Dosimetric Performance of Poly(vinyl alcohol)/Silver Nanoparticles Hybrid Nanomaterials for Colorimetric Sensing of Gamma Radiation
Abstract
1. Introduction
2. Materials and Methods
2.1. Chemicals
2.2. Preparation of PVA/AgNPs Liquid Dosimeter
2.3. Irradiation Technique
2.4. Characterization Techniques
2.5. Statistical Analysis
3. Results and Discussion
3.1. Principle of PVA/AgNPs for Radiation Sensor
3.2. Optimization of PVA/AgNPs Sensor Conditions
3.2.1. Effect of pH
3.2.2. Effect of AgNO3 Concentration
3.3. Accuracy of PVA/AgNPs Radiation Sensor
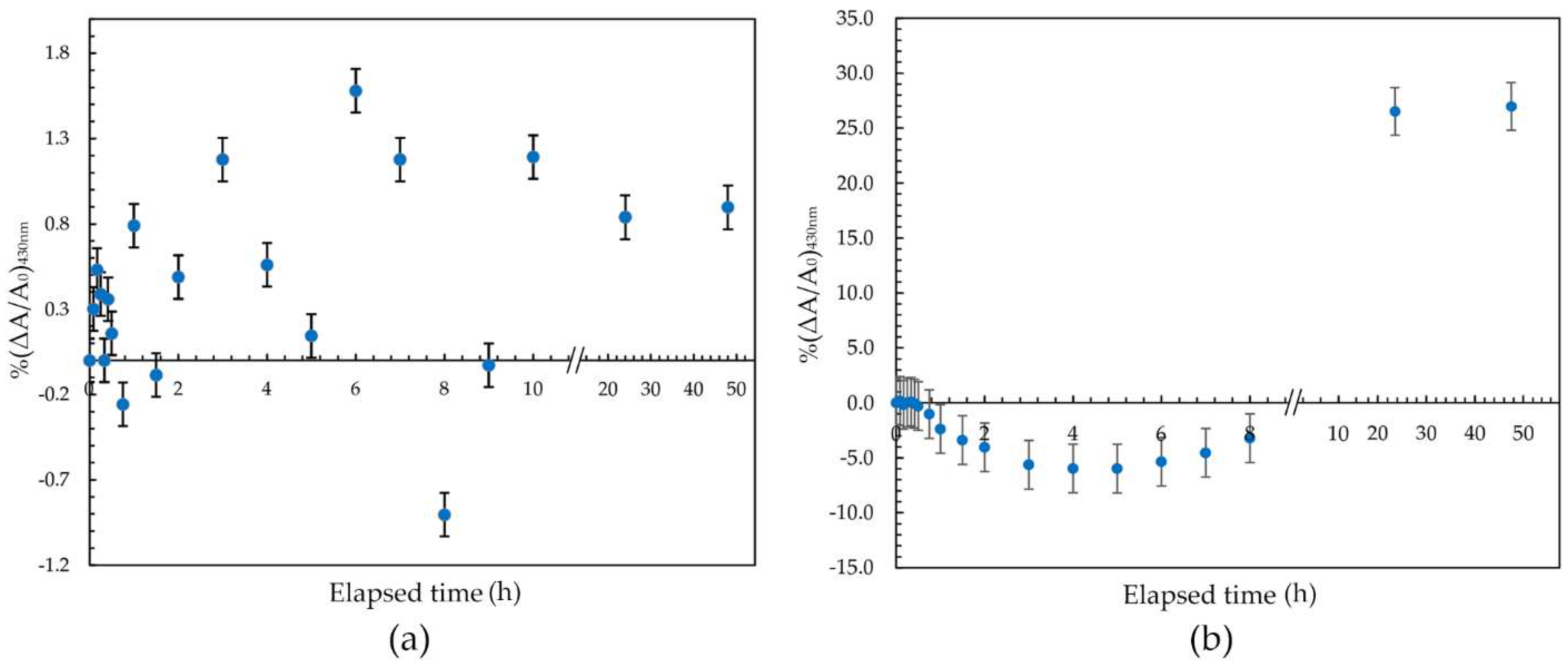
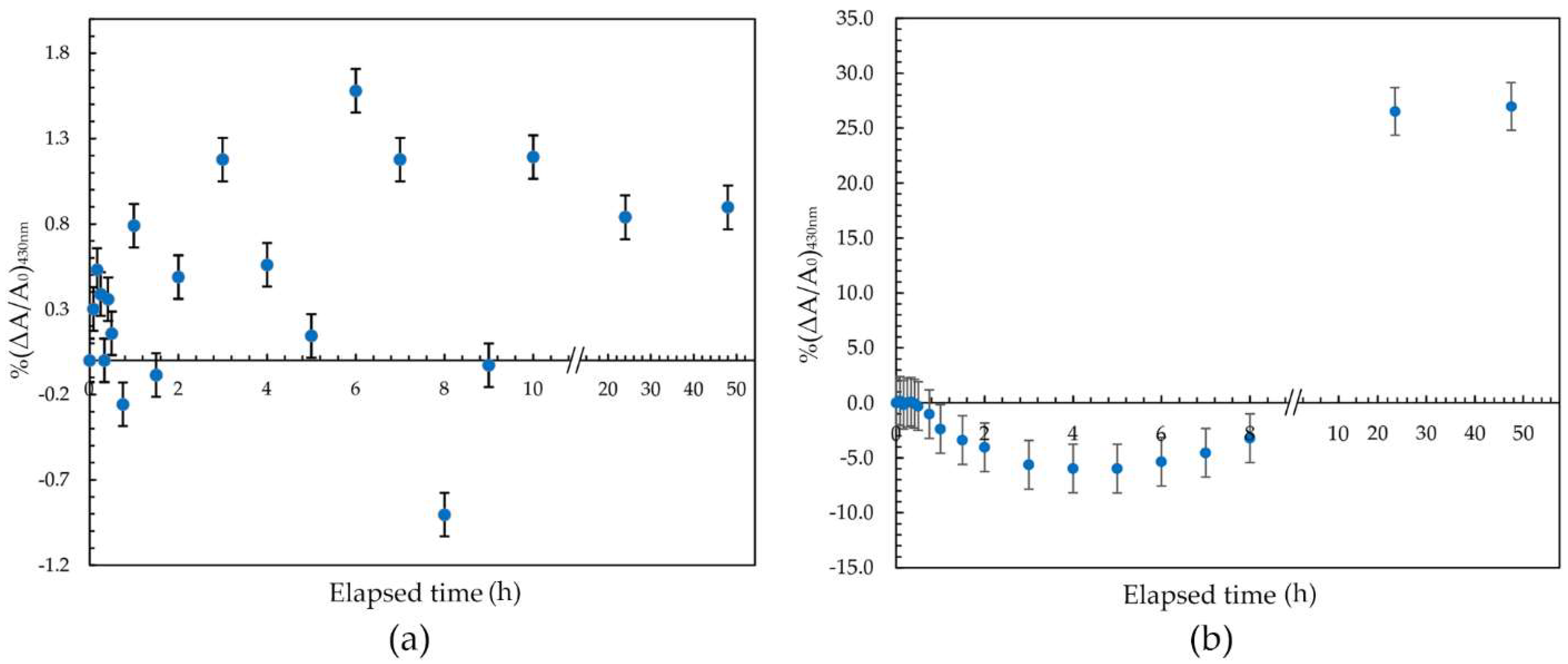
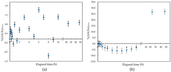
3.4. Stability of PVA/AgNPs Radiation Sensor
3.5. Uncertainty of Dose Measurement by the PVA/AgNPs Sensor
4. Conclusions
Author Contributions
Funding
Institutional Review Board Statement
Informed Consent Statement
Data Availability Statement
Acknowledgments
Conflicts of Interest
References
- Jeong, J.O.; Park, J.S.; Kim, Y.A.; Yang, S.J.; Jeong, S.I.; Lee, J.Y.; Lim, Y.M. Gamma ray-induced polymerization and cross-linking for optimization of PPy/PVP hydrogel as biomaterial. Polymers 2020, 12, 111. [Google Scholar] [CrossRef] [PubMed]
- Yang, J.S. Effects of gamma irradiation on the flavor composition of food commodities. Adv. Exp. Med. Biol. 1998, 434, 277–284. [Google Scholar] [CrossRef] [PubMed]
- Donya, M.; Radford, M.; ElGuindy, A.; Firmin, D.; Yacoub, M.H. Radiation in medicine: Origins, risks and aspirations. Glob. Cardiol. Sci. Pract. 2014, 2014, 437–448. [Google Scholar] [CrossRef] [PubMed]
- World Health Organization. Safety and Nutritional Adequacy of Irradiated Food; WHO: Geneva, Switzerland, 1994. [Google Scholar]
- Ryan, J.L. Ionizing radiation: The good, the bad, and the ugly. J. Investig. Dermatol. 2012, 132, 985–993. [Google Scholar] [CrossRef]
- Wagter, C.D. The ideal dosimeter for intensity modulated radiation therapy (IMRT): What is required? J. Phys. Conf. Ser. 2004, 3, 4–8. [Google Scholar] [CrossRef]
- Tao, Y.; Li, M.; Liu, X.; Leong, K.W.; Gautier, J.; Zha, S. Dual-color plasmonic nanosensor for radiation dosimetry. ACS Appl. Mater. Interfaces 2020, 12, 22499–22506. [Google Scholar] [CrossRef]
- Pushpavanam, K.; Narayanan, E.; Chang, J.; Sapareto, S.; Rege, K. A Colorimetric plasmonic nanosensor for dosimetry of therapeutic levels of ionizing radiation. ACS Nano. 2015, 9, 11540–11550. [Google Scholar] [CrossRef]
