Numerical Analysis of the Light Modulation by the Frustule of Gomphonema parvulum: The Role of Integrated Optical Components
Abstract
1. Introduction
2. Materials and methods
2.1. Characterization with SEM
2.2. Characterization Using FIB-SEM
2.3. Statistical 3D Model of a GP Valve for Numerical Analysis
2.4. Numerical Analysis of the Wave Propagation across the GP Cross-Sections
3. Results
3.1. Structural Analysis of the GP Frustule
3.2. Near-Field Simulation of the 2D Cross-Sections—The Role of Optical Components
3.3. The Observed Optical Phenomena: Description and Analysis
3.3.1. Thin-Film Interference
3.3.2. Edge Diffraction
3.3.3. Waveguiding through Fiber-like Components
3.3.4. Diffraction-Driven Focusing in the near Field
3.3.5. Photonic Jet
3.3.6. Diffraction Grating Behavior in the near Field: The Talbot Effect
3.3.7. Guided-Mode Resonance
3.4. The Case of 2D Cross-Sections of a Complete Frustule Immersed in Water
4. Discussion
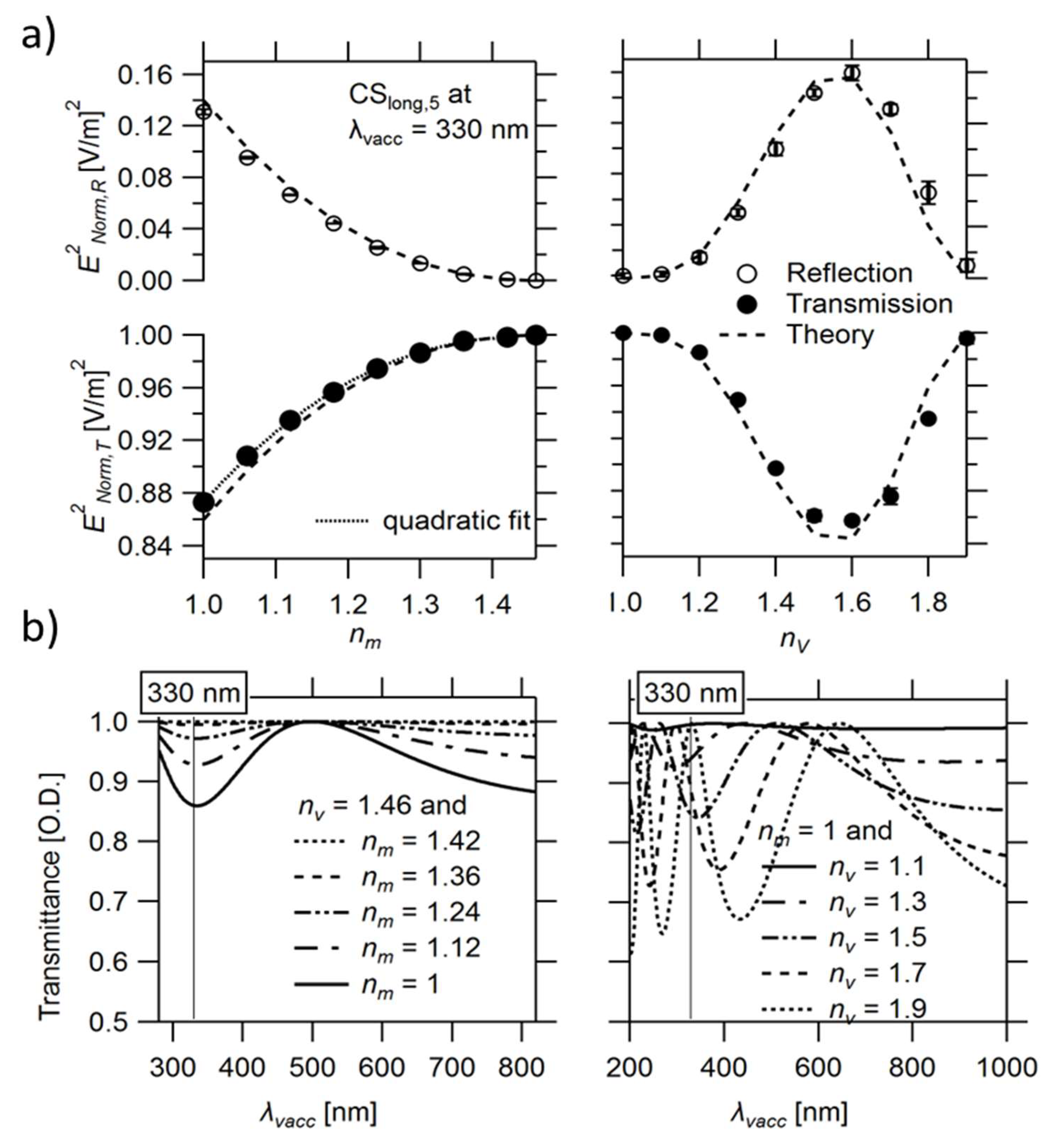
4.1. The Light Modulation by GP Valve: The Competing Phenomena and Potential for Applications
4.2. Hypothetic Photobiological Relevance of GP Frustules
5. Conclusions
Supplementary Materials
Author Contributions
Funding
Data Availability Statement
Acknowledgments
Conflicts of Interest
References
- Bhushan, B. Biomimetics: Lessons from Nature–an Overview. Philos. Trans. R. Soc. A: Math. Phys. Eng. Sci. 2009, 367, 1445–1486. [Google Scholar] [CrossRef] [PubMed]
- Perricone, V.; Santulli, C.; Rendina, F.; Langella, C. Organismal Design and Biomimetics: A Problem of Scale. Biomimetics 2021, 6, 56. [Google Scholar] [CrossRef] [PubMed]
- Primrose, S.B. Biomimetics; Wiley: Chichester, UK, 2020; ISBN 9781119683322. [Google Scholar]
- Drexler, E. Engines of Creation: The Coming Era of Nanotechnology, 20th ed.; WOWIO LLC: West Hollywood, CA, USA, 2006. [Google Scholar]
- Parratt, K.; Yao, N. Nanostructured Biomaterials and Their Applications. Nanomaterials 2013, 3, 242–271. [Google Scholar] [CrossRef] [PubMed]
- Chen, Y.-M.; Pekdemir, S.; Bilican, I.; Koc-Bilican, B.; Cakmak, B.; Ali, A.; Zang, L.-S.; Onses, M.S.; Kaya, M. Production of Natural Chitin Film from Pupal Shell of Moth: Fabrication of Plasmonic Surfaces for SERS-Based Sensing Applications. Carbohydr. Polym. 2021, 262, 117909. [Google Scholar] [CrossRef] [PubMed]
- Wang, Y.; Wang, M.; Sun, X.; Shi, G.; Zhang, J.; Ma, W.; Ren, L. Grating-like SERS Substrate with Tunable Gaps Based on Nanorough Ag Nanoislands/Moth Wing Scale Arrays for Quantitative Detection of Cypermethrin. Opt. Express 2018, 26, 22168. [Google Scholar] [CrossRef]
- Gordon, R.; Losic, D.; Tiffany, M.A.; Nagy, S.S.; Sterrenburg, F.A.S. The Glass Menagerie: Diatoms for Novel Applications in Nanotechnology. Trends Biotechnol. 2009, 27, 116–127. [Google Scholar] [CrossRef]
- Simkiss, K.; Wilbur, K.M. Biomineralization; Elsevier: San Diego, CA, USA, 2012; ISBN 0080925847. [Google Scholar]
- Jaya, B.N.; Hoffmann, R.; Kirchlechner, C.; Dehm, G.; Scheu, C.; Langer, G. Coccospheres Confer Mechanical Protection: New Evidence for an Old Hypothesis. Acta Biomater. 2016, 42, 258–264. [Google Scholar] [CrossRef]
- Round, F.E.; Crawford, R.M.; Mann, D.G. Diatoms: Biology and Morphology of the Genera; Cambridge University Press: Cambridge, UK, 1990; ISBN 0521363187. [Google Scholar]
- Malviya, S.; Scalco, E.; Audic, S.; Vincent, F.; Veluchamy, A.; Poulain, J.; Wincker, P.; Iudicone, D.; de Vargas, C.; Bittner, L.; et al. Insights into Global Diatom Distribution and Diversity in the World’s Ocean. Proc. Natl. Acad. Sci. USA 2016, 113, E1516–E1525. [Google Scholar] [CrossRef]
