Molybdenum Diselenide and Tungsten Diselenide Interfacing Cobalt-Porphyrin for Electrocatalytic Hydrogen Evolution in Alkaline and Acidic Media
Abstract
1. Introduction
2. Materials and Methods
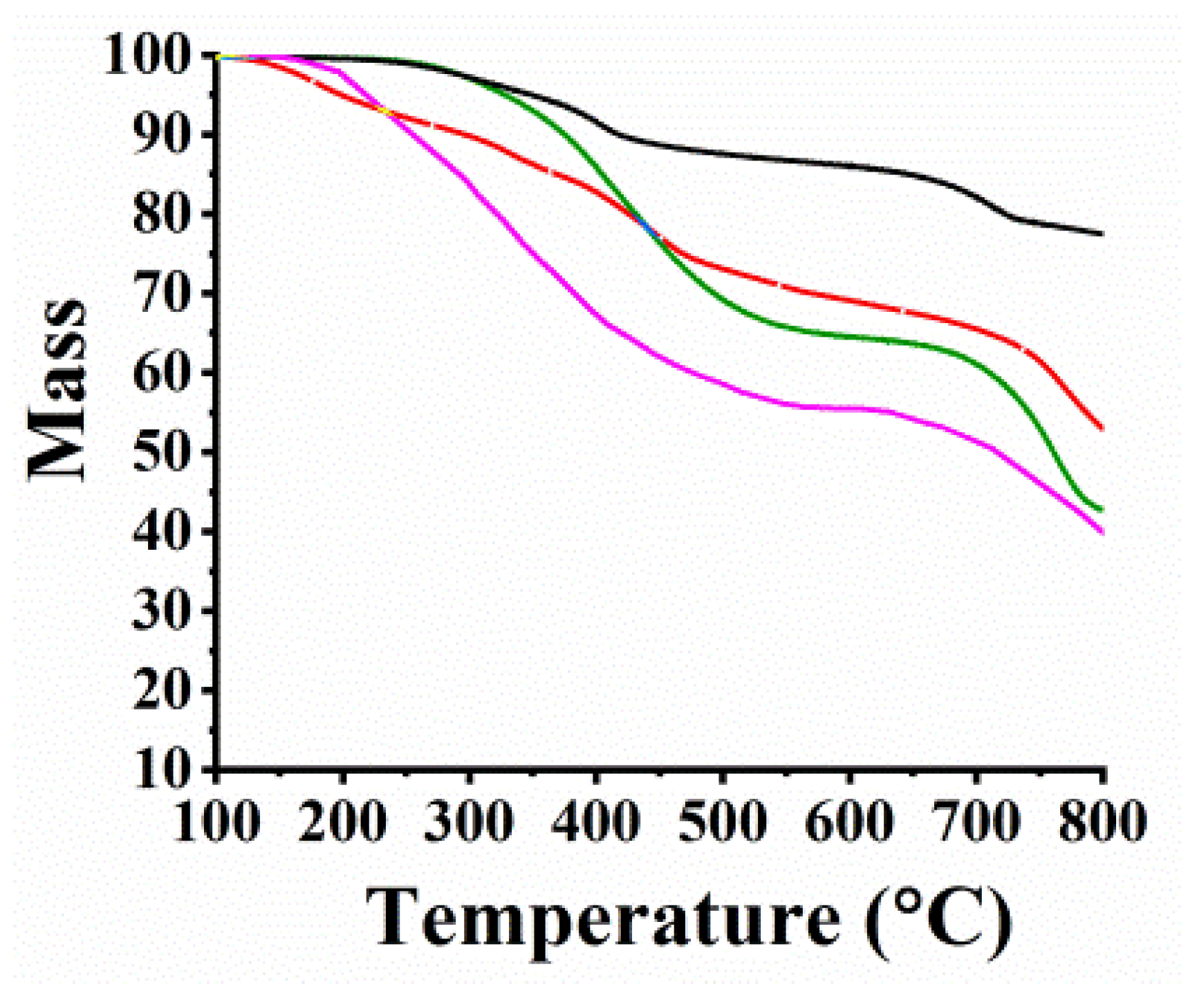
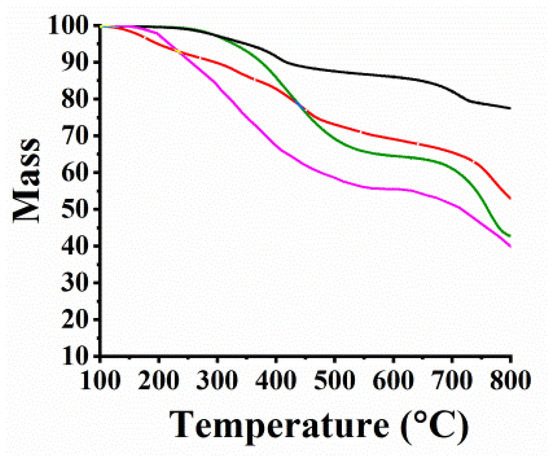
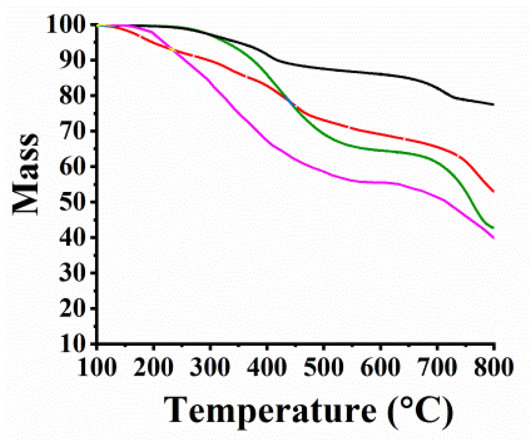
3. Results and Discussion
4. Conclusions
Supplementary Materials
Author Contributions
Funding
Data Availability Statement
Acknowledgments
Conflicts of Interest
References
- Yin, X.; Tang, C.S.; Zheng, Z.; Gao, J.; Wu, J.; Zhang, H.; Chhowalla, M.; Chen, W.; Wee, A.T.S. Recent developments in 2D transition metal dichalcogenides: Phase transition and applications of the (quasi-)metallic phases. Chem. Soc. Rev. 2021, 50, 10087–10115. [Google Scholar] [CrossRef]
- Kim, H.; Ahn, G.H.; Cho, J.; Amani, M.; Mastandrea, J.P.; Groschner, C.K.; Lien, D.-H.; Zhao, Y.; Ager, J.W.; Scott, M.C.; et al. Synthetic WSe2 monolayers with high photoluminescence quantum yield. Sci. Adv. 2019, 5, eaau4728. [Google Scholar] [CrossRef]
- Zheng, Z.; Zhang, T.; Yao, J.; Zhang, Y.; Xu, J.; Yang, G. Flexible, transparent and ultra-broadband photodetector based on large-area WSe2 film for wearable devices. Nanotechnology 2016, 27, 225501. [Google Scholar] [CrossRef] [PubMed]
- Kadam, S.R.; Enyashin, A.N.; Houben, L.; Bar-Ziv, R.; Bar-Sada, M. Ni–WSe2 nanostructures as efficient catalysts for electrochemical hydrogen evolution reaction (HER) in acidic and alkaline media. J. Mater. Chem. A 2020, 8, 1403–1416. [Google Scholar] [CrossRef]
- Kagkoura, A.; Arenal, R.; Tagmatarchis, N. Controlled chemical functionalization toward 3D-2D carbon nanohorn-MoS2 heterostructures with enhanced electrocatalytic activity for protons reduction. Adv. Funct. Mater. 2021, 31, 2105287. [Google Scholar] [CrossRef]
- Kagkoura, A.; Pelaez-Fernandez, M.; Arenal, R.; Tagmatarchis, N. Sulfur-doped graphene/transition metal dichalcogenide heterostructured hybrids with electrocatalytic activity toward the hydrogen evolution reaction. Nanoscale Adv. 2019, 1, 1489–1496. [Google Scholar] [CrossRef]
- Kagkoura, A.; Tzanidis, I.; Dracopoulos, V.; Tagmatarchis, N.; Tasis, D. Template synthesis of defect-rich MoS2-based assemblies as electrocatalytic platforms for hydrogen evolution reaction. Chem. Commun. 2019, 55, 2078–2081. [Google Scholar] [CrossRef]
- Kagkoura, A.; Canton-Vitoria, R.; Vallan, L.; Hernandez-Ferrer, J.; Benito, A.M.; Maser, W.K.; Arenal, R.; Tagmatarchis, N. Bottom-Up Synthesized MoS2 Interfacing Polymer Carbon Nanodots with Electrocatalytic Activity for Hydrogen Evolution. Chem. Eur. J. 2020, 26, 6635–6642. [Google Scholar] [CrossRef]
