A Sustainable Strategy for Solid-Phase Extraction of Antiviral Drug from Environmental Waters by Immobilized Hydrogen Bond Acceptor
Abstract
:1. Introduction
2. Experimental
2.1. Reagents and Materials
2.2. Apparatus
2.3. Preparation of the Immobilized Hydrogen Bond Acceptor
2.4. Solid-Phase Extraction Experiments and the Determination of Arbidol
2.4.1. Batch Adsorption Tests
2.4.2. Column Extraction Tests
3. Results and Discussion
3.1. Characterization and Analysis of the Adsorption Materials
3.2. Effects of pH and Temperature
3.3. Adsorption Isotherm
3.4. Adsorption Kinetics
3.5. Enrichment Efficiency of the Immobilized-HBA
3.6. Anti-Interference Ability of the Immobilized-HBA
3.7. Sustainability of Arbidol Wastewater Pretreatment by the Immobilized-HBA
3.8. The Applications of Actual Water Samples
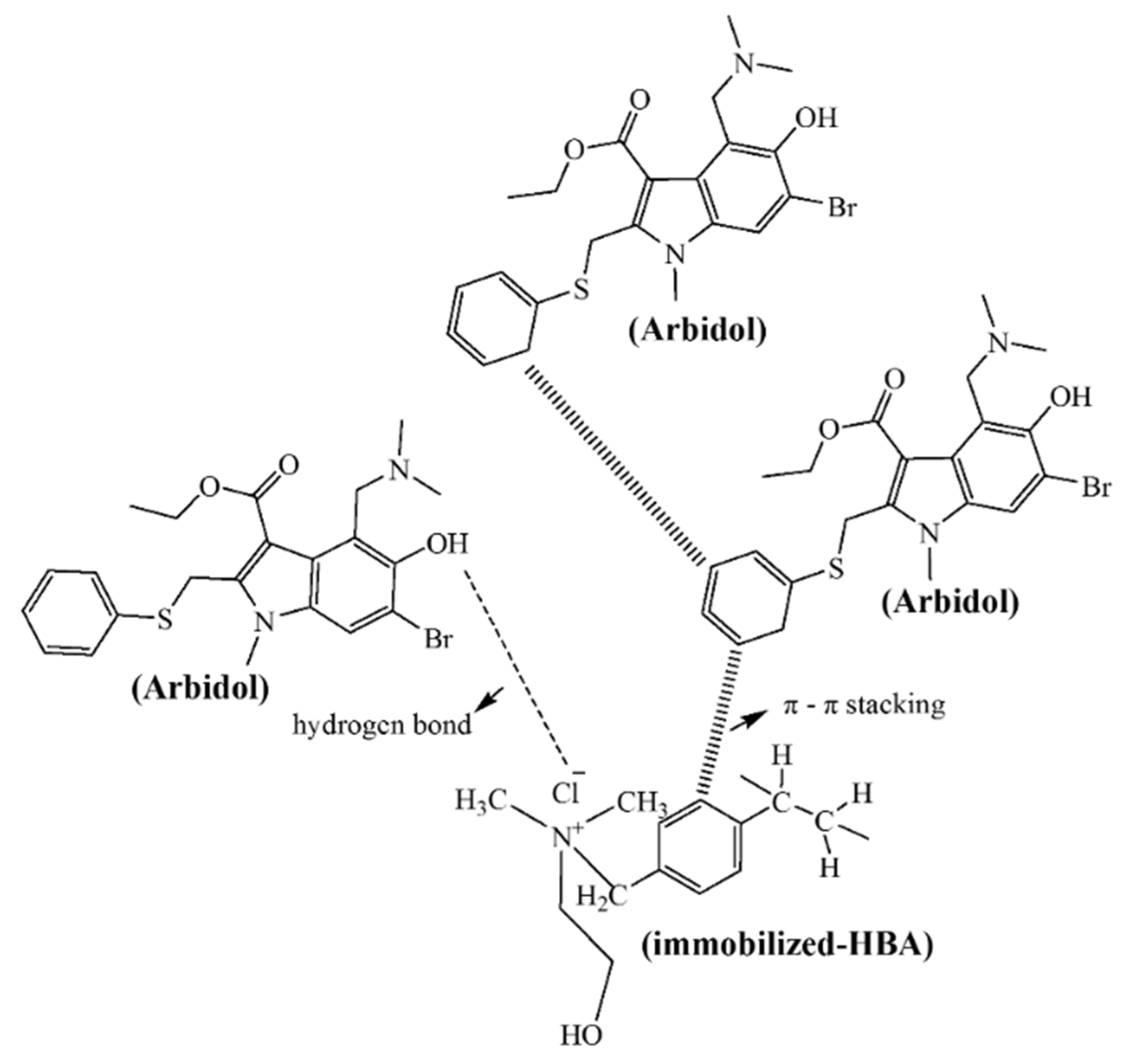
3.9. Adsorption Mechanism of the Immobilized-HBA
4. Conclusions
Supplementary Materials
Author Contributions
Funding
Data Availability Statement
Conflicts of Interest
References
- Yousefi, B.; Valizadeh, S.; Ghaffari, H.; Vahedi, A.; Karbalaei, M.; Eslami, M. A global treatments for coronaviruses including COVID-19. J. Cell. Phys. 2020, 235, 9133–9142. [Google Scholar] [CrossRef]
- Vankadari, N. Arbidol: A potential antiviral drug for the treatment of SARS-CoV-2 by blocking trimerization of the spike glycoprotein. Int. J. Antimicrob. Agents 2020, 56, 105998–106000. [Google Scholar] [CrossRef] [PubMed]
- Boriskin, Y.S.; Leneva, I.A.; Pécheur, E.-I.; Polyak, S.J. Arbidol A Broad-Spectrum Antiviral Compound that Blocks Viral Fusion. Curr. Med. Chem. 2008, 15, 997–1005. [Google Scholar] [CrossRef] [PubMed]
- Deng, P.; Zhong, D.; Yu, K.; Zhang, Y.; Wang, T.; Chen, X. Pharmacokinetics, metabolism, and excretion of the antiviral drug arbidol in humans. Antimicrob. Agents Chemother. 2013, 57, 1743–1755. [Google Scholar] [CrossRef] [PubMed] [Green Version]
- Zhang, Q.; De Oliveira Vigier, K.; Royer, S.; Jerome, F. Deep eutectic solvents: Syntheses, properties and applications. Chem. Soc. Rev. 2012, 41, 7108–7146. [Google Scholar] [CrossRef]
- Smith, E.L.; Abbott, A.P.; Ryder, K.S. Deep eutectic solvents (DESs) and their applications. Chem. Rev. 2014, 114, 11060–11082. [Google Scholar] [CrossRef] [Green Version]
- Lee, J.; Jung, D.; Park, K. Hydrophobic deep eutectic solvents for the extraction of organic and inorganic analytes from aqueous environments. Trends Analyt. Chem. 2019, 118, 853–868. [Google Scholar] [CrossRef]
- Afshar Mogaddam, M.R.; Farajzadeh, M.A.; Mohebbi, A.; Nemati, M. Hollow fiber-liquid phase microextraction method based on a new deep eutectic solvent for extraction and derivatization of some phenolic compounds in beverage samples packed in plastics. Talanta 2020, 216, 120986. [Google Scholar] [CrossRef]