- Ghobara, M.M.; Tiffany, M.A.; Gordon, R.; Reissig, L. Diatom Pore Arrays’ Periodicities and Symmetries in the Euclidean Plane: Nature Between Perfection and Imperfection. In Diatom Morphogenesis; Wiley-Scrivener: Beverly, MA, USA, 2021; pp. 117–158. [Google Scholar]
- Babenko, I.; Friedrich, B.M.; Kröger, N. Structure and Morphogenesis of the Frustule. In The Molecular Life of Diatoms; Springer International Publishing: Cham, Switzerland, 2022; pp. 287–312. [Google Scholar]
- Bedoshvili, Y.D.; Likhoshway, Y.v. Cellular Mechanisms of Raphid Diatom Gliding. In Diatom Gliding Motility; Wiley-Scrivener: Beverly, MA, USA, 2021; pp. 65–75. [Google Scholar]
- Hamm, C.E.; Merkel, R.; Springer, O.; Jurkojc, P.; Maier, C.; Prechtel, K.; Smetacek, V. Architecture and Material Properties of Diatom Shells Provide Effective Mechanical Protection. Nature 2003, 421, 841–843. [Google Scholar] [CrossRef]
- Topal, E.; Rajendran, H.; Zgłobicka, I.; Gluch, J.; Liao, Z.; Clausner, A.; Kurzydłowski, K.; Zschech, E. Numerical and Experimental Study of the Mechanical Response of Diatom Frustules. Nanomaterials 2020, 10, 959. [Google Scholar] [CrossRef]
- Zhang, S.; Liu, H.; Ke, Y.; Li, B. Effect of the Silica Content of Diatoms on Protozoan Grazing. Front. Mar. Sci. 2017, 4, 202. [Google Scholar] [CrossRef]
- Losic, D.; Rosengarten, G.; Mitchell, J.G.; Voelcker, N.H. Pore Architecture of Diatom Frustules: Potential Nanostructured Membranes for Molecular and Particle Separations. J. Nanosci. Nanotechnol. 2006, 6, 982–989. [Google Scholar] [CrossRef] [PubMed]
- Herringer, J.W.; Lester, D.; Dorrington, G.E.; Rosengarten, G. Can Diatom Girdle Band Pores Act as a Hydrodynamic Viral Defense Mechanism? J. Biol. Phys. 2019, 45, 213–234. [Google Scholar] [CrossRef]
- Hale, M.; Mitchell, J. Functional Morphology of Diatom Frustule Microstructures: Hydrodynamic Control of Brownian Particle Diffusion and Advection. Aquat. Microb. Ecol. 2001, 24, 287–295. [Google Scholar] [CrossRef]
- Ghobara, M.M.; Ghobara, M.M.; Mazumder, N.; Vinayak, V.; Reissig, L.; Gebeshuber, I.C.; Tiffany, M.A.; Gordon, R.; Gordon, R. On Light and Diatoms: A Photonics and Photobiology Review. In Diatoms: Fundamentals and Applications; Wiley-Scrivener: Beverly, MA, USA, 2019; pp. 129–189. [Google Scholar]
- Ellegaard, M.; Lenau, T.; Lundholm, N.; Maibohm, C.; Friis, S.M.M.; Rottwitt, K.; Su, Y. The Fascinating Diatom Frustule—Can It Play a Role for Attenuation of UV Radiation? J. Appl. Phycol. 2016, 28, 3295–3306. [Google Scholar] [CrossRef]
- De Tommasi, E. Light Manipulation by Single Cells: The Case of Diatoms. J. Spectrosc. 2016, 2016, 2490128. [Google Scholar] [CrossRef]
- Losic, D. Diatom Nanotechnology. Losic, D., Ed.; Royal Society of Chemistry: Croydon, UK, 2017; ISBN 978-1-78262-932-0. [Google Scholar]
- Ghobara, M.M.; Ghobara, M.M.; Ghobara, M.M.; Mohamed, A. Diatomite in Use: Nature, Modifications, Commercial Applications and Prospective Trends. In Diatoms: Fundamentals and Applications; Wiley-Scrivener: Beverly, MA, USA, 2019; pp. 471–509. [Google Scholar]
- Goessling, J.W.; Yanyan, S.; Kühl, M.; Ellegaard, M. Frustule Photonics and Light Harvesting Strategies in Diatoms. In Diatom Morphogenesis; Wiley-Scrivener: Beverly, MA, USA, 2021; pp. 269–300. [Google Scholar]
- De Stefano, L.; Rea, I.; Rendina, I.; de Stefano, M.; Moretti, L. Lensless Light Focusing with the Centric Marine Diatom Coscinodiscus Walesii. Opt. Express 2007, 15, 18082. [Google Scholar] [CrossRef] [PubMed]
