Funneling of Oblique Incident Light through Subwavelength Metallic Slits
Abstract
1. Introduction
2. Materials and Methods
3. Results
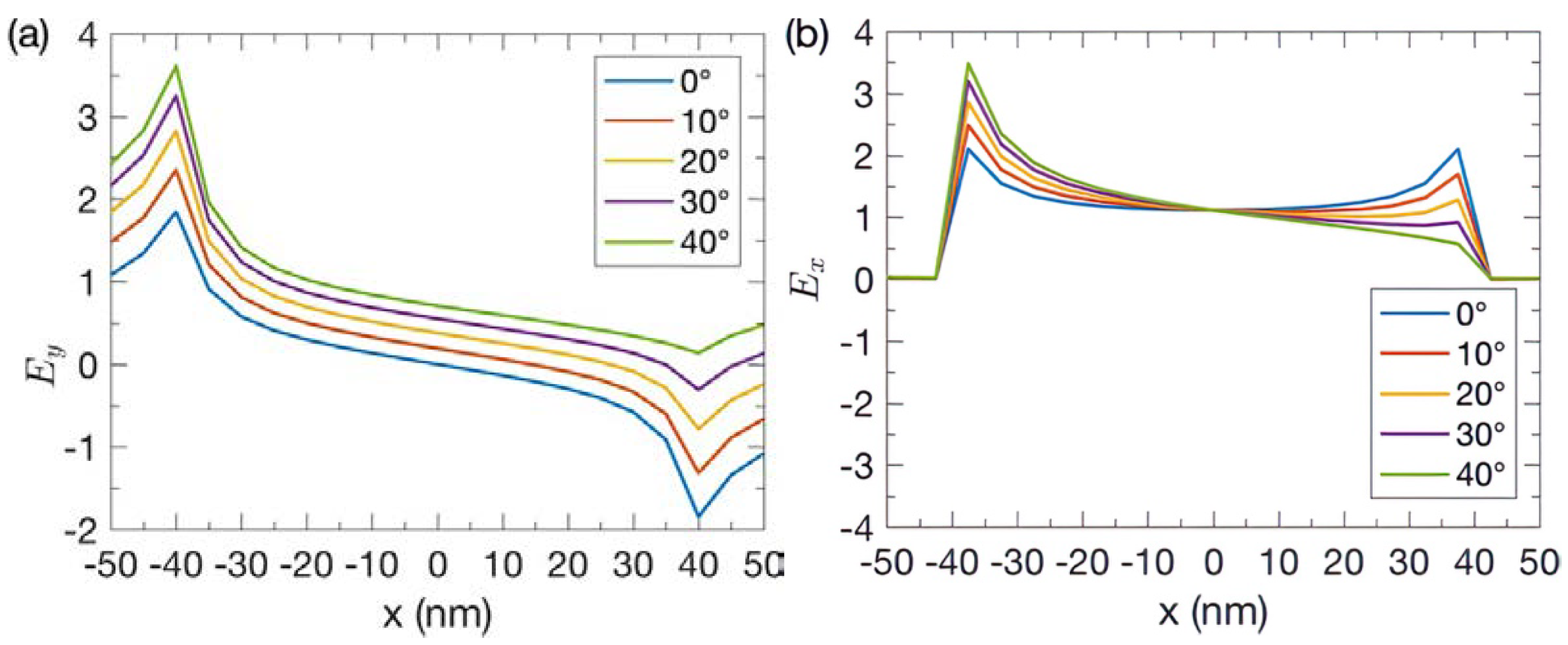
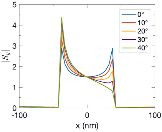
3.1. Asymmetric Funneling at Oblique Incidence
3.2. Mechanism of Asymmetrical Funneling
4. Conclusions
Author Contributions
Funding
Data Availability Statement
Acknowledgments
Conflicts of Interest
References
- Bethe, H.A. Theory of Diffraction by Small Holes. Phys. Rev. 1944, 66, 163. [Google Scholar] [CrossRef]
- Ebbesen, T.W.; Lezec, H.J.; Ghaemi, H.F.; Thio, T.; Wolff, P.A. Extraordinary optical transmission through sub-wavelength hole arrays. Nature 1998, 391, 667–669. [Google Scholar] [CrossRef]
- Porto, J.A.; García-Vidal, F.J.; Pendry, J.B. Transmission Resonances on Metallic Gratings with Very Narrow Slits. Phys. Rev. Lett. 1999, 83, 2845–2848. [Google Scholar] [CrossRef]
- Takakura, Y. Optical Resonance in a Narrow Slit in a Thick Metallic Screen. Phys. Rev. Lett. 2001, 86, 5601–5603. [Google Scholar] [CrossRef] [PubMed]
- Pardo, F.; Bouchon, P.; Haïdar, R.; Pelouard, J.L. Light Funneling Mechanism Explained by Magnetoelectric Interference. Phys. Rev. Lett. 2011, 107, 093902. [Google Scholar] [CrossRef]
- Li, J.W.; Hong, J.S.; Chou, W.T.; Huang, D.J.; Chen, K.R. Light funneling profile during enhanced transmission through a subwavelength metallic slit. Plasmonics 2018, 13, 2249–2254. [Google Scholar] [CrossRef]
- Hong, J.S.; Chen, A.E.; Chen, K.R. Modulated light transmission through a subwavelength slit at early stage. Opt. Express 2015, 23, 9901–9910. [Google Scholar] [CrossRef][Green Version]
- Chen, A.E.; Hong, J.S.; Chen, K.R. Physics of anomalous transient light transmission through subwavelength metallic slit. Plasmonics 2021, 16, 915–922. [Google Scholar] [CrossRef]
- Nikitin, A.Y.; Zueco, D.; García-Vidal, F.J.; Martín-Moreno, L. Electromagnetic wave transmission through a small hole in a perfect electric conductor of finite thickness. Phys. Rev. B 2008, 78, 165429. [Google Scholar] [CrossRef]
- Chang, S.H.; Su, Y.L. Mapping of transmission spectrum between plasmonic and nonplasmonic single slits. I: Resonant transmission. J. Opt. Soc. Am. B 2015, 32, 38–44. [Google Scholar] [CrossRef]
- Chang, S.H.; Su, Y.L. Mapping of transmission spectrum between plasmonic and nonplasmonic single slits. II: Nonresonant transmission. J. Opt. Soc. Am. B 2015, 32, 45–51. [Google Scholar] [CrossRef]