- Dai, Y.; Witkamp, G.J.; Verpoorte, R.; Choi, Y.H. Natural deep eutectic solvents as a new extraction media for phenolic metabolites in Carthamus tinctorius L. Anal. Chem. 2013, 85, 6272–6278. [Google Scholar] [CrossRef]
- Musarurwa, H.; Tavengwa, N.T. Emerging green solvents and their applications during pesticide analysis in food and environmental samples. Talanta 2021, 223, 121507. [Google Scholar] [CrossRef]
- Shishov, A.; Nechaeva, D.; Bulatov, A. HPLC-MS/MS determination of non-steroidal anti-inflammatory drugs in bovine milk based on simultaneous deep eutectic solvents formation and its solidification. Micro. Chem. J. 2019, 150, 104080. [Google Scholar] [CrossRef]
- Shishov, A.; Gagarionova, S.; Bulatov, A. Deep eutectic mixture membrane-based microextraction: HPLC-FLD determination of phenols in smoked food samples. Food Chem. 2020, 314, 126097. [Google Scholar] [CrossRef] [PubMed]
- Shishov, A.Y.; Chislov, M.V.; Nechaeva, D.V.; Moskvin, L.N.; Bulatov, A.V. A new approach for microextraction of non-steroidal anti-inflammatory drugs from human urine samples based on in-situ deep eutectic mixture formation. J. Mol. Liq. 2018, 272, 738–745. [Google Scholar] [CrossRef]
- Akramipour, R.; Golpayegani, M.R.; Ghasemi, M.; Noori, N.; Fattahi, N. Development of an efficient sample preparation method for the speciation of Se(iv)/Se(vi) and total inorganic selenium in blood of children with acute leukemia. New J. Chem. 2019, 43, 6951–6958. [Google Scholar] [CrossRef]
- Akramipour, R.; Golpayegani, M.R.; Gheini, S.; Fattahi, N. Speciation of organic/inorganic mercury and total mercury in blood samples using vortex assisted dispersive liquid-liquid microextraction based on the freezing of deep eutectic solvent followed by GFAAS. Talanta 2018, 186, 17–23. [Google Scholar] [CrossRef]
- Sarmad, S.; Nikjoo, D.; Mikkola, J.-P. Amine functionalized deep eutectic solvent for CO2 capture: Measurements and modeling. J. Mol. Liq. 2020, 309, 113159–113169. [Google Scholar] [CrossRef]
- Hooshmand, S.E.; Afshari, R.; Ramón, D.J.; Varma, R.S. Deep eutectic solvents: Cutting-edge applications in cross-coupling reactions. Green Chem. 2020, 22, 3668–3692. [Google Scholar] [CrossRef]
- Mishra, D.K.; Pugazhenthi, G.; Banerjee, T. Ionic Liquid-Based Deep Eutectic Solvent as Reaction Media for the Thermal Dehydrogenation of Ethylene Diamine-bis-borane. ACS Sustain. Chem. Eng. 2020, 8, 4910–4919. [Google Scholar] [CrossRef]
- Tran, M.K.; Rodrigues, M.-T.F.; Kato, K.; Babu, G.; Ajayan, P.M. Deep eutectic solvents for cathode recycling of Li-ion batteries. Nat. Energy 2019, 4, 339–345. [Google Scholar] [CrossRef]