- Zhang, L.; Zhu, J.; Wang, Z.; Zhang, W. 2D MoSe2/CoP intercalated nanosheets for efficient electrocatalytic hydrogen production. Int. J. Hydrog. Energy. 2020, 45, 9246–19256. [Google Scholar] [CrossRef]
- Vishnoi, P.; Pramoda, K.; Gupta, U.; Chhetri, M.; Balakrishna, R.G.; Rao, C.N.R. Covalently Linked Heterostructures of Phosphorene with MoS2/MoSe2 and Their Remarkable Hydrogen Evolution Reaction Activity. ACS Appl. Mater. Interfaces 2019, 11, 27780–27787. [Google Scholar] [CrossRef]
- Lee, H.J.; Lee, S.W.; Hwang, H.; Yoon, S.I.; Lee, Z.; Shin, H.S. Vertically oriented MoS2/WS2 heterostructures on reduced graphene oxide sheets as electrocatalysts for hydrogen evolution reaction. Mater. Chem. Front. 2021, 5, 3396–3403. [Google Scholar] [CrossRef]
- Al-Enizi, A.M.; Shaikh, S.F.; Ubaidullah, M.; Ghanem, A.M.; Mane, R.S. Self-grown one-dimensional nickel sulfo-selenide nanostructured electrocatalysts for water splitting reactions. Int. J. Hydrog. Energy. 2020, 45, 15904–15914. [Google Scholar] [CrossRef]
- Vikraman, D.; Hussain, S.; Patil, S.A.; Truong, L.; Arbab, A.A.; Jeong, S.H.; Chun, S.-H.; Jung, J.; Kim, H.S. Engineering MoSe2/WS2 Hybrids to Replace the Scarce Platinum Electrode for Hydrogen Evolution Reactions and Dye-Sensitized Solar Cells. ACS Appl. Mater. Interfaces 2021, 13, 5061–5072. [Google Scholar] [CrossRef] [PubMed]
- Jian, C.; Cai, Q.; Hong, W.; Li, J.; Liu, W. Edge-Riched MoSe2/MoO2 Hybrid Electrocatalyst for Efficient Hydrogen Evolution Reaction. Small 2018, 14, 1703798. [Google Scholar] [CrossRef] [PubMed]
- Blanco, M.; Lunardon, M.; Bortoli, M.; Mosconi, D.; Girardi, L.; Orian, L.; Agnoli, S.; Granozzi, G. Tuning on and off chemical- and photo-activity of exfoliated MoSe2 nanosheets through morphologically selective “soft” covalent functionalization with porphyrins. J. Mater. Chem. A 2020, 8, 11019–11030. [Google Scholar] [CrossRef]
- Kwon, I.S.; Kwak, I.H.; Abbas, H.G.; Seo, H.W.; Seo, J.; Park, K.; Park, J.; Kang, H.S. Two dimensional MoS2 meets porphyrins via intercalation to enhance the electrocatalytic activity toward hydrogen evolution. Nanoscale 2019, 11, 3780–3785. [Google Scholar] [CrossRef]
- Mahmood, N.; Yao, Y.; Zhang, J.-W.; Pan, L.; Zhang, X.; Zou, J.-J. Electrocatalysts for hydrogen evolution in alkaline electrolytes: Mechanisms, challenges, and prospective solutions. Adv. Sci. 2018, 5, 1700464. [Google Scholar] [CrossRef]
- Kagkoura, A.; Stangel, C.; Arenal, R.; Tagmatachis, N. Molybdenum diselenide–manganese porphyrin bifunctional electrocatalyst for the hydrogen evolution reaction and selective hydrogen peroxide production. J. Phys. Chem. C 2022, 126, 14850–14858. [Google Scholar] [CrossRef]
