
- Gong, T.; Zhang, L.L.; Zhang, S.F.; Jiang, C.; Gong, W.J. Two-stage decoupling effect in electron transport through T-shaped quantum dots coupled via Majorana bound states. Ann. Phys. 2022, 447, 169143. [Google Scholar] [CrossRef]
- Jiang, C.; Meng, G.Y.; Gong, T.; Zhang, L.L. Zero-bias conductance modification in the quantum-dot system with side-coupled Majorana bound states. Appl. Phys. A 2022, 128, 533. [Google Scholar] [CrossRef]
- Lü, H.F.; Lu, H.Z.; Shen, S.Q. Nonlocal noise cross correlation mediated by entangled Majorana fermions. Phys. Rev. B 2012, 86, 075318. [Google Scholar] [CrossRef]
- Chen, Q.; Chen, K.Q.; Zhao, H.K. Shot noise in a quantum dot system coupled with Majorana bound states. J. Phys. Condens. Matter 2014, 26, 315011. [Google Scholar] [CrossRef]
- Lü, H.F.; Lu, H.Z.; Shen, S.Q. Current noise cross correlation mediated by Majorana bound states. Phys. Rev. B 2014, 90, 195404. [Google Scholar] [CrossRef]
- Smirnov, S. Revealing universal Majorana fractionalization using differential shot noise and conductance in nonequilibrium states controlled by tunneling phases. Phys. Rev. B 2022, 105, 205430. [Google Scholar] [CrossRef]
- Lee, Y.L.; Lee, Y.W. Interplay between Coulomb blockade and Josephson effect in a topological superconductor–quantum dot device. Phys. Rev. B 2016, 93, 184502. [Google Scholar] [CrossRef]
- Chi, F.; Jia, Q.S.; Liu, J.; Gao, Q.G.; Yi, Z.C.; Liu, L.M. Electronic Tunnelling in Superconductor/Quantum-Dot Josephson Junction Side-Coupled to Majorana Nanowire. Coatings 2023, 13, 612. [Google Scholar] [CrossRef]
- Finck, A.D.K.; Van Harlingen, D.J.; Mohseni, P.K.; Jung, K.; Li, X. Anomalous Modulation of a Zero-Bias Peak in a Hybrid Nanowire-Superconductor Device. Phys. Rev. Lett. 2013, 110, 126406. [Google Scholar] [CrossRef] [PubMed]
- Lee, E.J.H.; Jiang, X.; Houzet, M.; Aguado, R.; Lieber, C.M.; De Franceschi, S. Spin-resolved andreev levels and parity crossings in hybrid superconductor–semiconductor nanostructures. Nat. Nanotechnol. 2014, 9, 79–84. [Google Scholar] [CrossRef]
- Chen, J.; Yu, P.; Stenger, J.; Hocevar, M.; Car, D.; Plissard, S.R.; Bakkers, E.P.A.M.; Stanescu, T.D.; Frolov, S.M. Experimental phase diagram of zero-bias conductance peaks in superconductor/semiconductor nanowire devices. Sci. Adv. 2017, 3, e1701476. [Google Scholar] [CrossRef] [PubMed]
- Zhang, H.; Gül, O.; Conesa-Boj, S.; Nowak, M.P.; Wimmer, M.; Zuo, K.; Mourik, V.; de Vries, F.K.; van Veen, J.; de Moor, M.W.A.; et al. Ballistic superconductivity in semiconductor nanowires. Nat. Commun. 2017, 8, 16025. [Google Scholar] [CrossRef] [PubMed]
- Lutchyn, R.M.; Bakkers, E.P.A.M.; Kouwenhoven, L.P.; Krogstrup, P.; Marcus, C.M.; Oreg, Y. Majorana zero modes in superconductor–semiconductor heterostructures. Nat. Rev. Mater. 2018, 3, 52–68. [Google Scholar] [CrossRef]
- Deng, M.T.; Vaitiekenas, S.; Hansen, E.B.; Danon, J.; Leijnse, M.; Flensberg, K.; Nygård, J.; Krogstrup, P.; Marcus, C.M. Majorana bound state in a coupled quantum-dot hybrid-nanowire system. Science 2016, 354, 1557–1562. [Google Scholar] [CrossRef]
- Sherman, D.; Yodh, J.S.; Albrecht, S.M.; Nygård, J.; Krogstrup, P.; Marcus, C.M. Normal, superconducting and topological regimes of hybrid double quantum dots. Nat. Nanotechnol. 2017, 12, 212–217. [Google Scholar] [CrossRef]
- Deng, M.T.; Vaitiekėnas, S.; Prada, E.; San-Jose, P.; Nygård, J.; Krogstrup, P.; Aguado, R.; Marcus, C.M. Nonlocality of Majorana modes in hybrid nanowires. Phys. Rev. B 2018, 98, 085125. [Google Scholar] [CrossRef]