- Wang, M.; Tan, Q.; Liu, L.; Li, J. A low-toxicity and high-efficiency deep eutectic solvent for the separation of aluminum foil and cathode materials from spent lithium-ion batteries. J. Hazard. Mater. 2019, 380, 120846–120853. [Google Scholar] [CrossRef]
- Zhu, W.; Jin, P.; Cheng, M.; Yang, H.; Du, M.; Li, T.; Zhu, G.; Fan, J. Novel recyclable acidic hydrophobic deep eutectic solvents for highly efficient extraction of calcium dobesilate in water and urine samples. Talanta 2021, 233, 122523. [Google Scholar] [CrossRef] [PubMed]
- Li, T.; Song, Y.; Xu, J.; Fan, J. A hydrophobic deep eutectic solvent mediated sol-gel coating of solid phase microextraction fiber for determination of toluene, ethylbenzene and o-xylene in water coupled with GC-FID. Talanta 2019, 195, 298–305. [Google Scholar] [CrossRef] [PubMed]
- van Osch, D.J.G.P.; Dietz, C.H.J.T.; Warrag, S.E.E.; Kroon, M.C. The Curious Case of Hydrophobic Deep Eutectic Solvents: A Story on the Discovery, Design, and Applications. ACS Sustain. Chem. Eng. 2020, 8, 10591–10612. [Google Scholar] [CrossRef]
- van Osch, D.J.; Parmentier, D.; Dietz, C.H.; van den Bruinhorst, A.; Tuinier, R.; Kroon, M.C. Removal of alkali and transition metal ions from water with hydrophobic deep eutectic solvents. Chem. Commun. 2016, 52, 11987–11990. [Google Scholar] [CrossRef] [Green Version]
- Ding, C.; Li, Y.; Wang, Y.; Li, J.; Sun, Y.; Lin, Y.; Sun, W.; Luo, C. Highly selective adsorption of hydroquinone by hydroxyethyl cellulose functionalized with magnetic/ionic liquid. Int. J. Biol. Macromol. 2018, 107, 957–964. [Google Scholar] [CrossRef]
- Huang, L.; Jin, Y.; Sun, L.; Chen, F.; Fan, P.; Zhong, M.; Yang, J. Graphene oxide functionalized by poly(ionic liquid)s for carbon dioxide capture. J. Appl. Polym. Sci. 2017, 134, 44592–44599. [Google Scholar] [CrossRef]
- Xun, S.; Jiang, W.; Guo, T.; He, M.; Ma, R.; Zhang, M.; Zhu, W.; Li, H. Magnetic mesoporous nanospheres supported phosphomolybdate-based ionic liquid for aerobic oxidative desulfurization of fuel. J. Colloid Interface Sci. 2019, 534, 239–247. [Google Scholar] [CrossRef]
- Jiang, Z.; Lv, L.; Zhang, W.; Du, Q.; Pan, B.; Yang, L.; Zhang, Q. Nitrate reduction using nanosized zero-valent iron supported by polystyrene resins: Role of surface functional groups. Water Res. 2011, 45, 2191–2198. [Google Scholar] [CrossRef]
- Cheng, M.; Jiang, J.; Wang, J.; Fan, J. Highly Salt Resistant Polymer Supported Ionic Liquid Adsorbent for Ultrahigh Capacity Removal of p-Nitrophenol from Water. ACS Sustain. Chem. Eng. 2019, 7, 8195–8205. [Google Scholar] [CrossRef]
- Zhang, Y.; Li, Y.; Li, J.; Gao, Y.; Tan, H.; Wang, K.; Li, J.; Fu, Q. Synthesis and antibacterial characterization of waterborne polyurethanes with gemini quaternary ammonium salt. Sci. Bull. 2015, 60, 1114–1121. [Google Scholar] [CrossRef] [Green Version]
