A First-Principles Study on the Multilayer Graphene Nanosheets Anode Performance for Boron-Ion Battery
Abstract
:1. Introduction
2. Theoretical Methods
3. Results and Discussion
3.1. Structural Properties
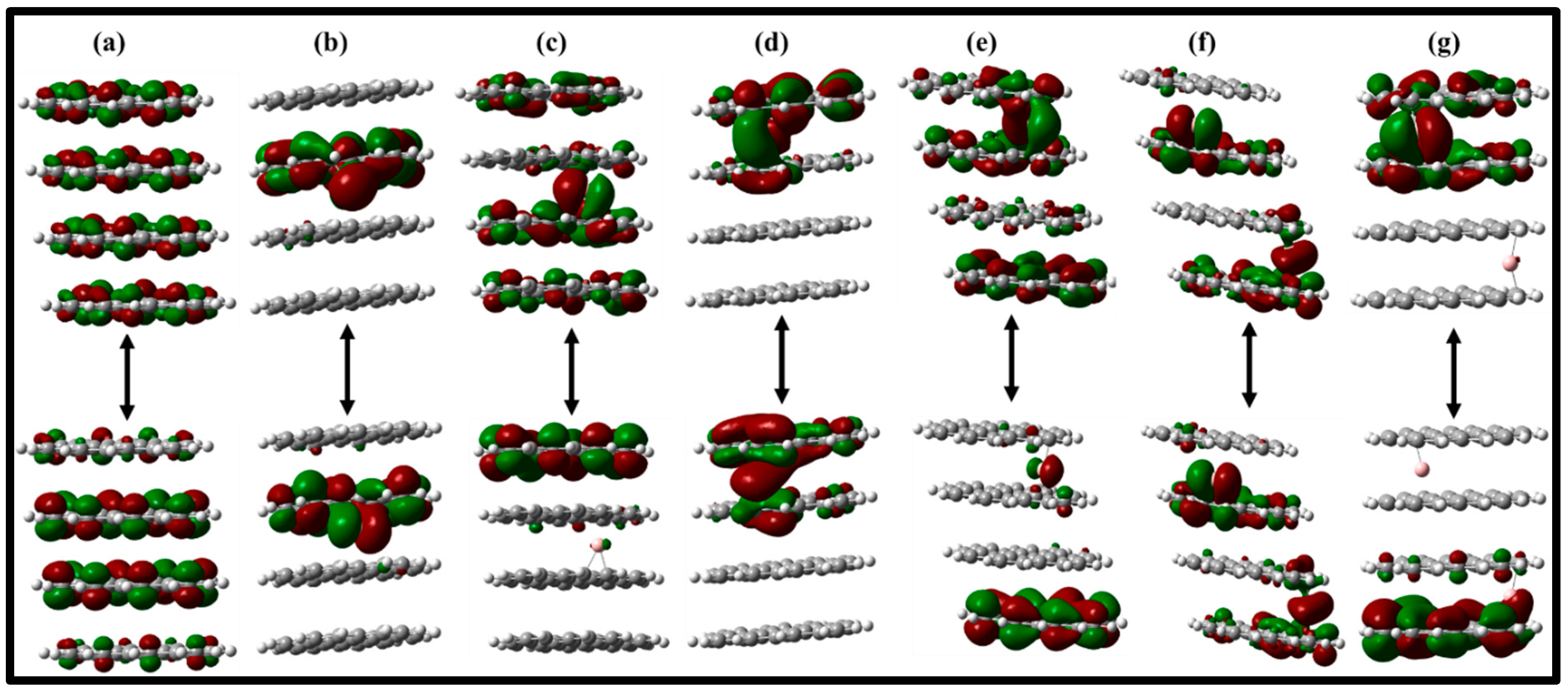
3.2. Electronic Properties of Graphene Sheets and Absorbed B3+ on the Graphene Sheets
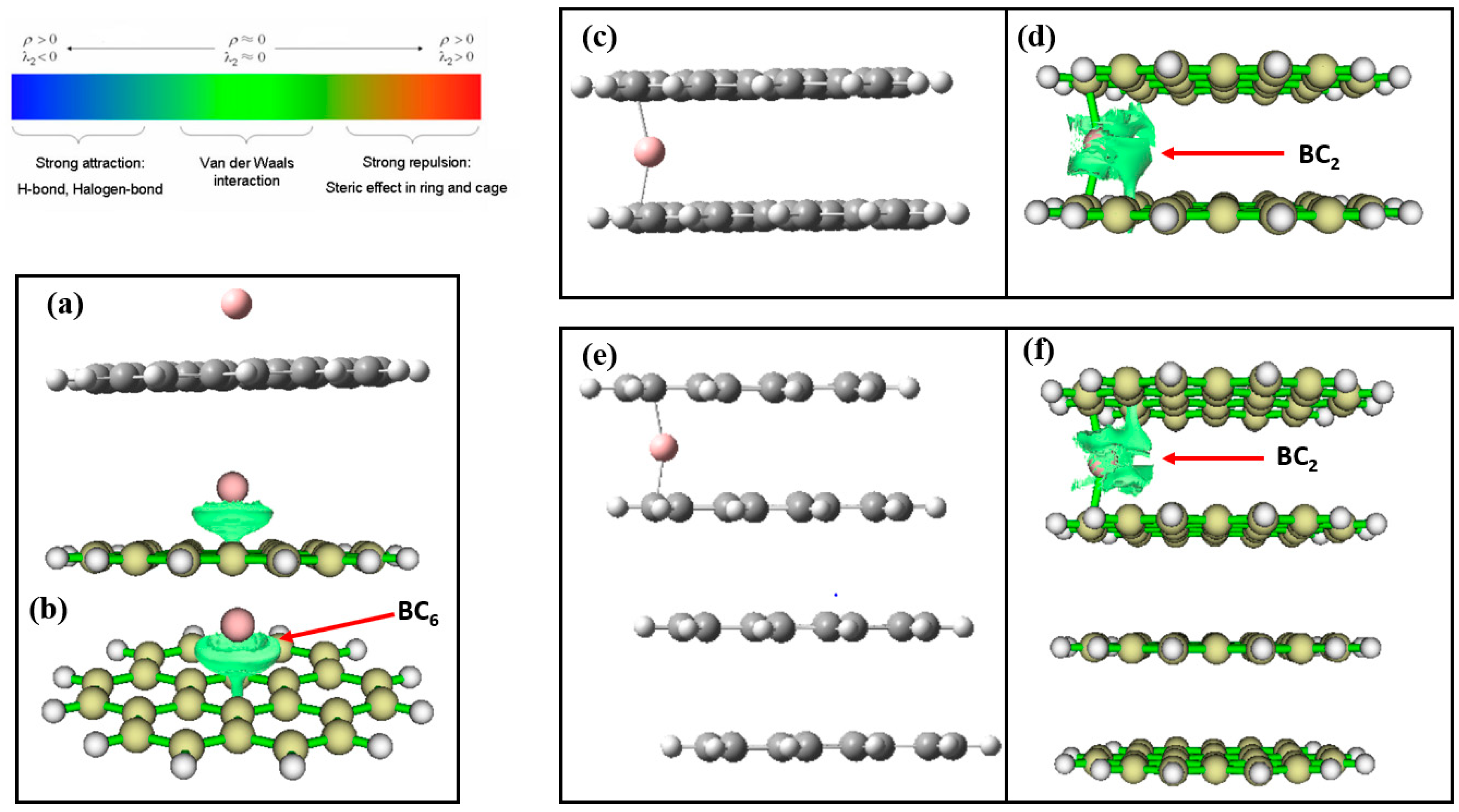
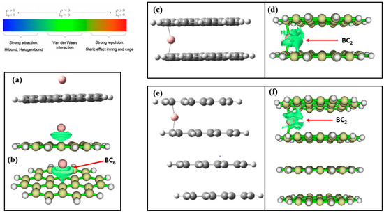
3.3. Adsorption of B3+ Ions on the Wall of Graphene Sheets
3.4. Ion Battery Applications
4. Conclusions
Supplementary Materials
Author Contributions
Funding
Institutional Review Board Statement
Informed Consent Statement
Data Availability Statement
Acknowledgments
Conflicts of Interest
Abbreviations
| RDG | Reduced density gradient |
| MG | Monolayer graphene sheets |
| BG | Bilayer graphene sheets |
| TG | Trilayer graphene sheets |
| TTG | Tetralayer graphene sheets |
| B3+@MG | Absorbed boron ion on monolayer graphitic sheets |
| B@MG | Absorbed boron atom on monolayer graphitic sheets |
| B3+@BG | Intercalated boron ion in bilayer graphitic sheets |
| B@BG | Intercalated boron atom in bilayer graphitic sheets |
| B3+@TG | Intercalated boron ion in trilayer graphitic sheets |
| B@TG | Intercalated boron atom in trilayer graphitic sheets |
| 2B3+@TG | Two intercalated boron ions in trilayer graphitic sheets |
| 2B@TG | Two intercalated boron atoms in trilayer graphitic sheets |
| B3+@TTG | Intercalated boron ion in tetralayer graphitic sheets (in symmetry to the sheets) |
| B@TTG | Intercalated boron atom in tetralayer graphitic sheets (in symmetry to the sheets) |
| B3+@TTG | Intercalated boron ion in tetralayer graphitic sheets (in asymmetry to the sheets) |
| B@TTG | Intercalated boron atom in tetralayer graphitic sheets (in asymmetry to the sheets) |
| 2B3+@TTG | Two intercalated boron ions in tetralayer graphitic sheets |
| 2B@TTG | Two intercalated boron atoms in tetralayer graphitic sheets |
| HOMO | Highest occupied molecular orbital |
| LUMO | Lowest occupied molecular orbital |
| DFT | Density Functional Theory |
| PBE | Perdew–Burke–Ernzerhof |
| GGA | Generalized gradient approximation |
| Ead | Adsorption energies |
| EComplex | Energy of the complex (adsorbate and substrate) |
| Eadsorbate | Energy of the boron atom (ionic or neutral) |
| ESubatrate | Energy of the graphene sheets |
| RDG | Reduced density gradient |
| SIBs | Sodium-ion batteries |
| LIBs | Lithium-ion batteries |
| BIBs | Boron-ion batteries |
| PDOS | Projected density of states |
| DOS | Density of states |
| α-layer | The graphene layer directly beneath the intercalated boron atom/ion |
| β-layer | The graphene layer directly above the intercalated boron atom/ion |
| AA | Similar graphene layer stacking for bilayer |
| AB | Different graphene layer stacking for bilayer |
| ABA | Alternated graphene layer stacking for trilayer |
| AAB | Random graphene layer stacking for trilayer |
| ABAB | Alternated graphene layer stacking for tetralayer |
| AABA | Random graphene layer stacking for tetralayer |
| AABB | Regular graphene layer stacking for tetralayer |
References