- De Tommasi, E.; Rea, I.; Ferrara, M.A.; de Stefano, L.; de Stefano, M.; Al-Handal, A.Y.; Stamenković, M.; Wulff, A. Underwater Light Manipulation by the Benthic Diatom Ctenophora Pulchella: From PAR Efficient Collection to UVR Screening. Nanomaterials 2021, 11, 2855. [Google Scholar] [CrossRef] [PubMed]
- De Tommasi, E.; Rea, I.; Mocella, V.; Moretti, L.; de Stefano, M.; Rendina, I.; de Stefano, L. Multi-Wavelength Study of Light Transmitted through a Single Marine Centric Diatom. Opt. Express 2010, 18, 12203. [Google Scholar] [CrossRef]
- Romann, J.; Valmalette, J.-C.; Chauton, M.S.; Tranell, G.; Einarsrud, M.-A.; Vadstein, O. Wavelength and Orientation Dependent Capture of Light by Diatom Frustule Nanostructures. Sci. Rep. 2015, 5, 17403. [Google Scholar] [CrossRef]
- Romann, J.; Valmalette, J.-C.; Røyset, A.; Einarsrud, M.-A. Optical Properties of Single Diatom Frustules Revealed by Confocal Microspectroscopy. Opt. Lett. 2015, 40, 740. [Google Scholar] [CrossRef] [PubMed]
- Noyes, J.; Sumper, M.; Vukusic, P. Light Manipulation in a Marine Diatom. J. Mater. Res. 2008, 23, 3229–3235. [Google Scholar] [CrossRef]
- Fuhrmann, T.; Landwehr, S.; el Rharbi-Kucki, M.; Sumper, M. Diatoms as Living Photonic Crystals. Appl. Phys. B 2004, 78, 257–260. [Google Scholar] [CrossRef]
- Mcheik, A.; Cassaignon, S.; Livage, J.; Gibaud, A.; Berthier, S.; Lopez, P.J. Optical Properties of Nanostructured Silica Structures from Marine Organisms. Front. Mar. Sci. 2018, 5, 123. [Google Scholar] [CrossRef]
- Ren, F.; Campbell, J.; Wang, X.; Rorrer, G.L.; Wang, A.X. Enhancing Surface Plasmon Resonances of Metallic Nanoparticles by Diatom Biosilica. Opt. Express 2013, 21, 15308. [Google Scholar] [CrossRef]
- Losic, D.; Mitchell, J.G.; Lal, R.; Voelcker, N.H. Rapid Fabrication of Micro- and Nanoscale Patterns by Replica Molding from Diatom Biosilica. Adv. Funct. Mater. 2007, 17, 2439–2446. [Google Scholar] [CrossRef]
- Kieu, K.; Li, C.; Fang, Y.; Cohoon, G.; Herrera, O.D.; Hildebrand, M.; Sandhage, K.H.; Norwood, R.A. Structure-Based Optical Filtering by the Silica Microshell of the Centric Marine Diatom Coscinodiscus Wailesii. Opt. Express 2014, 22, 15992. [Google Scholar] [CrossRef]
- De Tommasi, E.; Rendina, I.; Rea, I.; de Stefano, M.; Lamberti, A.; de Stefano, L. Intrinsic Photoluminescence of Diatom Shells in Sensing Applications. Proc. SPIE - Int. Soc. Opt. Eng. 2009, 7356, 735615. [Google Scholar]
- Bismuto, A.; Setaro, A.; Maddalena, P.; Destefano, L.; Destefano, M. Marine Diatoms as Optical Chemical Sensors: A Time-Resolved Study. Sens. Actuators B Chem. 2008, 130, 396–399. [Google Scholar] [CrossRef]
- Goessling, J.W.; Wardley, W.P.; Lopez-Garcia, M. Highly Reproducible, Bio-Based Slab Photonic Crystals Grown by Diatoms. Adv. Sci. 2020, 7, 1903726. [Google Scholar] [CrossRef]
- Aguirre, L.E.; Ouyang, L.; Elfwing, A.; Hedblom, M.; Wulff, A.; Inganäs, O. Diatom Frustules Protect DNA from Ultraviolet Light. Sci. Rep. 2018, 8, 5138. [Google Scholar] [CrossRef] [PubMed]
- Spaulding, S.A.; Potapova, M.G.; Bishop, I.W.; Lee, S.S.; Gasperak, T.S.; Jovanoska, E.; Furey, P.C.; Edlund, M.B. Diatoms.Org: Supporting Taxonomists, Connecting Communities. Diatom Res. 2021, 36, 291–304. [Google Scholar] [CrossRef] [PubMed]
- Guiry, M.D.; Guiry, G.M. Algaebase. Available online: https://www.algaebase.org (accessed on 20 December 2022).
- Arteaga-Larios, N.v.; Nahmad, Y.; Navarro-Contreras, H.R.; Encinas, A.; Viridiana García-Meza, J. Photoluminescence Shift in Frustules of Two Pennate Diatoms and Nanostructural Changes to Their Pores. Luminescence 2014, 29, 969–976. [Google Scholar] [CrossRef] [PubMed]