- Wang, H.; Liu, S.; Zhao, Y.; Wang, J.; Yu, Z. Insights into the Hydrogen Bond Interactions in Deep Eutectic Solvents Composed of Choline Chloride and Polyols. ACS Sustain. Chem. Eng. 2019, 7, 7760–7767. [Google Scholar] [CrossRef]
- Wang, N.; Xu, Z.; Xu, W.; Xu, J.; Chen, Y.; Zhang, M. Comparison of coagulation and magnetic chitosan nanoparticle adsorption on the removals of organic compound and coexisting humic acid: A case study with salicylic acid. Chem. Eng. J. 2018, 347, 514–524. [Google Scholar] [CrossRef]
- Banat, F.A.; Al-Bashir, B.; Al-Asheh, S.; Hayajneh, O. Adsorption of phenol by bentonite. Environ. Pollut. 2000, 107, 391–398. [Google Scholar] [CrossRef]
- Zong, E.; Wei, D.; Wan, H.; Zheng, S.; Xu, Z.; Zhu, D. Adsorptive removal of phosphate ions from aqueous solution using zirconia-functionalized graphite oxide. Chem. Eng. J. 2013, 221, 193–203. [Google Scholar] [CrossRef]
- Wu, Z.; Zhong, H.; Yuan, X.; Wang, H.; Wang, L.; Chen, X.; Zeng, G.; Wu, Y. Adsorptive removal of methylene blue by rhamnolipid-functionalized graphene oxide from wastewater. Water Res. 2014, 67, 330–344. [Google Scholar] [CrossRef]
- Zheng, X.; He, L.; Duan, Y.; Jiang, X.; Xiang, G.; Zhao, W.; Zhang, S. Poly(ionic liquid) immobilized magnetic nanoparticles as new adsorbent for extraction and enrichment of organophosphorus pesticides from tea drinks. J. Chromatogr. A 2014, 1358, 39–45. [Google Scholar] [CrossRef]
- Fu, J.; Chen, Z.; Wang, M.; Liu, S.; Zhang, J.; Zhang, J.; Han, R.; Xu, Q. Adsorption of methylene blue by a high-efficiency adsorbent (polydopamine microspheres): Kinetics, isotherm, thermodynamics and mechanism analysis. Chem. Eng. J. 2015, 259, 53–61. [Google Scholar] [CrossRef]
- Ma, Y.; Wang, Q.; Zhu, T. Comparison of hydrophilic and hydrophobic deep eutectic solvents for pretreatment determination of sulfonamides from aqueous environments. Anal. Methods 2019, 11, 5901–5909. [Google Scholar] [CrossRef]
- Rajabi, M.; Ghassab, N.; Hemmati, M.; Asghari, A. Emulsification microextraction of amphetamine and methamphetamine in complex matrices using an up-to-date generation of eco-friendly and relatively hydrophobic deep eutectic solvent. J. Chromatogr. A 2018, 1576, 1–9. [Google Scholar] [CrossRef]







| Varbidol/mL | Ci (μg/mL) | Recovery % | Cf (μg/mL) | Enrichment Factor | RSD (%) |
|---|---|---|---|---|---|
| 50.0 | 0.3 | 99.1 | 4.96 | 16.5 | 1.0 |
| 100.0 | 0.15 | 98.6 | 4.93 | 32.9 | 0.9 |
| 250.0 | 0.06 | 98.5 | 4.93 | 82.2 | 0.9 |
| 500.0 | 0.03 | 97.9 | 4.90 | 163.3 | 1.1 |
| 1000.0 | 0.015 | 97.5 | 4.88 | 325.3 | 1.5 |
| 2000.0 | 0.0075 | 95.2 | 4.76 | 634.7 | 1.8 |
| Coexisting Ion | Permit Ratio | Concentration (mol/L) | R/% | RSD (%) |
|---|---|---|---|---|