- Ali, I.; Meligi, G.A.; Akl, M.R.; Saleh, T.A. Influence of γ-ray irradiation doses on physicochemical properties of silver polystyrene polyvinyl pyrrolidone nanocomposites. Mater. Chem. Phys. 2019, 226, 250–256. [Google Scholar] [CrossRef]
- Farahani, S.; Riyahi Alam, N.; Haghgoo, S.; Khoobi, M.; Geraily, G.; Gorji, E. Dosimetry and radioenhancement comparison of gold nanoparticles in kilovoltage and megavoltage radiotherapy using MAGAT polymer gel dosimeter. J. Biomed. Phys. Eng. 2019, 9, 199–210. [Google Scholar] [CrossRef]
- Bekhit, M.; Sobhy, A.; Ali, Z.I.; Gafar, S.M. Efficient monitoring of dosimetric behaviour for copper nanoparticles through studying its optical properties. Radiochim. Acta. 2019, 107, 523–529. [Google Scholar] [CrossRef]
- Gafar, S.M.; Abd El-Kader, N.M.; Mohamed, T.M. Radiation-induced bismuth nanoparticles and its possible use as radiation dosimeter. Radiat. Eff. Defects Solids 2020, 175, 529–539. [Google Scholar] [CrossRef]
- Raouafi, A.; Daoudi, M.; Jouini, K.; Charradi, K.; Hamzaoui, A.H.; Blaise, P.; Farah, K.; Hosni, F. Effect of gamma irradiation on the color, structure and morphology of nickel-doped polyvinyl alcohol films: Alternative use as dosimeter or irradiation indicator. Nucl. Instrum. Methods Phys. Res. B 2018, 425, 4–10. [Google Scholar] [CrossRef]
- Rajan, R.; Chandran, K.; Harper, S.L.; Yun, S.-I.; Kalaichelvan, P.T. Plant extract synthesized silver nanoparticles: An ongoing source of novel biocompatible materials. Ind. Crops Prod. 2015, 70, 356–373. [Google Scholar] [CrossRef]
- Verkhovskii, R.; Kozlova, A.; Atkin, V.; Kamyshinsky, R.; Shulgina, T.; Nechaeva, O. Physical properties and cytotoxicity of silver nanoparticles under different polymeric stabilizers. Heliyon 2019, 5, e01305. [Google Scholar] [CrossRef]
- Alashrah, S.; El-Ghoul, Y.; Omer, M.A.A. Synthesis and characterization of a new nanocomposite film based on polyvinyl alcohol polymer and nitro blue tetrazolium dye as a low radiation dosimeter in medical diagnostics application. Polymers 2021, 13, 1815. [Google Scholar] [CrossRef]
- Pushpavanam, K.; Inamdar, S.; Chang, J.; Bista, T.; Sapareto, S.; Rege, K. Detection of therapeutic levels of ionizing radiation using plasmonic nanosensor gels. Adv. Funct. Mater. 2017, 27, 1606724. [Google Scholar] [CrossRef]
- Thi Anh, V.; Nghiep, T.; Trinh, G. To determine dose response curves of dyed polyvinyl alcohol films irradiated with gamma-rays. Open J. Saf. Sci. Technol. 2018, 8, 13–19. [Google Scholar] [CrossRef]
- Abedini, A.; Larki, F.; Saion, E.; Zakaria, A.; Zobir Hussein, M. Influence of dose and ion concentration on formation of binary Al–Ni alloy nanoclusters. Radiat. Phys. Chem. 2012, 81, 1653–1658. [Google Scholar] [CrossRef]