- Nnadiekwe, C.C.; Abdulazeez, I.; Haroon, M.; Peng, Q.; Jalilov, A.; Al-Saadi, A. Impact of Polypyrrole Functionalization on the Anodic Performance of Boron Nitride Nanosheets: Insights from First-Principles Calculations. Front. Chem. 2021, 9, 274. [Google Scholar] [CrossRef] [PubMed]
- Chen, S.; Feng, F.; Che, H.; Yin, Y.; Ma, Z.-F. High Performance Solid-State Sodium Batteries Enabled by Boron Contained 3D Composite Polymer Electrolyte. Chem. Eng. J. 2021, 406, 126736. [Google Scholar] [CrossRef]
- Armand, M.; Tarascon, J.-M. Building Better Batteries. Nature 2008, 451, 652–657. [Google Scholar] [CrossRef] [PubMed]
- Prosini, P.P.; Cento, C.; Carewska, M.; Masci, A. Electrochemical Performance of Li-Ion Batteries Assembled with Water-Processable Electrodes. Solid State Ion. 2015, 274, 34–39. [Google Scholar] [CrossRef]
- Johannes, M.D.; Swider-Lyons, K.; Love, C.T. Oxygen Character in the Density of States as an Indicator of the Stability of Li-Ion Battery Cathode Materials. Solid State Ion. 2016, 286, 83–89. [Google Scholar] [CrossRef] [Green Version]
- Kino, K.; Yonemura, M.; Ishikawa, Y.; Kamiyama, T. Two-Dimensional Imaging of Charge/Discharge by Bragg Edge Analysis of Electrode Materials for Pulsed Neutron-Beam Transmission Spectra of a Li-Ion Battery. Solid State Ion. 2016, 288, 257–261. [Google Scholar] [CrossRef]
- Nitta, N.; Wu, F.; Lee, J.T.; Yushin, G. Li-Ion Battery Materials: Present and Future. Mater. Today 2015, 18, 252–264. [Google Scholar] [CrossRef]
- Youn, Y.; Gao, B.; Kamiyama, A.; Kubota, K.; Komaba, S.; Tateyama, Y. Nanometer-Size Na Cluster Formation in Micropore of Hard Carbon as Origin of Higher-Capacity Na-Ion Battery. Npj Comput. Mater. 2021, 7, 48. [Google Scholar] [CrossRef]
- Naumov, A.V.; Naumova, M.A. Modern State of the World Lithium Market. Russ. J. Non-Ferrous Met. 2010, 51, 324–330. [Google Scholar] [CrossRef]
- Grosjean, C.; Miranda, P.H.; Perrin, M.; Poggi, P. Assessment of World Lithium Resources and Consequences of Their Geographic Distribution on the Expected Development of the Electric Vehicle Industry. Renew. Sustain. Energy Rev. 2012, 16, 1735–1744. [Google Scholar] [CrossRef]
- Martin, G.; Rentsch, L.; Höck, M.; Bertau, M. Lithium Market Research—Global Supply, Future Demand and Price Development. Energy Storage Mater. 2017, 6, 171–179. [Google Scholar] [CrossRef]
- Hosseinian, A.; Soleimani-amiri, S.; Arshadi, S.; Vessally, E.; Edjlali, L. Boosting the Adsorption Performance of BN Nanosheet as an Anode of Na-Ion Batteries: DFT Studies. Phys. Lett. A 2017, 381, 2010–2015. [Google Scholar] [CrossRef]
- Barker, J.; Saidi, M.Y.; Swoyer, J.L. A Sodium-Ion Cell Based on the Fluorophosphate Compound NaVPO[Sub 4]F. Electrochem. Solid-State Lett. 2003, 6, A1. [Google Scholar] [CrossRef]
- Er, D.; Li, J.; Naguib, M.; Gogotsi, Y.; Shenoy, B.V. Ti3C2 MXene as a High Capacity Electrode Material for Metal (Li, Na, K, Ca) Ion Batteries. ACS Appl. Mater. Interfaces 2014, 6, 11173–11179. [Google Scholar] [CrossRef]
- Palomares, V.; Serras, P.; Villaluenga, I.; Hueso, K.B.; Carretero-González, J.; Rojo, T. Na-Ion Batteries, Recent Advances and Present Challenges to Become Low Cost Energy Storage Systems. Energy Environ. Sci. 2012, 5, 5884–5901. [Google Scholar] [CrossRef]