| K+ | 50,000 | 1 | 96.9 | 1.8 |
| Na+ | 50,000 | 1 | 97.2 | 2.1 |
| Mg2+ | 50,000 | 1 | 100.2 | 1.5 |
| Ca2+ | 50,000 | 1 | 100.4 | 0.7 |
| Cl− | 50,000 | 1 | 97.2 | 1.9 |
| CO32− | 400 | 94.3 | 1.0 | |
| SO42− | 400 | 95.7 | 1.8 | |
| PO43− | 150 | 94.2 | 1.5 | |
| Soluble starch | 750 | 92.8 | 1.4 | |
| glucose | 50,000 | 1 | 98.4 | 2.7 |
| Eluent | R% | Eluent | R% |
|---|---|---|---|
| 0.1 mol/L CH3COOH | 22.1 | 0.1 mol/L CH3COOH: C2H5OH (5:5) | 54.3 |
| C2H5OH | 93.6 | 0.1 mol/L CH3COOH: C2H5OH (6:4) | 42.7 |
| 0.1 mol/L CH3COOH: C2H5OH (1:9) | 91.7 | 0.1 mol/L CH3COOH: C2H5OH (7:3) | 39.8 |
| 0.1 mol/L CH3COOH: C2H5OH (2:8) | 89.6 | 0.1 mol/L CH3COOH: C2H5OH (8:2) | 31.2 |
| 0.1 mol/L CH3COOH: C2H5OH (3:7) | 84.5 | 0.1 mol/L CH3COOH: C2H5OH (9:1) | 27.9 |
| 0.1 mol/L CH3COOH: C2H5OH (4:6) | 76.7 |
| Sample | Measurement Value (μg/mL) | Arbidol Add (μg/mL) | Recovery (%) | RSD (%) |
|---|---|---|---|---|
| Tap water | Not detected | 0.05 | 97.6 | 2.7 |
| Rain water | Not detected | 0.05 | 96.2 | 1.4 |
| River water | Not detected | 0.05 | 100.3 | 2.7 |
| Lake water | Not detected | 0.05 | 96.5 | 2.1 |
| The yellow river water | Not detected | 0.05 | 96.3 | 2.4 |
| Sewage effluents | Not detected | 0.05 | 94.3 | 2.8 |
| Domestic sewage | Not detected | 0.05 | 92.5 | 3.3 |
Publisher’s Note: MDPI stays neutral with regard to jurisdictional claims in published maps and institutional affiliations. |
© 2022 by the authors. Licensee MDPI, Basel, Switzerland. This article is an open access article distributed under the terms and conditions of the Creative Commons Attribution (CC BY) license (https://creativecommons.org/licenses/by/4.0/).
Share and Cite
Yang, H.; Wang, C.; Zhu, W.; Zhang, X.; Li, T.; Fan, J. A Sustainable Strategy for Solid-Phase Extraction of Antiviral Drug from Environmental Waters by Immobilized Hydrogen Bond Acceptor. Nanomaterials 2022, 12, 1287. https://doi.org/10.3390/nano12081287
Yang H, Wang C, Zhu W, Zhang X, Li T, Fan J. A Sustainable Strategy for Solid-Phase Extraction of Antiviral Drug from Environmental Waters by Immobilized Hydrogen Bond Acceptor. Nanomaterials. 2022; 12(8):1287. https://doi.org/10.3390/nano12081287
Chicago/Turabian StyleYang, Hongrui, Chen Wang, Wenjuan Zhu, Xia Zhang, Tiemei Li, and Jing Fan. 2022. "A Sustainable Strategy for Solid-Phase Extraction of Antiviral Drug from Environmental Waters by Immobilized Hydrogen Bond Acceptor" Nanomaterials 12, no. 8: 1287. https://doi.org/10.3390/nano12081287
APA StyleYang, H., Wang, C., Zhu, W., Zhang, X., Li, T., & Fan, J. (2022). A Sustainable Strategy for Solid-Phase Extraction of Antiviral Drug from Environmental Waters by Immobilized Hydrogen Bond Acceptor. Nanomaterials, 12(8), 1287. https://doi.org/10.3390/nano12081287