- Tejamaya, M.; Römer, I.; Merrifield, R.C.; Lead, J.R. Stability of citrate, PVP, and PEG coated silver nanoparticles in ecotoxicology media. Environ. Sci. Technol. 2012, 46, 7011–7017. [Google Scholar] [CrossRef]
- Dobias, J.; Bernier-Latmani, R. Silver release from silver nanoparticles in natural waters. Environ. Sci. Technol. 2013, 47, 4140–4146. [Google Scholar] [CrossRef]
- Zhang, W.; Qiao, X.; Chen, J. Synthesis of silver nanoparticles—Effects of concerned parameters in water/oil microemulsion. Mater. Sci. Eng. B 2007, 142, 1–15. [Google Scholar] [CrossRef]
- Tadros, S.M.; Soliman, Y.S.; Beshir, W.B.; Saad, G.R.; Ali, L. Dosimetric investigations on radiation-induced Ag nanoparticles in a gel dosimeter. J. Radioanal. Nucl. Chem. 2021, 329, 463–473. [Google Scholar] [CrossRef]
- Soliman, Y.S. Gamma-radiation induced synthesis of silver nanoparticles in gelatin and its application for radiotherapy dose measurements. Radiat. Phys. Chem. 2014, 102, 60–67. [Google Scholar] [CrossRef]
- Ang, S.L.; Sivashankari, R.; Shaharuddin, B.; Chuah, J.-A.; Tsuge, T.; Abe, H.; Sudesh, K. Potential applications of polyhydroxyalkanoates as a biomaterial for the aging population. Polym. Degrad. Stab. 2020, 181, 109371. [Google Scholar] [CrossRef]
- Wong, C.Y.; Wong, W.Y.; Loh, K.S.; Daud, W.R.W.; Lim, K.L.; Khalid, M.; Walvekar, R. Development of poly(vinyl alcohol)-based polymers as proton exchange membranes and challenges in fuel cell application: A review. Polym. Rev. 2020, 60, 171–202. [Google Scholar] [CrossRef]
- Chaturvedi, A.; Bajpai, A.K.; Bajpai, J.; Sharma, A. Antimicrobial poly(vinyl alcohol) cryogel–copper nanocomposites for possible applications in biomedical fields. Des. Monomers Polym. 2015, 18, 385–400. [Google Scholar] [CrossRef][Green Version]
- Merkis, M.; Puišo, J.; Adliene, D.; Laurikaitiene, J. development and characterization of silver containing free standing polymer films for dosimetry applications. Polymers 2021, 13, 3925. [Google Scholar] [CrossRef]
- Chahal, R.P.; Mahendia, S.; Tomar, A.K.; Malik, A.; Kumar, H.; Kumar, S. Gamma irradiation induced modification in optical behaviour of PVA/Ag nanocomposite films. AIP Conf Proc. 2019, 2093, 020005. [Google Scholar] [CrossRef]
- Terry, K.K.; Mae, Y.L. Erratum to “A guideline of selecting and reporting intraclass correlation coefficients for reliability research”. J. Chiropr. Med. 2017, 16, 346. [Google Scholar] [CrossRef]