- Iglesias, D.; Ippolito, S.; Ciesielski, A.; Samorì, P. Simultaneous non-covalent bi-functionalization of 1T-MoS2 ruled by electrostatic interactions: Towards multi-responsive materials. Chem. Commun. 2020, 56, 6878–6881. [Google Scholar] [CrossRef]
- Canton-Vitoria, R.; Stangel, C.; Tagmatarchis, N. Electrostatic association of ammonium-functionalized layered-transition-metal dichalcogenides with an anionic porphyrin. ACS Appl. Mater. Interfaces 2018, 10, 23476–23480. [Google Scholar] [CrossRef]
- Chen, X.; Denninger, P.; Stimpel-Lindner, T.; Spiecker, E.; Duesberg, G.S.; Backes, C.; Knirsch, K.C.; Hirsch, A. Defect engineering of two-dimensional molybdenum disulfide. Chem. Eur. J. 2020, 26, 6535–6544. [Google Scholar] [CrossRef] [PubMed]
- Canton-Vitoria, R.; Scharl, T.; Stergiou, A.; Cadranel, R.; Arenal, R.; Guldi, D.M.; Tagmatarchis, N. Ping-pong energy transfer in covalently linked porphyrin-MoS2 architectures. Angew. Chem. Int. Ed. 2020, 59, 3976–3981. [Google Scholar] [CrossRef] [PubMed]
- Chen, X.; Bartlam, C.; Lloret, V.; Badlyan, N.M.; Wolff, S.; Gillen, R.; Stimpel-Lindner, T.; Maultzsch, J.; Duesberg, G.S.; Knirsch, K.C.; et al. Covalent bisfunctionalization of two-dimensional molybdenum disulfide. Angew. Chem. Int. Ed. 2021, 60, 13484–13492. [Google Scholar] [CrossRef]
- Vera-Hidalgo, M.; Giovanelli, E.; Navío, C.; Pérez, E.M. Mild covalent functionalization of transition metal dichalcogenides with maleimides: A “click” reaction for 2H-MoS2 and WS2. J. Am. Chem. Soc. 2019, 141, 3767–3771. [Google Scholar] [CrossRef] [PubMed]
- Zhao, Y.; Gali, S.M.; Wang, C.; Pershin, A.; Slassi, A.; Beljonne, D.; Samorì, P. Molecular functionalization of chemically active defects in WSe2 for enhanced opto-electronics. Adv. Funct. Mater. 2020, 30, 2005045. [Google Scholar] [CrossRef]
- Sideri, I.; Arenal, R.; Tagmatarchis, N. Covalently functionalized MoS2 with dithiolenes. ACS Mater. Lett. 2020, 2, 832–837. [Google Scholar] [CrossRef]
- Knirsch, K.C.; Berner, N.C.; Nerl, H.C.; Cucinotta, C.S.; Gholamvand, Z.; McEvoy, N.; Wang, Z.; Abramovic, I.; . Vecera, P.; Halik, M.; et al. Basal-plane functionalization of chemically exfoliated molybdenum disulfide by diazonium salts. ACS Nano 2015, 9, 6018–6030. [Google Scholar] [CrossRef] [PubMed]
- Yan, E.X.; Caban-Acevedo, M.; Papadantonakis, K.M.; Brunschwig, B.S.; Lewis, N.S. 1T′-MoS2, Reductant-activated, high-coverage, covalent functionalization of 1T′-MoS2. ACS Mater. Lett. 2020, 2, 133–139. [Google Scholar] [CrossRef]