- Bukhtiyarova, L.N.; Lyakh, A.M. Functional Morphology of Horseshoe Spot in Frustule of Planothidium Species (Bacillariophyta). Ukr. Bot. J. 2014, 71, 223–227. [Google Scholar] [CrossRef]
- Ferrara, M.A.; Dardano, P.; de Stefano, L.; Rea, I.; Coppola, G.; Rendina, I.; Congestri, R.; Antonucci, A.; de Stefano, M.; de Tommasi, E. Optical Properties of Diatom Nanostructured Biosilica in Arachnoidiscus Sp.: Micro-Optics from Mother Nature. PLoS ONE 2014, 9, e103750. [Google Scholar] [CrossRef]
- De Tommasi, E.; Rea, I.; de Stefano, L.; Dardano, P.; di Caprio, G.; Ferrara, M.A.; Coppola, G. Optics with Diatoms: Towards Efficient, Bioinspired Photonic Devices at the Micro-Scale. SPIE Opt. Metrol. 2013, 8792, 87920O. [Google Scholar]
- De Tommasi, E.; Congestri, R.; Dardano, P.; de Luca, A.C.; Managò, S.; Rea, I.; de Stefano, M. UV-Shielding and Wavelength Conversion by Centric Diatom Nanopatterned Frustules. Sci. Rep. 2018, 8, 16285. [Google Scholar] [CrossRef]
- Yoneda, S.; Ito, F.; Yamanaka, S.; Usami, H. Optical Properties of Nanoporous Silica Frustules of a Diatom Determined Using a 10 Μm Microfiber Probe. Jpn. J. Appl. Phys. 2016, 55, 072001. [Google Scholar] [CrossRef]
- Chen, X.; Wang, C.; Baker, E.; Sun, C. Numerical and Experimental Investigation of Light Trapping Effect of Nanostructured Diatom Frustules. Sci. Rep. 2015, 5, 11977. [Google Scholar] [CrossRef]
- Bernal, S.; D’Mello, Y.; Petrescu, D.; Andrews, M.; Plant, D.V. Optical Response of the Centric Valve in Cyclotella Quillensis Diatoms. In Proceedings of the 2020 Conference on Lasers and Electro-Optics (CLEO), Washington, DC, USA, 10–15 May 2020; pp. 1–2. [Google Scholar]
- Managò, S.; Zito, G.; Rogato, A.; Casalino, M.; Esposito, E.; de Luca, A.C.; de Tommasi, E. Bioderived Three-Dimensional Hierarchical Nanostructures as Efficient Surface-Enhanced Raman Scattering Substrates for Cell Membrane Probing. ACS Appl. Mater. Interfaces 2018, 10, 12406–12416. [Google Scholar] [CrossRef]
- Sadiku, M.N.O. Numerical Techniques in Electromagnetics; CRC Press: Boca Raton, FL, USA, 2000; ISBN 9780429196089. [Google Scholar]
- Ghobara, M.; Oschatz, C.; Fratzl, P.; Reissig, L. Light Modulation by a Small Pennate Diatom Valve: The Case of Gomphonema Parvulum. In Proceedings of the 2021 IEEE Photonics Conference (IPC), Online, 18–21 October 2021; pp. 1–2. [Google Scholar]
- Andersen, R.A. Algal Culturing Techniques, 1st ed.; Andersen, R.A., Ed.; Elsevier: Elsevier, The Netherlands, 2004; ISBN 9780080456508. [Google Scholar]
- Sviben, S.; Gal, A.; Hood, M.A.; Bertinetti, L.; Politi, Y.; Bennet, M.; Krishnamoorthy, P.; Schertel, A.; Wirth, R.; Sorrentino, A.; et al. A Vacuole-like Compartment Concentrates a Disordered Calcium Phase in a Key Coccolithophorid Alga. Nat. Commun. 2016, 7, 11228. [Google Scholar] [CrossRef] [PubMed]
- Dahl, R.; Staehelin, L.A. High-Pressure Freezing for the Preservation of Biological Structure: Theory and Practice. J. Electron. Microsc. Tech. 1989, 13, 165–174. [Google Scholar] [CrossRef] [PubMed]
- Sviben, S.; Spaeker, O.; Bennet, M.; Albéric, M.; Dirks, J.-H.; Moussian, B.; Fratzl, P.; Bertinetti, L.; Politi, Y. Epidermal Cell Surface Structure and Chitin–Protein Co-Assembly Determine Fiber Architecture in the Locust Cuticle. ACS Appl. Mater. Interfaces 2020, 12, 25581–25590. [Google Scholar] [CrossRef] [PubMed]