- Zaki, R.; Bulgiba, A.; Nordin, N.; Azina Ismail, N. A systematic review of statistical methods used to test for reliability of medical instruments measuring continuous variables. Iran. J. Basic Med. Sci. 2013, 16, 803–807. [Google Scholar]
- Flores-Rojas, G.G.; López-Saucedo, F.; Bucio, E. Gamma-irradiation applied in the synthesis of metallic and organic nanoparticles: A short review. Radiat. Phys. Chem. 2020, 169, 107962. [Google Scholar] [CrossRef]
- Uttayarat, P.; Eamsiri, J.; Tangthong, T.; Suwanmala, P. Radiolytic Synthesis of Colloidal Silver Nanoparticles for Antibacterial Wound Dressings. Adv. Mater. Sci. Eng. 2015, 2015, 376082. [Google Scholar] [CrossRef]
- Saion, E.; Gharibshahi, E.; Naghavi, K. Size-controlled and optical properties of monodispersed silver nanoparticles synthesized by the radiolytic reduction method. Int. J. Mol. Sci. 2013, 14, 7880–7896. [Google Scholar] [CrossRef] [PubMed]
- Pandey, S.; Pandey, S.K.; Parashar, V.; Mehrotra, G.K.; Pandey, A.C. Ag/PVA nanocomposites: Optical and thermal dimensions. J. Mater. Chem. 2011, 21, 17154–17159. [Google Scholar] [CrossRef]
- Ulanski, P.; Bothe, E.; Rosiak, J.M.; von Sonntag, C. OH-radical-induced crosslinking and strand breakage of poly(vinyl alcohol) in aqueous solution in the absence and presence of oxygen. A pulse radiolysis and product study. Macromol. Chem. Phys. 1994, 195, 1443–1461. [Google Scholar] [CrossRef]
- Zhou, F.; Zhou, R.; Hao, X.; Wu, X.; Rao, W.; Chen, Y.; Gao, D. Influences of surfactant (PVA) concentration and pH on the preparation of copper nanoparticles by electron beam irradiation. Radiat. Phys. Chem. 2008, 77, 169–173. [Google Scholar] [CrossRef]
- Ping, Y.; Zhang, J.; Xing, T.; Chen, G.; Tao, R.; Choo, K.-H. Green synthesis of silver nanoparticles using grape seed extract and their application for reductive catalysis of Direct Orange 26. J. Ind. Eng. Chem. 2018, 58, 74–79. [Google Scholar] [CrossRef]
- Roto, R.; Mellisani, B.; Kuncaka, A.; Mudasir, M.; Suratman, A. colorimetric sensing of pb2+ ion by using ag nanoparticles in the presence of dithizone. Chemosensors 2019, 7, 28. [Google Scholar] [CrossRef]
- Liu, Y.; Chen, S.; Zhong, L.; Wu, G. Preparation of high-stable silver nanoparticle dispersion by using sodium alginate as a stabilizer under gamma radiation. Radiat. Phys. Chem. 2009, 78, 251–255. [Google Scholar] [CrossRef]
- Chahal, R.P.; Mahendia, S.; Tomar, A.K.; Kumar, S. γ-Irradiated PVA/Ag nanocomposite films: Materials for optical applications. J. Alloys Compd. 2012, 538, 212–219. [Google Scholar] [CrossRef]