- Astilean, S.; Lalanne, P.; Palamaru, M. Light transmission through metallic channels much smaller than the wavelength. Opt. Commun. 2000, 175, 265–273. [Google Scholar] [CrossRef]
- Liu, H.T.; Lalanne, P. Microscopic theory of the extraordinary optical transmission. Nature 2008, 452, 728–731. [Google Scholar] [CrossRef] [PubMed]
- Pendry, J.B.; Martín-Moreno, L.; Garcia-Vidal, F.J. Mimicking Surface Plasmons with Structured Surfaces. Science 2004, 305, 847–848. [Google Scholar] [CrossRef] [PubMed]
- van Beijnum, F.; Retif, C.; Smiet, C.B.; Liu, H.T.; Lalanne, P.; van Exter, M.P. Quasi-cylindrical wave contribution in experiments on extraordinary optical transmission. Nature 2012, 492, 411–414. [Google Scholar] [CrossRef]
- Chen, K.R. Focusing of light beyond the diffraction limit of half the wavelength. Opt. Lett. 2010, 35, 3763–3765. [Google Scholar] [CrossRef] [PubMed]
- Chen, K.R.; Chu, W.H.; Fang, H.C.; Liu, C.P.; Huang, C.H.; Chui, H.C.; Chuang, C.H.; Lo, Y.L.; Lin, C.Y.; Hwung, H.H.; et al. Beyond-limit light focusing in the intermediate zone. Opt. Lett. 2011, 36, 4497–4499. [Google Scholar] [CrossRef] [PubMed]
- Novotny, L.; van Hulst, N. Antennas for light. Nat. Photonics. 2011, 5, 83–90. [Google Scholar] [CrossRef]
- Kim, K.Y.; Goncharenko, A.V.; Hong, J.S.; Chen, K.R. Near-field Characterization on Light Emanated from Subwavelength Plasmonic Double Slit of Finite Length. J. Opt. Soc. Korea 2011, 15, 196–201. [Google Scholar] [CrossRef][Green Version]
- Fang, N.; Lee, H.; Sun, C.; Zhang, X. Diffraction-Limited Optical Imaging with a Silver Superlens. Science 2005, 308, 534. [Google Scholar] [CrossRef]
- Catrysse, P.B.; Wandell, B.A. Integrated color pixels in 0.18-µm complementary metal oxide semiconductor technology. J. Opt. Soc. Am. A 2003, 20, 2293–2306. [Google Scholar] [CrossRef] [PubMed]
- Goncharenko, A.V.; Kim, K.Y.; Hong, J.S.; Chen, K.R. Complex mechanism of enhanced optical transmission through a composite coaxilal/circular aperture. Plasmonics 2012, 7, 417–426. [Google Scholar] [CrossRef]
- Xu, T.; Wu, Y.K.; Luo, X.; Guo, L.J. Plasmonic nanoresonators for high-resolution colour filtering and spectral imaging. Nat. Commun. 2010, 1, 59. [Google Scholar] [CrossRef] [PubMed]
- Rodrigo, S.G.; de León-Pérez, F.; Martín-Moreno, L. Extraordinary Optical Transmission: Fundamentals and Applications. Proc. IEEE 2016, 104, 2288–2306. [Google Scholar] [CrossRef]
- Hong, J.S.; Chen, K.R. Light diffraction by a slit and grooves with a point source model based on wave dynamics. Phys. Rev. A 2017, 96, 043813. [Google Scholar] [CrossRef]