- Yabuuchi, N.; Kubota, K.; Dahbi, M.; Komaba, S. Research Development on Sodium-Ion Batteries. Chem. Rev. 2014, 114, 11636–11682. [Google Scholar] [CrossRef]
- Landi, B.J.; Ganter, M.J.; Cress, C.D.; DiLeo, R.A.; Raffaelle, R.P. Carbon Nanotubes for Lithium Ion Batteries. Energy Environ. Sci. 2009, 2, 638–654. [Google Scholar] [CrossRef]
- Jeong, M.; Ahn, S.; Yokoshima, T.; Nara, H.; Momma, T.; Osaka, T. New Approach for Enhancing Electrical Conductivity of Electrodeposited Si-Based Anode Material for Li Secondary Batteries: Self-Incorporation of Nano Cu Metal in Si–O–C Composite. Nano Energy 2016, 28, 51–62. [Google Scholar] [CrossRef] [Green Version]
- Jiang, Q.; Zhang, Z.; Yin, S.; Guo, Z.; Wang, S.; Feng, C. Biomass Carbon Micro/Nano-Structures Derived from Ramie Fibers and Corncobs as Anode Materials for Lithium-Ion and Sodium-Ion Batteries. Appl. Surf. Sci. 2016, 379, 73–82. [Google Scholar] [CrossRef]
- Golberg, D.; Bando, Y.; Huang, Y.; Terao, T.; Mitome, M.; Tang, C.; Zhi, C. Boron Nitride Nanotubes and Nanosheets. ACS Nano 2010, 4, 2979–2993. [Google Scholar] [CrossRef]
- Peyghan, A.A.; Noei, M.; Yourdkhani, S. Al-Doped Graphene-like BN Nanosheet as a Sensor for Para-Nitrophenol: DFT Study. Superlattices Microstruct. 2013, 59, 115–122. [Google Scholar] [CrossRef]
- Shao, D.; Tang, D.; Yang, J.; Li, Y.; Zhang, L. Nano-Structured Composite of Si/(S-Doped-Carbon Nanowire Network) as Anode Material for Lithium-Ion Batteries. J. Power Sources 2015, 297, 344–350. [Google Scholar] [CrossRef]
- Gurung, A.; Naderi, R.; Vaagensmith, B.; Varnekar, G.; Zhou, Z.; Elbohy, H.; Qiao, Q. Tin Selenide—Multi-Walled Carbon Nanotubes Hybrid Anodes for High Performance Lithium-Ion Batteries. Electrochim. Acta 2016, 211, 720–725. [Google Scholar] [CrossRef]
- Chen, B.; Chu, S.; Cai, R.; Wei, S.; Hu, R.; Zhou, J. First-Principles Simulations of Lithiation–Deformation Behavior in Silicon Nanotube Electrodes. Comput. Mater. Sci. 2016, 123, 44–51. [Google Scholar] [CrossRef]
- Peyghan, A.A.; Noei, M. A Theoretical Study of Lithium-Intercalated Pristine and Doped Carbon Nanocones. J. Mex. Chem. Soc. 2014, 58, 46–51. [Google Scholar]
- Lee, S.W.; Yabuuchi, N.; Gallant, B.M.; Chen, S.; Kim, B.-S.; Hammond, P.T.; Shao-Horn, Y. High-Power Lithium Batteries from Functionalized Carbon-Nanotube Electrodes. Nat. Nanotechnol. 2010, 5, 531–537. [Google Scholar] [CrossRef] [PubMed]
- Liu, Y.; Artyukhov, V.I.; Liu, M.; Harutyunyan, A.R.; Yakobson, I.B. Feasibility of Lithium Storage on Graphene and Its Derivatives. J. Phys. Chem. Lett. 2013, 4, 1737–1742. [Google Scholar] [CrossRef] [Green Version]
- Qie, L.; Chen, W.-M.; Wang, Z.-H.; Shao, Q.-G.; Li, X.; Yuan, L.-X.; Hu, X.-L.; Zhang, W.-X.; Huang, Y.-H. Nitrogen-Doped Porous Carbon Nanofiber Webs as Anodes for Lithium Ion Batteries with a Superhigh Capacity and Rate Capability. Adv. Mater. 2012, 24, 2047–2050. [Google Scholar] [CrossRef]
- Wu, Z.-S.; Ren, W.; Xu, L.; Li, F.; Cheng, H.-M. Doped Graphene Sheets As Anode Materials with Superhigh Rate and Large Capacity for Lithium Ion Batteries. ACS Nano 2011, 5, 5463–5471. [Google Scholar] [CrossRef]