- Matsko, N.; Mueller, M. AFM of Biological Material Embedded in Epoxy Resin. J. Struct. Biol. 2004, 146, 334–343. [Google Scholar] [CrossRef] [PubMed]
- Münch, B.; Trtik, P.; Marone, F.; Stampanoni, M. Stripe and Ring Artifact Removal with Combined Wavelet—Fourier Filtering. Opt. Express 2009, 17, 8567–8591. [Google Scholar] [CrossRef]
- Schneider, C.A.; Rasband, W.S.; Eliceiri, K.W. NIH Image to ImageJ: 25 Years of Image Analysis. Nat. Methods 2012, 9, 671–675. [Google Scholar] [CrossRef]
- Focusing Lens. 2020. Available online: https://www.comsol.com/model/focusing-lens-57621 (accessed on 1 February 2020).
- Soto, J.M.; Rodrigo, J.A.; Alieva, T. Refractive Index Tomography for Diatom Analysis. In Diatom Microscopy; Wiley-Scrivener: Beverly, MA, USA, 2022; pp. 111–137. [Google Scholar]
- Kermarrec, L.; Bouchez, A.; Rimet, F.; Humbert, J.-F. First Evidence of the Existence of Semi-Cryptic Species and of a Phylogeographic Structure in the Gomphonema Parvulum (Kützing) Kützing Complex (Bacillariophyta). Protist 2013, 164, 686–705. [Google Scholar] [CrossRef]
- Abarca, N.; Jahn, R.; Zimmermann, J.; Enke, N. Does the Cosmopolitan Diatom Gomphonema Parvulum (Kützing) Kützing Have a Biogeography? PLoS ONE 2014, 9, e86885. [Google Scholar] [CrossRef]
- Xu, C.S.; Hayworth, K.J.; Lu, Z.; Grob, P.; Hassan, A.M.; García-Cerdán, J.G.; Niyogi, K.K.; Nogales, E.; Weinberg, R.J.; Hess, H.F. Enhanced FIB-SEM Systems for Large-Volume 3D Imaging. Elife 2017, 6, e25916. [Google Scholar] [CrossRef]
- Orloff, J. Fundamental Limits to Imaging Resolution for Focused Ion Beams. J. Vac. Sci. Technol. B Microelectron. Nanometer Struct. 1996, 14, 3759. [Google Scholar] [CrossRef]
- Luís, A.T.; Hlúbiková, D.; Vaché, V.; Choquet, P.; Hoffmann, L.; Ector, L. Atomic Force Microscopy (AFM) Application to Diatom Study: Review and Perspectives. J. Appl. Phycol. 2017, 29, 2989–3001. [Google Scholar] [CrossRef]
- Serway, R.; Jewett, J. Physics for Scientists and Engineers with Modern Physics, 7th ed.; Serway, R., Jewett, J., Eds.; Thomson Learning, Inc.: Belmont, CA, USA, 2008; ISBN 978-0-495-11245-7. [Google Scholar]
- Jenkins, F.A.; Francis, A.; White, H.E.; Jenkins, F.A.; Francis, A. Fundamentals of Optics; McGraw-Hill: New York, NY, USA, 2001; ISBN 0072561912. [Google Scholar]
- Kinoshita, S. Fundamentals of Structural Coloration. In Structural Colors in the Realm of Nature; World Scientific: Singapore, 2008; pp. 7–42. [Google Scholar]
- Grunwald, R. Chapter 3—Thin-Film Optics. In Thin Film Micro-Optics; Grunwald, R., Ed.; Elsevier: Amsterdam, The Netherlands, 2007; pp. 39–58. ISBN 978-0-444-51746-3. [Google Scholar]
- Zappe, H. Diffractive Micro-Optics. In Fundamentals of Micro-Optics; Cambridge University Press: Cambridge, UK, 2010; pp. 265–320. [Google Scholar]
- Salvdari, H.; Taghi Tavassoly, M. Fresnel Diffraction from the Edge of a Transparent Plate in the General Case. J. Opt. Soc. Am. A 2018, 35, 496. [Google Scholar] [CrossRef] [PubMed]
- Santhanakrishnan, T.; Rajesh, R.; Awasthi, R.L.; Sreehari, C.v. Optical Diffraction Phenomena around the Edges of Photodetectors: A Simplified Method for Metrological Applications. Sci. Rep. 2019, 9, 3397. [Google Scholar] [CrossRef] [PubMed]
- Zappe, H. Guided-Wave Micro-Optics. In Fundamentals of Micro-Optics; Cambridge University Press: Cambridge, UK, 2010; pp. 321–392. [Google Scholar]
- Zhang, L.; Tang, Y.; Tong, L. Micro-/Nanofiber Optics: Merging Photonics and Material Science on Nanoscale for Advanced Sensing Technology. iScience 2020, 23, 100810. [Google Scholar] [CrossRef]