- Karelits, M.; Lozitsky, E.; Chelly, A.; Zalevsky, Z.; Karsenty, A. Advanced Surface Probing Using a Dual-Mode NSOM–AFM Silicon-Based Photosensor. Nanomaterials 2019, 9, 1792. [Google Scholar] [CrossRef]
- Nalimov, A.; Kotlyar, V. Ultra-Thin, Short-Focus, and High-Aperture Metalens for Generating and Detecting Laser Optical Vortices. Nanomaterials 2022, 12, 2602. [Google Scholar] [CrossRef]
- Luo, M.Y.; Li, X.; Zhang, Z.J.; Ma, H.S.; Du, T.; Jiang, X.P.; Zhang, Z.R.; Yang, J.B. Tunable Infrared Detection, Radiative Cooling and Infrared-Laser Compatible Camouflage Based on a Multifunctional Nanostructure with Phase-Change Material. Nanomaterials 2022, 12, 2261. [Google Scholar] [CrossRef]
- Shah, Y.D.; Connolly, P.W.R.; Grant, J.P.; Hao, D.; Accarino, C.; Ren, X.; Kenney, M.; Annese, V.; Rew, K.G.; Greener, Z.M.; et al. Ultralow-light-level color image reconstruction using high-efficiency plasmonic metasurface mosaic filters. Optica 2020, 7, 632–639. [Google Scholar] [CrossRef]
- Sarkar, S.; Gupta, V.; Tsuda, T.; Gour, J.; Singh, A.; Aftenieva, O.; Steiner, A.M.; Hoffmann, M.; Kumar, S.; Fery, A.; et al. Plasmonic Charge Transfers in Large-Scale Metallic and Colloidal Photonic Crystal Slabs. Adv. Funct. Mater. 2021, 31, 202011099. [Google Scholar] [CrossRef]
- Bludov, Y.V.; Peres, N.M.R.; Vasilevskiy, M.I. Symmetric Graphene Dielectric Nanowaveguides as Ultra-Compact Photonic Structures. Phys. Rev. B 2020, 101, 075415. [Google Scholar] [CrossRef]
- Hong, J.S.; Chen, K.R. Inward electromagnetic wave coupling in hybrid subwavelength structures illuminated with secondary imaging. Chin. J. Phys. 2021, 72, 688–699. [Google Scholar] [CrossRef]
- Elshorbagy, M.H.; Cuadrado, A.; Alda, J. Plasmonic Sensors Based on Funneling Light Through Nanophotonic Structures. Plasmonics 2020, 15, 915–921. [Google Scholar] [CrossRef]
- Chen, C.M.; Young, C.K.; Chen, K.R.; Lan, Y.C. Spiral surface plasmon modes on uniform and tapered metallic nanorods. J. Opt. Soc. Am. B 2013, 30, 2529–2534. [Google Scholar] [CrossRef]
- Salman, D.; Prince, B. Pyramid-shaped plasmonic slit for optical transmission. Opt. Mater. 2019, 88, 266–270. [Google Scholar]
- Hong, J.S.; Wang, T.K.; Chen, A.E.; Li, H.N.; Chen, K.R. Source Image Squeezing and Field Tunneling for Propagating Light Beyond-Limit Focusing to Reach the Intermediate Zone. Plasmonics 2020, 16, 619–628. [Google Scholar] [CrossRef]
- Novotny, L.; Hecht, B. Principles of Nano-Optics, 3rd ed.; Cambridge University Press: Cambridge, UK, 2006; pp. 154–196. [Google Scholar]