- Hardikar, R.P.; Das, D.; Han, S.S.; Lee, K.-R.; Singh, A.K. Boron Doped Defective Graphene as a Potential Anode Material for Li-Ion Batteries. Phys. Chem. Chem. Phys. 2014, 16, 16502–16508. [Google Scholar] [CrossRef]
- Yu, Y.-X. Can All Nitrogen-Doped Defects Improve the Performance of Graphene Anode Materials for Lithium-Ion Batteries? Phys. Chem. Chem. Phys. 2013, 15, 16819–16827. [Google Scholar] [CrossRef]
- Chen, C.; Wang, Z.; Zhang, B.; Miao, L.; Cai, J.; Peng, L.; Huang, Y.; Jiang, J.; Huang, Y.; Zhang, L.; et al. Nitrogen-Rich Hard Carbon as a Highly Durable Anode for High-Power Potassium-Ion Batteries. Energy Storage Mater. 2017, 8, 161–168. [Google Scholar] [CrossRef]
- Xu, D.; Chen, C.; Xie, J.; Zhang, B.; Miao, L.; Cai, J.; Huang, Y.; Zhang, L. A Hierarchical N/S-Codoped Carbon Anode Fabricated Facilely from Cellulose/Polyaniline Microspheres for High-Performance Sodium-Ion Batteries. Adv. Energy Mater. 2016, 6, 1501929. [Google Scholar] [CrossRef]
- Cao, Q.; Geng, X.; Wang, H.; Wang, P.; Liu, A.; Lan, Y.; Peng, Q. Crystals A Review of Current Development of Graphene Mechanics. Crystals 2018, 8, 357. [Google Scholar] [CrossRef] [Green Version]
- Peng, Q.; Han, L.; Lian, J.; Wen, X.; Liu, S.; Chen, Z.; Koratkar, N.; De, S. Mechanical Degradation of Graphene by Epoxidation: Insights from First-Principles Calculations. Phys. Chem. Chem. Phys 1948, 17, 19484. [Google Scholar] [CrossRef]
- Wang, L.; Jin, J.; Yang, P.; Zong, Y.; Peng, Q. Graphene Adhesion Mechanics on Iron Substrates: Insight from Molecular Dynamic Simulations. Crystals 2019, 9, 579. [Google Scholar] [CrossRef] [Green Version]
- Chen, Y.; Wang, S.; Xie, L.; Zhu, P.; Li, R.; Peng, Q. Grain Size and Hydroxyl-Coverage Dependent Tribology of Polycrystalline Graphene. Nanotechnology 2019, 30, 385701. [Google Scholar] [CrossRef]
- Chen, H.; Chen, Z.; Yang, H.; Wen, L.; Yi, Z.; Zhou, Z.; Dai, B.; Zhang, J.; Wu, X.; Wu, P. Multi-Mode Surface Plasmon Resonance Absorber Based on Dart-Type Single-Layer Graphene. RSC Adv. 2022, 12, 7821–7829. [Google Scholar] [CrossRef]
- Zhang, Z.; Cai, R.; Long, F.; Wang, J. Development and Application of Tetrabromobisphenol A Imprinted Electrochemical Sensor Based on Graphene/Carbon Nanotubes Three-Dimensional Nanocomposites Modified Carbon Electrode. Talanta 2015, 134, 435–442. [Google Scholar] [CrossRef]
- Tang, N.; Li, Y.; Chen, F.; Han, Z. In Situ Fabrication of a Direct Z-Scheme Photocatalyst by Immobilizing CdS Quantum Dots in the Channels of Graphene-Hybridized and Supported Mesoporous Titanium Nanocrystals for High Photocatalytic Performance under Visible Light. RSC Adv. 2018, 8, 42233–42245. [Google Scholar] [CrossRef] [Green Version]
- Xiao, L.; Youji, L.; Feitai, C.; Peng, X.; Ming, L. Facile Synthesis of Mesoporous Titanium Dioxide Doped by Ag-Coated Graphene with Enhanced Visible-Light Photocatalytic Performance for Methylene Blue Degradation. RSC Adv. 2017, 7, 25314–25324. [Google Scholar] [CrossRef] [Green Version]
- Peng, Q.; Chen, X.-J.; Ji, W.; De, S. Chemically Tuning Mechanics of Graphene by BN. Adv. Eng. Mater. 2013, 15, 718–727. [Google Scholar] [CrossRef]
- Peng, Q.; Liang, C.; Ji, W.; De, S. A theoretical analysis of the effect of the hydrogenation of graphene to graphane on its mechanical properties. Phys. Chem. Chem. Phys 2013, 15, 2003–2011. [Google Scholar] [CrossRef]