- Salhi, M.; Evans, P.G. Photonic Nanojet as a Result of a Focused Near-Field Diffraction. J. Opt. Soc. Am. B 2019, 36, 1031. [Google Scholar] [CrossRef]
- Darafsheh, A. Photonic Nanojets and Their Applications. J. Phys. Photonics 2021, 3, 022001. [Google Scholar] [CrossRef]
- Zhu, J.; Goddard, L.L. All-Dielectric Concentration of Electromagnetic Fields at the Nanoscale: The Role of Photonic Nanojets. Nanoscale Adv. 2019, 1, 4615–4643. [Google Scholar] [CrossRef]
- Luk’yanchuk, B.S.; Paniagua-Domínguez, R.; Minin, I.; Minin, O.; Wang, Z. Refractive Index Less than Two: Photonic Nanojets Yesterday, Today and Tomorrow [Invited]. Opt. Mater. Express 2017, 7, 1820. [Google Scholar] [CrossRef]
- Minin, I.v.; Minin, O.v. Mesotronics: Some New, Unusual Optical Effects. Photonics 2022, 9, 762. [Google Scholar] [CrossRef]
- Liu, C.Y.; Lin, F.C. Geometric Effect on Photonic Nanojet Generated by Dielectric Microcylinders with Non-Cylindrical Cross-Sections. Opt. Commun. 2016, 380, 287–296. [Google Scholar]
- Quinten, M. Propagation of Light and Other Electromagnetic Waves. In A Practical Guide to Optical Metrology for Thin Films; Wiley-VCH Verlag GmbH & Co. KGaA: Weinheim, Germany, 2012; pp. 7–57. [Google Scholar]
- Rayleigh, L., XXV. On Copying Diffraction-Gratings, and on Some Phenomena Connected Therewith. Lond. Edinb. Dublin Philos. Mag. J. Sci. 1881, 11, 196–205. [Google Scholar] [CrossRef]
- Kim, M.-S.; Scharf, T.; Menzel, C.; Rockstuhl, C.; Herzig, H.P. Talbot Images of Wavelength-Scale Amplitude Gratings. Opt. Express 2012, 20, 4903. [Google Scholar] [CrossRef] [PubMed]
- Spagnolo, G.S.; Ambrosini, D. Talbot Effect Application: Measurement of Distance with a Fourier-Transform Method. Meas. Sci. Technol. 2000, 11, 77. [Google Scholar] [CrossRef]
- Collin, S. Nanostructure Arrays in Free-Space: Optical Properties and Applications. Rep. Prog. Phys. 2014, 77, 126402. [Google Scholar] [CrossRef] [PubMed]
- Quaranta, G.; Basset, G.; Martin, O.J.F.; Gallinet, B. Recent Advances in Resonant Waveguide Gratings. Laser Photon Rev. 2018, 12, 1800017. [Google Scholar] [CrossRef]
- Raghunathan, V.; Deka, J.; Menon, S.; Biswas, R.; Krishna, A.L. Nonlinear Optics in Dielectric Guided-Mode Resonant Structures and Resonant Metasurfaces. Micromachines 2020, 11, 449. [Google Scholar] [CrossRef]
- Wang, S.S.; Magnusson, R. Theory and Applications of Guided-Mode Resonance Filters; 1993, 32, 2606–2613. Appl. Opt. 1993, 32, 2606–2613. [Google Scholar] [CrossRef]
- Tibuleac, S.; Magnusson, R. Reflection and Transmission Guided-Mode Resonance Filters. J. Opt. Soc. Am. A 1997, 14, 1617. [Google Scholar] [CrossRef]
- Guo, T.; Evans, J.; Wang, N.; Jin, Y.; He, J.; Sun, Y. Guided Mode Resonance in a Low-Index Waveguide Layer. Appl. Sci. 2021, 11, 3312. [Google Scholar] [CrossRef]
- De Stefano, L.; de Stefano, M.; Maddalena, P.; Moretti, L.; Rea, I.; Mocella, V.; Rendina, I. Playing with Light in Diatoms: Small Water Organisms with a Natural Photonic Crystal Structure. In Proceedings of the Photonic Materials, Devices, and Applications II, Gran Canaria, Spain, 23 May 2007; p. 659313. [Google Scholar]
- di Caprio, G.; Coppola, G.; de Stefano, L.; de Stefano, M.; Antonucci, A.; Congestri, R.; Tommasi, E. de Shedding Light on Diatom Photonics by Means of Digital Holography. J. Biophotonics 2014, 7, 341–350. [Google Scholar] [CrossRef]
- Mansuripur, M. The Talbot Effect. In Classical Optics and its Applications; Cambridge University Press: Cambridge, UK, 2011; pp. 367–378. [Google Scholar]