- Eisa, W.H.; Abdel-Moneam, Y.K.; Shaaban, Y.; Abdel-Fattah, A.A.; Abou Zeid, A.M. Gamma-irradiation assisted seeded growth of Ag nanoparticles within PVA matrix. Mater. Chem. Phys. 2011, 128, 109–113. [Google Scholar] [CrossRef]
- Fernando, I.; Zhou, Y. Impact of pH on the stability, dissolution and aggregation kinetics of silver nanoparticles. Chemosphere 2019, 216, 297–305. [Google Scholar] [CrossRef] [PubMed]
- Ajitha, B.; Reddy, P. Influence of pH on the properties of PVA Capped Silver nanoparticles. AIP Conf. Proc. 2013, 1536, 133–134. [Google Scholar] [CrossRef]
- Marciniak, L.; Nowak, M.; Trojanowska, A.; Tylkowski, B.; Jastrzab, R. The effect of pH on the size of silver nanoparticles obtained in the reduction reaction with citric and malic acids. Materials 2020, 13, 5444. [Google Scholar] [CrossRef]
- Singh, M.; Sinha, I.; Mandal, R.K. Role of pH in the green synthesis of silver nanoparticles. Mater. Lett. 2009, 63, 425–427. [Google Scholar] [CrossRef]
- Raphael, E.; Ferrari, J.; Lyon, J.; Schiavon, M.; Gontijo, L.; Santos, D. pH effect on the synthesis of different size silver nanoparticles evaluated by DLS and their size-dependent antimicrobial activity. Matéria 2020, 25. [Google Scholar] [CrossRef]
- Alqadi, M.; Abo Noqtah, O.; Alzoubi, F.; Alzouby, J.; Aljarrah, K. pH effect on the aggregation of silver nanoparticles synthesized by chemical reduction. Mater. Sci.-Pol. 2014, 32, 107–111. [Google Scholar] [CrossRef]
- Naghavi, K.; Saion, E.; Rezaee, K.; Yunus, W.M.M. Influence of dose on particle size of colloidal silver nanoparticles synthesized by gamma radiation. Radiat. Phys. Chem. 2010, 79, 1203–1208. [Google Scholar] [CrossRef]
- Ali, Z.I.; Saleh, H.H.; Afify, T.A. Optical, structural and catalytic evaluation of gamma-irradiation synthesized Ag/PVA nanocomposite films. Int. J. Eng. Res. Technol. 2014, 3, 1527–1538. [Google Scholar]
- Bhat, N.V.; Karmakar, N.S.; Kothari, D.C. Synthesis of nanocomposites of polyvinyl alcohol with silver nanoparticles and their use. Int. J. Nanosci. 2013, 12, 1350029. [Google Scholar] [CrossRef]
- Pushpanjali, M.G.; Somashekarappa, H.M. Synthesis and characterization of polyvinyl alcoholsilver nanocomposite films and effect of gamma radiation. Int. J. Sci. Res. Phys. Appl. Sci. 2019, 7, 1–9. [Google Scholar] [CrossRef]
- Moosavi, S.M.; Ghassabian, S. Linearity of calibration curves for analytical methods: A review of criteria for assessment of method reliability. In Calibration and Validation of Analytical Methods: A Sampling of Current Approaches; IntechOpen Limited: London, UK, 2018; Volume 109–127. [Google Scholar]