- Hou, J.; Deng, B.; Zhu, H.; Lan, Y.; Shi, Y.; De, S.; Liu, L.; Chakraborty, P.; Gao, F.; Peng, Q. Magic Auxeticity Angle of Graphene. Carbon 2019, 149, 350–354. [Google Scholar] [CrossRef] [Green Version]
- Deng, B.; Hou, J.; Zhu, H.; Liu, S.; Liu, E.; Shi, Y.; Peng, Q. The normal-auxeticity mechanical phase transition in graphene. 2D Mater. 2017, 4, 021020. [Google Scholar] [CrossRef]
- Wang, W.; Peng, Q.; Dai, Y.; Qian, Z.; Liu, S. Distinctive Nanofriction of Graphene Coated Copper Foil. Comput. Mater. Sci. 2016, 117, 406–411. [Google Scholar] [CrossRef]
- Alahmed, I.I.; Altanany, S.M.; Abdulazeez, I.; Shoaib, H.; Alsayoud, A.Q.; Abbout, A.; Peng, Q.; Sa, A.A. The Crack Angle of 60 o Is the Most Vulnerable Crack Front in Graphene According to MD Simulations. Crystals 2021, 11, 1355. [Google Scholar] [CrossRef]
- Shoaib, H.; Peng, Q.; Alsayoud, A.Q.; Sa, A.Q.A. Atomic Insights into Fracture Characteristics of Twisted Tri-Layer Graphene. Crystals 2021, 11, 1202. [Google Scholar] [CrossRef]
- Peng, Q.; Peng, S.; Cao, Q. Ultrahigh Ballistic Resistance of Twisted Bilayer Graphene. Crystals 2021, 11, 206. [Google Scholar] [CrossRef]
- Allen, M.J.; Tung, V.C.; Kaner, R.B. Honeycomb Carbon: A Review of Graphene. Chem. Rev. 2010, 110, 132–145. [Google Scholar] [CrossRef]
- Lian, P.; Zhu, X.; Liang, S.; Li, Z.; Yang, W.; Wang, H. Large Reversible Capacity of High Quality Graphene Sheets as an Anode Material for Lithium-Ion Batteries. Electrochim. Acta 2010, 55, 3909–3914. [Google Scholar] [CrossRef]
- Yang, S.; Gong, Y.; Liu, Z.; Zhan, L.; Hashim, D.P.; Ma, L.; Vajtai, R.; Ajayan, P.M. Bottom-up Approach toward Single-Crystalline VO2-Graphene Ribbons as Cathodes for Ultrafast Lithium Storage. Nano Lett. 2013, 13, 1596–1601. [Google Scholar] [CrossRef] [PubMed]
- Paek, S.-M.; Yoo, E.; Honma, I. Enhanced Cyclic Performance and Lithium Storage Capacity of SnO2/Graphene Nanoporous Electrodes with Three-Dimensionally Delaminated Flexible Structure. Nano Lett. 2009, 9, 72–75. [Google Scholar] [CrossRef] [PubMed]
- Zhou, D.; Cui, Y.; Han, B. Graphene-Based Hybrid Materials and Their Applications in Energy Storage and Conversion. Chin. Sci. Bull. 2012, 57, 2983–2994. [Google Scholar] [CrossRef] [Green Version]
- Zhang, J.; Hu, Y.-S.; Tessonnier, J.-P.; Weinberg, G.; Maier, J.; Schlögl, R.; Su, D.S. CNFs@CNTs: Superior Carbon for Electrochemical Energy Storage. Adv. Mater. 2008, 20, 1450–1455. [Google Scholar] [CrossRef] [Green Version]
- Yang, S.; Huo, J.; Song, H.; Chen, X. A Comparative Study of Electrochemical Properties of Two Kinds of Carbon Nanotubes as Anode Materials for Lithium Ion Batteries. Electrochim. Acta 2008, 53, 2238–2244. [Google Scholar] [CrossRef]
- Gerouki, A.; Goldner, M.A.; Goldner, R.B.; Haas, T.E.; Liu, T.Y.; Slaven, S. Density of States Calculations of Small Diameter Single Graphene Sheets. J. Electrochem. Soc. 1996, 143, L262–L263. [Google Scholar] [CrossRef]
- Ling, C.; Mizuno, F. Boron-Doped Graphene as a Promising Anode for Na-Ion Batteries. Phys. Chem. Chem. Phys. 2014, 16, 10419–10424. [Google Scholar] [CrossRef]