- Pang, S.; Han, C.; Kato, M.; Sternberg, P.W.; Yang, C. Wide and Scalable Field-of-View Talbot-Grid-Based Fluorescence Microscopy. Opt. Lett. 2012, 37, 5018. [Google Scholar] [CrossRef]
- Sun, Y.; Pang, S. Fluorescence Talbot Microscope Using Incoherent Source. J. Biomed. Opt. 2016, 21, 086003. [Google Scholar] [CrossRef]
- Solak, H.H.; Dais, C.; Clube, F. Displacement Talbot Lithography: A New Method for High-Resolution Patterning of Large Areas. Opt. Express 2011, 19, 10686. [Google Scholar] [CrossRef] [PubMed]
- Chausse, P.J.P.; le Boulbar, E.D.; Lis, S.D.; Shields, P.A. Understanding Resolution Limit of Displacement Talbot Lithography. Opt. Express 2019, 27, 5918. [Google Scholar] [CrossRef] [PubMed]
- Wang, A.; Gill, P.; Molnar, A. Light Field Image Sensors Based on the Talbot Effect. Appl. Opt. 2009, 48, 5897. [Google Scholar] [CrossRef] [PubMed]
- De Tommasi, E.; de Luca, A.C. Diatom Biosilica in Plasmonics: Applications in Sensing, Diagnostics and Therapeutics [Invited]. Biomed. Opt. Express 2022, 13, 3080. [Google Scholar] [CrossRef] [PubMed]
- Gilic, M.; Ghobara, M.; Reissig, L. Boosting Surface-Enhanced Raman Scattering by Ultrathin Golden Film on Bio-Photonic Crystals. In Proceedings of the Optica Advanced Photonics Congress 2022, Maastricht, The Netherlands, 24–28 July 2022; p. JW3A.52. [Google Scholar]
- Chu, A.; Gréboval, C.; Goubet, N.; Martinez, B.; Livache, C.; Qu, J.; Rastogi, P.; Bresciani, F.A.; Prado, Y.; Suffit, S.; et al. Near Unity Absorption in Nanocrystal Based Short Wave Infrared Photodetectors Using Guided Mode Resonators. ACS Photonics 2019, 6, 2553–2561. [Google Scholar] [CrossRef]
- De Tommasi, E.; de Luca, A.C.; Lavanga, L.; Dardano, P.; de Stefano, M.; de Stefano, L.; Langella, C.; Rendina, I.; Dholakia, K.; Mazilu, M. Biologically Enabled Sub-Diffractive Focusing. Opt. Express 2014, 22, 27214. [Google Scholar] [CrossRef] [PubMed]
- Hsu, S.-H.; Paoletti, C.; Torres, M.; Ritchie, R.J.; Larkum, A.W.D.; Grillet, C. Light Transmission of the Marine Diatom Coscinodiscus Wailesii. Proc. SPIE 2012, 8339, 83390F. [Google Scholar]
- Li, A.; Zhang, W.; Ghaffarivardavagh, R.; Wang, X.; Anderson, S.W.; Zhang, X. Towards Uniformly Oriented Diatom Frustule Monolayers: Experimental and Theoretical Analyses. Microsyst. Nanoeng. 2016, 2, 16064. [Google Scholar] [CrossRef]
- Su, Y.; Lenau, T.A.; Gundersen, E.; Kirkensgaard, J.J.K.; Maibohm, C.; Pinti, J.; Ellegaard, M. The UV Filtering Potential of Drop-Casted Layers of Frustules of Three Diatom Species. Sci. Rep. 2018, 8, 959. [Google Scholar] [CrossRef]
- Depauw, F.A.; Rogato, A.; Ribera d’Alcala, M.; Falciatore, A. Exploring the Molecular Basis of Responses to Light in Marine Diatoms. J. Exp. Bot. 2012, 63, 1575–1591. [Google Scholar] [CrossRef] [PubMed]
- Cox, E.J.; Williams, D.M. Systematics of Naviculoid Diatoms (Bacillariophyta): A Preliminary Analysis of Protoplast and Frustule Characters for Family and Order Level Classification. Syst. Biodivers. 2006, 4, 385–399. [Google Scholar] [CrossRef]
- Jaubert, M.; Duchêne, C.; Kroth, P.G.; Rogato, A.; Bouly, J.-P.; Falciatore, A. Sensing and Signalling in Diatom Responses to Abiotic Cues. In The Molecular Life of Diatoms; Falciatore, A., Mock, T., Eds.; Springer International Publishing: Cham, Switzerland, 2022; pp. 607–639. ISBN 978-3-030-92499-7. [Google Scholar]
- Schuergers, N.; Lenn, T.; Kampmann, R.; Meissner, M.V.; Esteves, T.; Temerinac-Ott, M.; Korvink, J.G.; Lowe, A.R.; Mullineaux, C.W.; Wilde, A. Cyanobacteria Use Micro-Optics to Sense Light Direction. 2016, 5, e12620. Elife 2016, 5, e12620. [Google Scholar] [CrossRef] [PubMed]