- Voiry, D.; Goswami, A.; Kappera, R.; de Carvalho Castro Silva, C.; Kaplan, D.; Fujita, T.; Chen, M.; Asefa, T.; Chhowalla, M. Covalent functionalization of monolayered transition metal dichalcogenides by phase engineering. Nat. Chem. 2015, 7, 45–49. [Google Scholar] [CrossRef]
- Presolski, S.; Wang, L.; Loo, A.H.; Ambrosi, A.; Lazar, P.; Ranc, V.; Otyepka, M.; Zboril, R.; Tomanec, O.; Ugolotti, J.; et al. Functional nanosheet synthons by covalent modification of transition-metal dichalcogenides. Chem. Mater. 2017, 29, 2066–2073. [Google Scholar] [CrossRef]
- Chen, X.; McAteer, D.; McGuinness, C.; Godwin, I.; Coleman, J.N.; McDonald, A.R. Tuning the photo-electrochemical performance of RuII-sensitized two-dimensional MoS2. Chem. Eur. J. 2018, 24, 351–355. [Google Scholar] [CrossRef]
- Li, W.; Chen, D.; Xia, F.; Tan, J.Z.Y.; Song, J.; Song, W.-G.; Caruso, R.A. Flowerlike WSe2 and WS2 microspheres: One-pot synthesis, formation mechanism and application in heavy metal ion sequestration. Chem. Commun. 2016, 52, 4481–4484. [Google Scholar] [CrossRef] [PubMed]
- Jeanguillaume, C.; Colliex, C. Spectrum-image: The next step in EELS digital acquisition and processing. Ultramicroscopy 1989, 28, 252–257. [Google Scholar] [CrossRef]
- Arenal, R.; de la Pena, F.; Stephan, O.; Walls, M.; Loiseau, A.; Colliex, C. Extending the analysis of EELS spectrum-imaging data, from elemental to bond mapping in complex nanostructures. Ultramicroscopy 2008, 109, 32–38. [Google Scholar] [CrossRef] [PubMed]
- Zhang, B.-Q.; Chen, J.-S.; Niu, H.-L.; Mao, C.-J.; Son, J.-M. Synthesis of ultrathin WSe2 nanosheets and their high-performance catalysis for conversion of amines to imines. Nanoscale 2018, 10, 20266–20271. [Google Scholar] [CrossRef] [PubMed]
- del Corro, E.; Botello-Méndez, A.; Gillet, Y.; Elias, A.L.; Terrones, H.; Feng, S.; Fantini, C.; Rhodes, D.; Pradhan, N.; Balicas, L.; et al. Atypical exciton–phonon interactions in WS2 and WSe2 monolayers revealed by resonance Raman spectroscopy. Nano Lett. 2016, 16, 2363–2368. [Google Scholar] [CrossRef]
- Tan, S.M.; Sofer, Z.; Luxa, J.; Pumera, M. Aromatic-exfoliated transition metal dichalcogenides: Implications for inherent electrochemistry and hydrogen evolution. ACS Catal. 2016, 6, 4594–4607. [Google Scholar] [CrossRef]
- Tonndorf, P.; Schmidt, R.; Bottger, P.; Zhang, X.; Borner, J.; Liebig, A.; Albrecht, M.; Kloc, C.; Gordan, O.; Zahn, D.R.T.S.; et al. Photoluminescence emission and Raman response of monolayer MoS2, MoSe2, and WSe2. Opt. Express 2013, 21, 4908–4916. [Google Scholar] [CrossRef]
- Jiang, M.; Zhang, J.; Wu, M.; Jian, W.; Xue, H.; Ng, T.-W.; Lee, C.-S.; Xu, J. Synthesis of 1T-MoSe2 ultrathin nanosheets with an expanded interlayer spacing of 1.17 nm for efficient hydrogen evolution reaction. J. Mater. Chem. A 2016, 4, 14949–14953. [Google Scholar] [CrossRef]