- Farsi, L.; Deskins, N.A. First principles analysis of surface dependent segregation in bimetallic alloys. Phys. Chem. Chem. Phys. 2019, 21, 23626–23637. [Google Scholar] [CrossRef]
- Haas, P.; Tran, F.; Blaha, P. Calculation of the Lattice Constant of Solids with Semilocal Functionals. Phys. Rev. B 2009, 79, 85104. [Google Scholar] [CrossRef] [Green Version]
- Janthon, P.; Luo, S.; Kozlov, S.M.; Vin, F.; Limtrakul, J.; Truhlar, D.G.; Illas, F. Bulk Properties of Transition Metals: A Challenge for the Design of Universal Density Functionals. J. Chem. Theory Comput. 2014, 10, 3832–3839. [Google Scholar] [CrossRef] [PubMed] [Green Version]
- Perdew, J.P.; Burke, K.; Ernzerhof, M. Generalized Gradient Approximation Made Simple. Phys. Rev. Lett. 1996, 77, 3865. [Google Scholar] [CrossRef] [PubMed] [Green Version]
- Lieb, E.H.; Oxford, S. Improved Lower Bound on the Indirect Coulomb Energy. Int. J. Quantum Chem. 1981, 19, 427–439. [Google Scholar] [CrossRef]
- Abdulazeez, I.; Khaled, M.; Al-Saadi, A.A. Impact of Electron-Withdrawing and Electron-Donating Substituents on the Corrosion Inhibitive Properties of Benzimidazole Derivatives: A Quantum Chemical Study. J. Mol. Struct. 2019, 1196, 348–355. [Google Scholar] [CrossRef]
- Umar, M.; Nnadiekwe, C.C.; Abdulazeez, I.; Alhooshani, K.; Al-Saadi, A.A. Nitrogen-Enhanced Charge Transfer Efficacy on the Carbon Sheet: A Theoretical Insight Into the Adsorption of Anionic Dyes. Arab. J. Sci. Eng. 2021. [Google Scholar] [CrossRef]
- Li, M.-Y.; Zhao, Y.-X.; Han, Y.-B.; Yuan, K.; Nagase, S.; Ehara, M.; Zhao, X. Theoretical Investigation of the Key Roles in Fullerene-Formation Mechanisms: Enantiomer and Enthalpy. ACS Appl. Nano Mater. 2020, 3, 547–554. [Google Scholar] [CrossRef] [Green Version]
- Pounraj, P.; Ramasamy, P.; Senthil Pandian, M. The Influence of π-Linkers Configuration on Properties of 10-Hexylphenoxazine Donor-Based Sensitizer for Dye-Sensitized Solar Cell Application—Theoretical Approach. J. Mol. Graph. Model. 2021, 102, 107779. [Google Scholar] [CrossRef]
- Peng, Q.; Wang, G.; Liu, G.-R.; De, S. Van Der Waals Density Functional Theory VdW-DFq for Semihard Materials. Crystals 2019, 9, 243. [Google Scholar] [CrossRef] [Green Version]
- Umar, M.; Abdulazeez, I.; Tanimu, A.; Ganiyu, S.A.; Alhooshani, K. Modification of ZSM-5 Mesoporosity and Application as Catalyst Support in Hydrodesulfurization of Dibenzothiophene: Experimental and DFT Studies. J. Environ. Chem. Eng. 2021, 9, 106738. [Google Scholar] [CrossRef]
- O’Boyle, N.M.; Tenderholt, A.L.; Langner, K.M. Cclib: A Library for Package-Independent Computational Chemistry Algorithms. J. Comput. Chem. 2008, 29, 839–845. [Google Scholar] [CrossRef]
- Wu, X.; Zhang, Z.; Soleymanabadi, H. Substituent Effect on the Cell Voltage of Nanographene Based Li-Ion Batteries: A DFT Study. Solid State Commun. 2020, 306, 113770. [Google Scholar] [CrossRef]
- Bibi, S.; Bilal, S.; Ali Shah, A.-H.; Ullah, H. Systematic Analysis of Poly(o-Aminophenol) Humidity Sensors. ACS Omega 2017, 2, 6380–6390. [Google Scholar] [CrossRef] [PubMed]
- Wang, G.; Yu, M.; Feng, X. Carbon Materials for Ion-Intercalation Involved Rechargeable Battery Technologies. Chem. Soc. Rev. 2020, 50, 2388–2443. [Google Scholar] [CrossRef] [PubMed]