- Nilsson, D.-E.; Colley, N.J. Comparative Vision: Can Bacteria Really See? Curr. Biol. 2016, 26, R369–R371. [Google Scholar] [CrossRef] [PubMed]
- Poulsen, N.; Davutoglu, M.G.; Zackova Suchanova, J. Diatom Adhesion and Motility. In The Molecular Life of Diatoms; Springer International Publishing: Cham, Switzerland, 2022; pp. 367–393. [Google Scholar]
- Cohn, S.; Manoylov, K.; Gordon, R. Diatom Gliding Motility; Cohn, S., Manoylov, K., Gordon, R., Eds.; Wiley-Scrivener: Beverly, MA, USA, 2021; ISBN 9781119526353. [Google Scholar]












| Parameter | Description | Xw (µm) | dXint (µm) | dXext (µm) | Precision (%) |
|---|---|---|---|---|---|
| Lv | Valve length | 7.1 | 0.006 | 0.2 | 3 |
| Wv | Valve width | 4.59 | 0.006 | 0.07 | 2 |
| Dv | Thickness of the valve | 0.17 | 0.01 | 0.004 | 6 |
| Dnod | Thickness of the nodule zone | 0.38 | 0.009 | 0.02 | 5 |
| Wnod | Width of the nodule zone | 0.86 | 0.03 | 0.02 | 4 |
| Lnod | Length of the nodule zone | 1.568 | 0.002 | 0.002 | 0.1 |
| DS | Maximum thickness of the sternum except the nodule zone | 0.26 | 0.03 | 0.01 | 12 |
| ⅟₂Ws | Half-width of the sternum | 0.32 | 0.02 | 0.01 | 5 |
| Lra | Raphe slit length | 5.8 | 0.006 | 0.2 | 3 |
| Wra | Raphe slit width | 0.023 | 0.0004 | 0.004 | 17 |
| dra | Raphe slit spacing at nodule zone | 0.54 | 0.004 | 0.06 | 11 |
| dstr,min/dstr,max | Striae spacing (center to center) | 0.49/0.57 | 0.03/0.02 | 0.02/0.01 | 6/4 |
| da | Areolae spacing (center to center) | 0.214 | 0.008 | 0.006 | 4 |
| 2ra,ext | Areolae diameter (2x radius) external face | 0.100 | 0.007 | 0.002 | 7 |
| 2ra,int | Areolae diameter (2x radius) internal face | 0.15 | 0.01 | 0.008 | 7 |
| hM | Mantle height | 0.58 | 0.004 | 0.08 | 14 |
| WM | Mantle width | 0.184 | 0.009 | 0.004 | 5 |
| Wocc | Width of the pore occlusion slit | 0.017 | 0.002 | 0.002 | 12 |
Disclaimer/Publisher’s Note: The statements, opinions and data contained in all publications are solely those of the individual author(s) and contributor(s) and not of MDPI and/or the editor(s). MDPI and/or the editor(s) disclaim responsibility for any injury to people or property resulting from any ideas, methods, instructions or products referred to in the content. |
© 2022 by the authors. Licensee MDPI, Basel, Switzerland. This article is an open access article distributed under the terms and conditions of the Creative Commons Attribution (CC BY) license (https://creativecommons.org/licenses/by/4.0/).
Share and Cite
Ghobara, M.; Oschatz, C.; Fratzl, P.; Reissig, L. Numerical Analysis of the Light Modulation by the Frustule of Gomphonema parvulum: The Role of Integrated Optical Components. Nanomaterials 2023, 13, 113. https://doi.org/10.3390/nano13010113
Ghobara M, Oschatz C, Fratzl P, Reissig L. Numerical Analysis of the Light Modulation by the Frustule of Gomphonema parvulum: The Role of Integrated Optical Components. Nanomaterials. 2023; 13(1):113. https://doi.org/10.3390/nano13010113
Chicago/Turabian StyleGhobara, Mohamed, Cathleen Oschatz, Peter Fratzl, and Louisa Reissig. 2023. "Numerical Analysis of the Light Modulation by the Frustule of Gomphonema parvulum: The Role of Integrated Optical Components" Nanomaterials 13, no. 1: 113. https://doi.org/10.3390/nano13010113
APA StyleGhobara, M., Oschatz, C., Fratzl, P., & Reissig, L. (2023). Numerical Analysis of the Light Modulation by the Frustule of Gomphonema parvulum: The Role of Integrated Optical Components. Nanomaterials, 13(1), 113. https://doi.org/10.3390/nano13010113