- Ambrosi, A.; Sofer, Z.; Pumera, M. 2H → 1T phase transition and hydrogen evolution activity of MoS2, MoSe2, WS2 and WSe2 strongly depends on the MX2 composition. Chem. Commun. 2015, 51, 8450–8453. [Google Scholar] [CrossRef]
- Sokolikova, M.S.; Sherrell, P.C.; Palczynski, P.; Bemmer, V.L.; Mattevi, C. Direct solution-phase synthesis of 1T′ WSe2 nanosheets. Nat. Commun. 2019, 10, 712. [Google Scholar]
- McCrum, I.T.; Koper, M.T.M. The role of adsorbed hydroxide in hydrogen evolution reaction kinetics on modified platinum. Nat. Energy 2020, 5, 891–899. [Google Scholar] [CrossRef]
- Dubouis, N.; Grimaud, A. The hydrogen evolution reaction: From material to interfacial descriptors. Chem. Sci. 2019, 10, 9165–9181. [Google Scholar] [CrossRef] [PubMed]







Disclaimer/Publisher’s Note: The statements, opinions and data contained in all publications are solely those of the individual author(s) and contributor(s) and not of MDPI and/or the editor(s). MDPI and/or the editor(s) disclaim responsibility for any injury to people or property resulting from any ideas, methods, instructions or products referred to in the content. |
© 2022 by the authors. Licensee MDPI, Basel, Switzerland. This article is an open access article distributed under the terms and conditions of the Creative Commons Attribution (CC BY) license (https://creativecommons.org/licenses/by/4.0/).
Share and Cite
Kagkoura, A.; Stangel, C.; Arenal, R.; Tagmatarchis, N. Molybdenum Diselenide and Tungsten Diselenide Interfacing Cobalt-Porphyrin for Electrocatalytic Hydrogen Evolution in Alkaline and Acidic Media. Nanomaterials 2023, 13, 35. https://doi.org/10.3390/nano13010035
Kagkoura A, Stangel C, Arenal R, Tagmatarchis N. Molybdenum Diselenide and Tungsten Diselenide Interfacing Cobalt-Porphyrin for Electrocatalytic Hydrogen Evolution in Alkaline and Acidic Media. Nanomaterials. 2023; 13(1):35. https://doi.org/10.3390/nano13010035
Chicago/Turabian StyleKagkoura, Antonia, Christina Stangel, Raul Arenal, and Nikos Tagmatarchis. 2023. "Molybdenum Diselenide and Tungsten Diselenide Interfacing Cobalt-Porphyrin for Electrocatalytic Hydrogen Evolution in Alkaline and Acidic Media" Nanomaterials 13, no. 1: 35. https://doi.org/10.3390/nano13010035
APA StyleKagkoura, A., Stangel, C., Arenal, R., & Tagmatarchis, N. (2023). Molybdenum Diselenide and Tungsten Diselenide Interfacing Cobalt-Porphyrin for Electrocatalytic Hydrogen Evolution in Alkaline and Acidic Media. Nanomaterials, 13(1), 35. https://doi.org/10.3390/nano13010035