- Bader, R.F.W. A Quantum Theory; Clarendon Press: Oxford, UK, 1994. [Google Scholar]
- Abdelnaby, M.M.; Cordova, K.E.; Abdulazeez, I.; Alloush, A.M.; Al-Maythalony, B.A.; Mankour, Y.; Alhooshani, K.; Saleh, T.A.; Charles, O.; Al Hamouz, S. Novel Porous Organic Polymer for the Concurrent and Selective Removal of Hydrogen Sulfide and Carbon Dioxide from Natural Gas Streams. ACS Appl. Mater. Interfaces 2020, 12, 47992. [Google Scholar] [CrossRef]
- Zhang, C.; Derakhshandeh, M. CS2 Adsorption on Pristine and Al-Doped Graphynes: A DFT Study. Comput. Theor. Chem. 2021, 1204, 113380. [Google Scholar] [CrossRef]
- Nnadiekwe, C.C.; Nada, A.; Abdulazeez, I.; Imam, M.R.; Janjua, M.R.S.A.; Al-Saadi, A.A. UV-Absorbing Benzamide-Based Dendrimer Precursors: Synthesis, Theoretical Calculation, and Spectroscopic Characterization. New J. Chem. 2022, 46, 75–85. [Google Scholar] [CrossRef]
- Deng, C.; Lau, M.L.; Barkholtz, H.M.; Xu, H.; Parrish, R.; Xu, M.O.; Xu, T.; Liu, Y.; Wang, H.; Connell, J.G.; et al. Amorphous Boron Nanorod as an Anode Material for Lithium-Ion Batteries at Room Temperature. Nanoscale 2017, 9, 10757–10763. [Google Scholar] [CrossRef] [Green Version]
- Nayak, D.; Ghosh, S.; Adyam, V. Thin Film Manganese Oxide Polymorphs as Anode for Sodium-Ion Batteries: An Electrochemical and DFT Based Study. Mater. Chem. Phys. 2018, 217, 82–89. [Google Scholar] [CrossRef]
- Nejati, K.; Hosseinian, A.; Bekhradnia, A.; Vessally, E.; Edjlali, L. Na-Ion Batteries Based on the Inorganic BN Nanocluster Anodes: DFT Studies. J. Mol. Graph. Model. 2017, 74, 1–7. [Google Scholar] [CrossRef]
- Ullah, S.; Denis, P.A.; Sato, F. Hexagonal Boron Phosphide as a Potential Anode Nominee for Alkali-Based Batteries: A Multi-Flavor DFT Study. Appl. Surf. Sci. 2019, 471, 134–141. [Google Scholar] [CrossRef]
- Kosar, N.; Asgar, M.; Ayub, K.; Mahmood, T. Halides Encapsulation in Aluminum/Boron Phosphide Nanoclusters: An Effective Strategy for High Cell Voltage in Na-Ion Battery. Mater. Sci. Semicond. Process. 2019, 97, 71–79. [Google Scholar] [CrossRef]
- Han, X.; Liu, C.; Sun, J.; Sendek, A.D.; Yang, W. Density Functional Theory Calculations for Evaluation of Phosphorene as a Potential Anode Material for Magnesium Batteries. RSC Adv. 2018, 8, 7196–7204. [Google Scholar] [CrossRef] [Green Version]
- Liang, Y.; Feng, R.; Yang, S.; Ma, H.; Liang, J.; Chen, J. Rechargeable Mg Batteries with Graphene-like MoS2 Cathode and Ultrasmall Mg Nanoparticle Anode. Adv. Mater. 2011, 23, 640–643. [Google Scholar] [CrossRef] [PubMed]
- Shakerzadeh, E.; Kazemimoghadam, F. Magnesiation of Bare and Halides Encapsulated B40 Fullerenes for Their Potential Application as Promising Anode Materials for Mg-Ion Batteries. Appl. Surf. Sci. 2021, 538, 148060. [Google Scholar] [CrossRef]







| Complexes | C → B3+ Interaction (σ Donation) | B3+ → C Interaction (p−π* Back-Donation) | Total Charge |
|---|---|---|---|
| B3+@MG | 0.645 | −0.049 | 0.596 |
| B3+@BG | 0.971 | C1 = −0.413 C2 = −0.409 | 0.560 |
| B3+@TG | 1.082 | C1 = −0.251 C2 = −0.242 | 0.836 |
| B3+@TTG_asym | 0.916 | C1 = −0.443 C2 = −0.429 | 0.480 |