- Sharpe, P.; Miller, A. Guidelines for the Calibration of Routine Dosimetry Systems for Use in Radiation Processing. NPL Report CIRM No. 29; National Physical Laboratory: Middlesex, UK, 2009. [Google Scholar]
- ISO/ASTM 52701:2013; Guide for Performance Characterization of Dosimeters and Dosimetry Systems for Use in Radiation Processing. ASTM International: West Conshohocken, PA, USA, 2013.






| Uncertainty | Type of Uncertainty | Standard Uncertainty, % |
|---|---|---|
| Irradiation facility *, ** | B | 1.316 |
| Uncertainty of instrument *** | B | 0.006 |
| Sensitivity variation of instrument **** | A | 0.006 |
| ) | A | 0.936 |
| A | 0.917 | |
| Post-irradiation stability | A | 1.372 |
| Pre-irradiation stability | A | 0.906 |
| Combined standard uncertainty (σ) | 2.481 | |
| Expanded uncertainty (2σ) | 4.962 |
Publisher’s Note: MDPI stays neutral with regard to jurisdictional claims in published maps and institutional affiliations. |
© 2022 by the authors. Licensee MDPI, Basel, Switzerland. This article is an open access article distributed under the terms and conditions of the Creative Commons Attribution (CC BY) license (https://creativecommons.org/licenses/by/4.0/).
Share and Cite
Petisiwaveth, P.; Wanotayan, R.; Damrongkijudom, N.; Ninlaphruk, S.; Kladsomboon, S. Dosimetric Performance of Poly(vinyl alcohol)/Silver Nanoparticles Hybrid Nanomaterials for Colorimetric Sensing of Gamma Radiation. Nanomaterials 2022, 12, 1088. https://doi.org/10.3390/nano12071088
Petisiwaveth P, Wanotayan R, Damrongkijudom N, Ninlaphruk S, Kladsomboon S. Dosimetric Performance of Poly(vinyl alcohol)/Silver Nanoparticles Hybrid Nanomaterials for Colorimetric Sensing of Gamma Radiation. Nanomaterials. 2022; 12(7):1088. https://doi.org/10.3390/nano12071088
Chicago/Turabian StylePetisiwaveth, Phasit, Rujira Wanotayan, Nuanpen Damrongkijudom, Sumalee Ninlaphruk, and Sumana Kladsomboon. 2022. "Dosimetric Performance of Poly(vinyl alcohol)/Silver Nanoparticles Hybrid Nanomaterials for Colorimetric Sensing of Gamma Radiation" Nanomaterials 12, no. 7: 1088. https://doi.org/10.3390/nano12071088
APA StylePetisiwaveth, P., Wanotayan, R., Damrongkijudom, N., Ninlaphruk, S., & Kladsomboon, S. (2022). Dosimetric Performance of Poly(vinyl alcohol)/Silver Nanoparticles Hybrid Nanomaterials for Colorimetric Sensing of Gamma Radiation. Nanomaterials, 12(7), 1088. https://doi.org/10.3390/nano12071088