- Tang, H.Z.; Zhang, Y.T.; Liu, J.J. Photon-assisted tunneling through a topological superconductor with Majorana bound states. AIP Adv. 2015, 5, 127129. [Google Scholar] [CrossRef]
- Chi, F.; He, T.Y.; Wang, J.; Fu, Z.G.; Liu, L.M.; Liu, P.; Zhang, P. Photon-Assisted Transport Through a Quantum Dot Side-Coupled to Majorana Bound States. Front. Phys. (Lausanne) 2020, 8, 254. [Google Scholar] [CrossRef]
- He, T.Y.; Sun, H.; Zhou, G. Photon-Assisted Seebeck Effect in a Quantum Dot Coupled to Majorana Zero Modes. Front. Phys. (Lausanne) 2021, 9, 687438. [Google Scholar] [CrossRef]
- Ricco, L.S.; Kozin, V.K.; Seridonio, A.C.; Shelykh, I.A. Reshaping the Jaynes-Cummings ladder with Majorana bound states. Phys. Rev. A 2022, 106, 023702. [Google Scholar] [CrossRef]
- Ricco, L.S.; Kozin, V.K.; Seridonio, A.C.; Shelykh, I.A. Accessing the degree of Majorana nonlocality in a quantum dot-optical microcavity system. Sci. Rep. 2022, 12, 1983. [Google Scholar] [CrossRef] [PubMed]
- van Zanten, D.M.T.; Sabonis, D.; Suter, J.; Väyrynen, J.I.; Karzig, T.; Pikulin, D.I.; O’Farrell, E.C.T.; Razmadze, D.; Petersson, K.D.; Krogstrup, P.; et al. Photon-assisted tunnelling of zero modes in a Majorana wire. Nat. Phys. 2020, 16, 663. [Google Scholar] [CrossRef]
- Dai, N.; Sun, Q.F. Phonon-assisted andreev reflection at a Majorana zero mode. Phys. Rev. B 2019, 99, 085436. [Google Scholar] [CrossRef]
- Wang, X.Q.; Wu, B.; Zhang, S.F.; Wang, Q.; Gong, W.J. Influences of electron–phonon interaction on quantum transport through one quantum-dot system with side-coupled Majorana zero mode. Ann. Phys. 2020, 415, 168127. [Google Scholar] [CrossRef]
- Wang, X.D.; Wang, X.Q.; Sun, H.Y.; Dai, X.F.; Wang, Q.; Gong, W.J. Phonon-assisted andreev reflection driven by a Majorana zero mode. Phys. Scr. 2021, 96, 015805. [Google Scholar] [CrossRef]
- Wang, Z.H. Heat Generation by Electrical Current in a Quantum Dot Hybridized to Majorana Nanowires. Front. Phys. (Lausanne) 2021, 9, 704493. [Google Scholar] [CrossRef]
- Wang, Z.H.; Huang, W.C. Dual Negative Differential of Heat Generation in a Strongly Correlated Quantum Dot Side-Coupled to Majorana Bound States. Front. Phys. (Lausanne) 2021, 9, 727934. [Google Scholar] [CrossRef]
- Máthé, L.; Sticlet, D.; Zârbo, L.P. Quantum transport through a quantum dot side-coupled to a Majorana bound state pair in the presence of electron–phonon interaction. Phys. Rev. B 2022, 105, 155409. [Google Scholar] [CrossRef]
- Zhu, J.X.; Balatsky, A.V. Theory of current and shot-noise spectroscopy in single-molecular quantum dots with a phonon mode. Phys. Rev. B 2003, 67, 165326. [Google Scholar] [CrossRef]
- Chen, Z.Z.; Lü, R.; Zhu, B.F. Effects of electron–phonon interaction on nonequilibrium transport through a single-molecule transistor. Phys. Rev. B 2005, 71, 165324. [Google Scholar] [CrossRef]
- Ramos-andrade, J.P.; Orellana, P.A.; Ulloa, S.E. Detecting coupling of Majorana bound states with an Aharonov–Bohm interferometer. J. Phys. Condens. Matter 2018, 30, 045301. [Google Scholar] [CrossRef] [PubMed]
- Jauho, A.P.; Wingreen, N.S.; Meir, Y. Time-dependent transport in interacting and noninteracting resonant-tunneling systems. Phys. Rev. B 1994, 50, 5528–5544. [Google Scholar] [CrossRef] [PubMed]
- Sun, Q.f.; Wang, B.G.; Wang, J.; Lin, T.H. Electron transport through a mesoscopic hybrid multiterminal resonant-tunneling system. Phys. Rev. B 2000, 61, 4754–4761. [Google Scholar] [CrossRef]
- Michałek, G.; Bułka, B.R.; Domański, T.; Wysokiński, K.I. Interplay between direct and crossed andreev reflections in hybrid nanostructures. Phys. Rev. B 2013, 88, 155425. [Google Scholar] [CrossRef]