| B3+@TTG_sym | 0.981 | C1 = −0.491 C2 = −0.219 | 0.626 |
| 2B3+@TG | B3+1 = 1.212 B3+2 = 0.994 | C1 = −0.328 C2 = −0.210 C1 = −0.323 C2 = −0.237 | 0.630 |
| 2B3+@TTG | B3+1 = 1.002 B3+2 = 1.017 | C1 = −0.443 C2 = −0.400 C1 = −0.325 C2 = −0.341 | 0.633 |
| ΔEcell (kcal/mol) | Vcell (Volts) | |
|---|---|---|
| B3+/B@MG | 1.513 | 13.7 |
| B3+/B@BG | 1.701 | 15.4 |
| B3+/B@TG | 1.742 | 15.8 |
| B3+/B@TTG_asym | 1.815 | 16.5 |
| B3+/B@TTG_sym | 1.786 | 16.2 |
| 2B3+/2B@TG | 2.723 | 12.4 |
| 2B3+/2B@TTG | 2.959 | 13.4 |
| S/N | Support(s) | Dopant(s) | Cell Voltage(s) | Ref. |
|---|---|---|---|---|
| 1 | Boron nitride sheet | Li/Li+, Be/Be2+, Na/Na+, Mg/Mg2+, and polypyrrole | Li-ion = 2.06 V Na-ion = 1.37 V Be-ion = 6.60 V Mg-ion = 3.82 V | [1] |
| 2 | Boron nanorod | Li/Li+ | Li-ion = 2.00 V | [78] |
| 3 | Magnesium polymorphs | Na/Na+ | Na-ion = 1.5 V | [79] |
| 4 | Inorganic boron nitride nanocluster | Na/Na+, F−, Cl−, and Br− | Na-ion = 3.39 V | [80] |
| 5 | Boron nitride nanosheet | Na/Na+, P, and Al | Na-ion = 2.31 V | [12] |
| 6 | Hexagonal boron phosphide | Li/Li+, Na/Na+, K/K+ | Li-ion = 1.37 V Na-ion = 0.97 V K-ion = 0.93 V | [81] |
| 7 | Aluminum/boron phosphide nanocluster | Na/Na+, F−, Cl−, and Br− | Na/F@B12P12 = 4.5 V Na/Cl@B12P12 = 3.47 V Na/Br@B12P12 = 3.5 V Na/F@Al12P12 = 3.5 V Na/Cl@Al12P12 = 3.22 V Na/Br@Al12P12 = 3.20 V | [82] |
| 8 | Phosphorene | Mg/Mg2+ | Mg-ion = 0.833 V | [83] |
| 9 | Graphene-like MoS2 cathode and ultrasmall Mg nanoparticles | Mg/Mg2+ | Mg-ion = 1.8 V | [84] |
| 10 | B40 fullerenes | Mg/Mg2+, F−, Cl−, and Br− | Mg-ion = 8.8 V | [85] |
| 11 | Multilayer graphene sheet | B/B3+ | B-ion = 16.5 V | Present study |
Publisher’s Note: MDPI stays neutral with regard to jurisdictional claims in published maps and institutional affiliations. |
© 2022 by the authors. Licensee MDPI, Basel, Switzerland. This article is an open access article distributed under the terms and conditions of the Creative Commons Attribution (CC BY) license (https://creativecommons.org/licenses/by/4.0/).
Share and Cite
Umar, M.; Nnadiekwe, C.C.; Haroon, M.; Abdulazeez, I.; Alhooshani, K.; Al-Saadi, A.A.; Peng, Q. A First-Principles Study on the Multilayer Graphene Nanosheets Anode Performance for Boron-Ion Battery. Nanomaterials 2022, 12, 1280. https://doi.org/10.3390/nano12081280
Umar M, Nnadiekwe CC, Haroon M, Abdulazeez I, Alhooshani K, Al-Saadi AA, Peng Q. A First-Principles Study on the Multilayer Graphene Nanosheets Anode Performance for Boron-Ion Battery. Nanomaterials. 2022; 12(8):1280. https://doi.org/10.3390/nano12081280
Chicago/Turabian StyleUmar, Mustapha, Chidera C. Nnadiekwe, Muhammad Haroon, Ismail Abdulazeez, Khalid Alhooshani, Abdulaziz A. Al-Saadi, and Qing Peng. 2022. "A First-Principles Study on the Multilayer Graphene Nanosheets Anode Performance for Boron-Ion Battery" Nanomaterials 12, no. 8: 1280. https://doi.org/10.3390/nano12081280
APA StyleUmar, M., Nnadiekwe, C. C., Haroon, M., Abdulazeez, I., Alhooshani, K., Al-Saadi, A. A., & Peng, Q. (2022). A First-Principles Study on the Multilayer Graphene Nanosheets Anode Performance for Boron-Ion Battery. Nanomaterials, 12(8), 1280. https://doi.org/10.3390/nano12081280