- Vincenti, M.A.; de Ceglia, D.; Buncick, M.; Akozbek, N.; Bloemer, M.J.; Scalora, M. Extraordinary transmission in the ultraviolet range from subwavelength slits on semiconductors. J. Appl. Phys. 2010, 107, 053101. [Google Scholar] [CrossRef]
- García-Vidal, F.J.; Martín-Moreno, L. Transmission and focusing of light in one-dimensional periodically nanostructured metals. Phy. Rev. B 2002, 66, 155412. [Google Scholar] [CrossRef]
- Zeng, Y.; Fu, Y.; Chen, X.S.; Lu, W.; Agren, H. Dynamics of the damping oscillator formed by the collective generation of surface polaritons for extraordinary light transmission through subwavelength hole arrays in thin metal films. Phy. Rev. B 2007, 76, 8. [Google Scholar] [CrossRef]
- Zhu, P.; Jin, P.; Shi, H.; Guo, L.J. Funneling light into subwavelength grooves in metal/dielectric multilayer films. Opt. Express 2013, 21, 3595–3602. [Google Scholar] [CrossRef]
- Jazayeri, A.M.; Mehrany, K. All-dielectric structure for trapping nanoparticles via light funneling and nanofocusing. J. Opt. Soc. Am. B 2017, 34, 2179–2184. [Google Scholar] [CrossRef]
- Kamalieva, A.N.; Toropov, N.A.; Vartanyan, T.A.; Baranov, M.A.; Parfenov, P.S.; Bogdanov, K.V.; Zharova, Y.A.; Tolmachev, V.A. Fabrication of Silicon Nanostructures for Application in Photonics. Semiconductors 2018, 52, 632–635. [Google Scholar] [CrossRef]
- Xi, Y.G.; Jung, Y.S.; Kim, H.K. Interaction of light with a metal wedge: The role of diffraction in shaping energy flow. Opt Express 2010, 18, 2588–2600. [Google Scholar] [CrossRef] [PubMed]
- Lee, J.W.; Seo, M.A.; Sohn, J.Y.; Ahn, Y.H.; Kim, D.S.; Jeoung, S.C.; Lienau, C.; Park, Q.H. Invisible plasmonic meta-materials through impedance matching to vacuum. Opt. Express 2005, 13, 10681–10687. [Google Scholar] [CrossRef]
- Han, Y.; Lin, Y.; Ma, W.; Korvink, J.G.; Duan, H.; Deng, Y. Nanoantennas Inversely Designed to Couple Free Space and a Metal–Insulator–Metal Waveguide. Nanomaterials 2021, 11, 3219. [Google Scholar] [CrossRef]
- Aminian, A.; Rahmat-Samii, Y. Spectral FDTD: A novel technique for the analysis of oblique incident plane wave on periodic structures. IEEE Trans. Antennas Propag. 2006, 54, 1818–1825. [Google Scholar] [CrossRef]
- Bortchagovsky, E.; des Francs, G.C.; Molenda, D.; Naber, A.; Fischer, U.C. Transmission of an obliquely incident beam of light through small apertures in a metal film. Appl. Phys. B 2006, 84, 49–53. [Google Scholar] [CrossRef]