- Hwang, S.Y.; López, R.; Sánchez, D. Cross thermoelectric coupling in normal-superconductor quantum dots. Phys. Rev. B 2015, 91, 104518. [Google Scholar] [CrossRef]
- Bocian, K.; Rudziński, W. Phonon-assisted andreev reflection in a hybrid junction based on a quantum dot. Eur. Phys. J. B 2015, 88, 50. [Google Scholar] [CrossRef]
- Świrkowicz, R.; Wilczyński, M.; Barnaś, J. The Kondo effect in quantum dots coupled to ferromagnetic leads with noncollinear magnetizations: Effects due to electron–phonon coupling. J. Phys. Condens. Matter 2008, 20, 255219. [Google Scholar] [CrossRef]
- Máthé, L.; Grosu, I. Transport Through a Quantum Dot with Electron-Phonon Interaction. Mater. Today Proc. 2018, 5, 15878–15887. [Google Scholar] [CrossRef]
- Zhang, S.N.; Pei, W.; Fang, T.F.; Sun, Q.F. Phonon-assisted transport through quantum dots with normal and superconducting leads. Phys. Rev. B 2012, 86, 104513. [Google Scholar] [CrossRef]
- Máthé, L.; Grosu, I. Nonequilibrium Kondo effect in a graphene-coupled quantum dot in the presence of a magnetic field. Beilstein J. Nanotechnol. 2020, 11, 225–239. [Google Scholar] [CrossRef]
- Sun, Q.f.; Xie, X.C. Heat generation by electric current in mesoscopic devices. Phys. Rev. B 2007, 75, 155306. [Google Scholar] [CrossRef]
- Zimbovskaya, N.A. Electron transport through a quantum dot in the Coulomb blockade regime: Nonequilibrium Green’s function based model. Phys. Rev. B 2008, 78, 035331. [Google Scholar] [CrossRef]
- Zhou, L.L.; Zhou, X.Y.; Cheng, R. Electron tunneling through a coupled system of electron and phonon. Chin. J. Phys. 2019, 60, 307–312. [Google Scholar] [CrossRef]
- Razmadze, D.; O’Farrell, E.C.T.; Krogstrup, P.; Marcus, C.M. Quantum Dot Parity Effects in Trivial and Topological Josephson Junctions. Phys. Rev. Lett. 2020, 125, 116803. [Google Scholar] [CrossRef]






Disclaimer/Publisher’s Note: The statements, opinions and data contained in all publications are solely those of the individual author(s) and contributor(s) and not of MDPI and/or the editor(s). MDPI and/or the editor(s) disclaim responsibility for any injury to people or property resulting from any ideas, methods, instructions or products referred to in the content. |
© 2023 by the authors. Licensee MDPI, Basel, Switzerland. This article is an open access article distributed under the terms and conditions of the Creative Commons Attribution (CC BY) license (https://creativecommons.org/licenses/by/4.0/).
Share and Cite
Máthé, L.; Kovács-Krausz, Z.; Botiz, I.; Grosu, I.; El Anouz, K.; El Allati, A.; Zârbo, L.P. Phonon-Assisted Tunneling through Quantum Dot Systems Connected to Majorana Bound States. Nanomaterials 2023, 13, 1616. https://doi.org/10.3390/nano13101616
Máthé L, Kovács-Krausz Z, Botiz I, Grosu I, El Anouz K, El Allati A, Zârbo LP. Phonon-Assisted Tunneling through Quantum Dot Systems Connected to Majorana Bound States. Nanomaterials. 2023; 13(10):1616. https://doi.org/10.3390/nano13101616
Chicago/Turabian StyleMáthé, Levente, Zoltán Kovács-Krausz, Ioan Botiz, Ioan Grosu, Khadija El Anouz, Abderrahim El Allati, and Liviu P. Zârbo. 2023. "Phonon-Assisted Tunneling through Quantum Dot Systems Connected to Majorana Bound States" Nanomaterials 13, no. 10: 1616. https://doi.org/10.3390/nano13101616
APA StyleMáthé, L., Kovács-Krausz, Z., Botiz, I., Grosu, I., El Anouz, K., El Allati, A., & Zârbo, L. P. (2023). Phonon-Assisted Tunneling through Quantum Dot Systems Connected to Majorana Bound States. Nanomaterials, 13(10), 1616. https://doi.org/10.3390/nano13101616