- Kim, W.; Guo, J.; Hendrickson, J. Subwavelength metal grating metamaterial for polarization-selective optical antireflection coating. J. Opt. Soc. Am. B 2015, 32, 1392–1398. [Google Scholar] [CrossRef]
- Tsai, C.H.; Chang, S.H.; Tseng, S.H. Applying the Optical Theorem in a Finite-Difference Time-Domain Simulation of Light Scattering. IEEE Trans. Antennas Propag. 2010, 58, 3091–3094. [Google Scholar] [CrossRef]
- Derby, J.J.; Atherton, L.J.; Gresho, P.M. An integrated process model for the growth of oxide crystals by the Czochralski method. J. Cryst. Growth 1989, 97, 792–826. [Google Scholar] [CrossRef]
- Villora, E.G.; Morioka, Y.; Atou, T.; Sugawara, T.; Kikuchi, M.; Fukuda, T. Infrared Reflectance and Electrical Conductivity of β-Ga2O3. Phys. Stat. Sol. 2002, 193, 187–195. [Google Scholar] [CrossRef]
- Ida, N. Engineering Electromagnetics, 3rd ed.; Springer International Publishing: Cham, Switzerland, 2015; p. 691. [Google Scholar]
- Xie, Y.; Zakharian, A.R.; Moloney, J.V.; Mansuripur, M. Transmission of light through slit apertures in metallic films. Opt. Express 2004, 12, 6106–6121. [Google Scholar] [CrossRef] [PubMed]




Disclaimer/Publisher’s Note: The statements, opinions and data contained in all publications are solely those of the individual author(s) and contributor(s) and not of MDPI and/or the editor(s). MDPI and/or the editor(s) disclaim responsibility for any injury to people or property resulting from any ideas, methods, instructions or products referred to in the content. |
© 2022 by the authors. Licensee MDPI, Basel, Switzerland. This article is an open access article distributed under the terms and conditions of the Creative Commons Attribution (CC BY) license (https://creativecommons.org/licenses/by/4.0/).
Share and Cite
Chen, A.E.; Xia, X.-Q.; Hong, J.-S.; Chen, K.-R. Funneling of Oblique Incident Light through Subwavelength Metallic Slits. Nanomaterials 2023, 13, 61. https://doi.org/10.3390/nano13010061
Chen AE, Xia X-Q, Hong J-S, Chen K-R. Funneling of Oblique Incident Light through Subwavelength Metallic Slits. Nanomaterials. 2023; 13(1):61. https://doi.org/10.3390/nano13010061
Chicago/Turabian StyleChen, Alex E., Xue-Qun Xia, Jian-Shiung Hong, and Kuan-Ren Chen. 2023. "Funneling of Oblique Incident Light through Subwavelength Metallic Slits" Nanomaterials 13, no. 1: 61. https://doi.org/10.3390/nano13010061
APA StyleChen, A. E., Xia, X.-Q., Hong, J.-S., & Chen, K.-R. (2023). Funneling of Oblique Incident Light through Subwavelength Metallic Slits. Nanomaterials, 13(1), 61. https://doi.org/10.3390/nano13010061
